Thông tư 09/2025/TT-BCT
| Số hiệu | 09/2025/TT-BCT | Ngày ban hành | 01/02/2025 | 
| Loại văn bản | Thông tư | Ngày có hiệu lực | 01/02/2025 | 
| Nguồn thu thập | Ngày đăng công báo | ||
| Ban hành bởi | |||
| Cơ quan: | Bộ công thương | Tên/Chức vụ người ký | Trương Thanh Hoài / Thủ trưởng | 
| Phạm vi: | Toàn quốc | Trạng thái | Còn hiệu lực | 
| Lý do hết hiệu lực: | Ngày hết hiệu lực | ||
Tóm tắt
| BỘ CÔNG THƯƠNG  Số: 09/2025/TT-BCT  | 
CỘNG HOÀ XÃ HỘI CHỦ NGHĨA VIỆT NAM Độc lập - Tự do - Hạnh phúc Hà Nội, ngày 1 tháng 2 năm 2025  | 
|---|
THÔNG TƯ
QUY ĐỊNH HỒ SƠ, TRÌNH TỰ, THỦ TỤC, PHƯƠNG PHÁP XÁC ĐỊNH, PHÊ DUYỆT KHUNG GIÁ PHÁT ĐIỆN; QUY ĐỊNH HỒ SƠ, TRÌNH TỰ, THỦ TỤC XÂY DỰNG, PHÊ DUYỆT KHUNG GIÁ NHẬP KHẨU ĐIỆN
Căn cứ Luật Điện lực ngày 30 tháng 11 năm 2024;
Căn cứ Nghị định số 96/2022/NĐ-CP ngày 29 tháng 11 năm 2022 của Chính phủ quy định chức năng, nhiệm vụ, quyền hạn và cơ cấu tổ chức của Bộ Công Thương; Nghị định số 105/2024/NĐ-CP ngày 01 tháng 8 năm 2024 sửa đổi, bổ sung một số điều của Nghị định số 96/2022/NĐ-CP và Nghị định số 26/2018/NĐ-CP ngày 28 tháng 02 năm 2018 của Chính phủ về Điều lệ tổ chức và hoạt động của Tập đoàn Điện lực Việt Nam;
Theo đề nghị của Cục trưởng Cục Điều tiết điện lực;
Bộ trưởng Bộ Công Thương ban hành Thông tư quy định hồ sơ, trình tự, thủ tục, phương pháp xác định, phê duyệt khung giá phát điện; quy định hồ sơ, trình tự, thủ tục xây dựng, phê duyệt khung giá nhập khẩu điện.
Chương I:
QUY ĐỊNH CHUNG
Điều 1. Phạm vi điều chỉnh và đối tượng áp dụng
- Phạm vi điều chỉnh
 
Thông tư này quy định chi tiết một số điều của Luật Điện lực số 61/2024/QH15, bao gồm:
a) Khoản 5 Điều 46 quy định hồ sơ, trình tự, thủ tục xây dựng, phê duyệt khung giá nhập khẩu điện, phương pháp lập khung giá nhập khẩu điện;
b) Khoản 3 Điều 51 Luật Điện lực quy định hồ sơ, trình tự, thủ tục, phương pháp xác định khung giá phát điện; phê duyệt khung giá phát điện do đơn vị điện lực xây dựng và trình.
- Thông tư này áp dụng đối với các đối tượng sau đây:
 
a) Các cơ quan, tổ chức, cá nhân sở hữu nhà máy điện hoạt động trên lãnh thổ nước Cộng hòa xã hội chủ nghĩa Việt Nam đấu nối với hệ thống điện quốc gia trừ các nhà máy thủy điện chiến lược đa mục tiêu, các nhà máy năng lượng tái tạo nhỏ áp dụng biểu giá chi phí tránh được, nhà máy điện và tổ máy cung cấp dịch vụ phụ trợ; nhà máy điện áp dụng cơ chế giá mua điện tại các văn bản của cấp có thẩm quyền;
b) Các tổ chức trong nước có hoạt động nhập khẩu điện từ các tổ chức, cá nhân trên lãnh thổ nước Cộng hòa dân chủ nhân dân Lào (sau đây viết tắt là Lào) và Cộng hòa nhân dân Trung Hoa (sau đây viết tắt là Trung Quốc).
c) Tập đoàn Điện lực Việt Nam;
d) Các tổ chức, cá nhân khác có liên quan.
Điều 2. Giải thích từ ngữ
Trong Thông tư này các từ ngữ dưới đây được hiểu như sau:
- Bộ thông số tính toán là các thông số tính toán khung giá phát điện do đơn vị điện lực xây dựng khung giá thu thập trên cơ sở Báo cáo nghiên cứu khả thi đầu tư xây dựng dự án nhà máy điện được phê duyệt, thiết kế cơ sở được thẩm định trong 48 tháng liền trước thời điểm tính toán khung giá đối với loại hình nhà máy nhiệt điện than, khí và 24 tháng liền trước thời điểm tính toán khung giá đối với loại hình nhà máy điện không phải nhiệt điện than, khí.
 - Đơn vị vận hành hệ thống điện và thị trường điện là đơn vị thực hiện chức năng của Đơn vị điều độ hệ thống điện quốc gia và Đơn vị điều hành giao dịch thị trường điện theo quy định tại Luật Điện lực (hiện nay là Công ty TNHH MTV Vận hành hệ thống điện và thị trường điện Quốc gia).
 - Nhà máy thủy điện tích năng là nhà máy thủy điện sử dụng hệ thống chứa nước ở các mức cao trình khác nhau để tích trữ năng lượng và phát điện, trong đó nước được bơm từ khu vực chứa nước có cao độ thấp lên khu vực chứa nước có cao độ lớn hơn vào các thời điểm không phát điện để tích trữ năng lượng.
 - Nhà máy điện mặt trời nổi là nhà máy điện mặt trời đấu nối vào hệ thống điện quốc gia, có các tấm quang điện được lắp đặt trên cấu trúc nổi trên mặt nước.
 - Nhà máy điện mặt trời mặt đất là nhà máy điện mặt trời đấu nối vào hệ thống điện quốc gia, trừ các nhà máy điện quy định tại khoản 4 Điều này.
 - Nhà máy điện gió trên đất liền là nhà máy điện gió đấu nối vào hệ thống điện quốc gia, trừ các nhà máy điện gió quy định tại khoản 5 Điều 20 Luật Điện lực.
 
Chương II:
PHƯƠNG PHÁP XÁC ĐỊNH KHUNG GIÁ PHÁT ĐIỆN
Điều 3. Nguyên tắc lập khung giá phát điện
- 
Khung giá phát điện có phạm vi giữa mức giá tối thiểu (0 đồng/kWh) và mức giá tối đa.
 - 
Mức giá tối đa là giá phát điện tương ứng cho từng loại hình nhà máy điện (không bao gồm loại hình nhà máy thủy điện) được xác định theo phương pháp quy định tại Điều 4, Điều 5, Điều 6 và Điều 7 Thông tư này.
 - 
Đối với loại hình nhà máy thủy điện, mức giá tối đa được xây dựng trên cơ sở biểu giá chi phí tránh được hàng năm theo phương pháp quy định tại Điều 8 Thông tư này.
 - 
Khung giá phát điện loại hình nhà máy điện mặt trời được xây dựng căn cứ theo cường độ bức xạ trung bình năm của 03 (ba) miền: miền Bắc, miền Trung và miền Nam.
 - 
Trường hợp loại hình nhà máy điện chưa có dự án được phê duyệt Báo cáo nghiên cứu khả thi đầu tư xây dựng, thiết kế cơ sở được thẩm định, thông số tính toán khung giá phát điện theo phương pháp quy định tại Thông tư này được xác định trên cơ sở tham khảo các tổ chức tư vấn.
 - 
Đối với loại hình nhà máy điện năng lượng tái tạo có sử dụng kết hợp hệ thống lưu trữ điện, trường hợp hệ thống lưu trữ điện chỉ tiêu thụ sản lượng điện từ chính các nhà máy điện năng lượng tái tạo này trong chu kỳ sạc điện, tổng mức đầu tư để tính toán khung giá phát điện có tính đến chi phí đầu tư các hạng mục của hệ thống lưu trữ điện.
 
Điều 4. Phương pháp xác định giá phát điện
Giá phát điện  (đồng/kWh) được xác định theo công thức sau:
Pc = FC + FOMC + VC
Trong đó:
| FC: | Giá cố định bình quân được xác định theo quy định tại Điều 5 Thông tư này (đồng/kWh). | 
|---|---|
| FOMC: | Giá vận hành và bảo dưỡng cố định năm cơ sở được xác định theo quy định tại Điều 7 Thông tư này (đồng/kWh). | 
| VC: | Giá biến đổi được xác định theo phương pháp quy định tại Điều 6 Thông tư này (đồng/kWh). | 
Điều 5. Phương pháp xác định giá cố định bình quân
- Giá cố định bình quân FC (đồng/kWh) là thành phần để thu hồi chi phí đầu tư, được xác định theo công thức sau:
 

Trong đó:
| TC: | Chi phí vốn đầu tư xây dựng (chưa bao gồm thuế giá trị gia tăng) được quy đổi đều hằng năm được xác định theo quy định tại khoản 2 Điều này (đồng); | 
|---|---|
| Ebq | Điện năng giao nhận bình quân nhiều năm được xác định theo quy định tại khoản 6 Điều này (kWh). | 
- Chi phí vốn đầu tư được quy đổi đều hằng năm TC theo công thức sau:
 

Trong đó:
| SĐT: | Suất đầu tư tính toán được xác định theo quy định tại khoản 4 Điều này (đồng/kW hoặc đồng/kWp); kWp là đơn vị đo công suất đỉnh đạt được của tấm quang điện mặt trời trong điều kiện tiêu chuẩn; | 
|---|---|
| Pt: | Công suất tính toán (kW hoặc kWp) được quy định tại khoản 3 Điều này; | 
| n: | Đời sống kinh tế của nhà máy điện được quy định tại Phụ lục ban hành kèm theo Thông tư này (năm); | 
| i: | Tỷ suất chiết khấu tài chính của nhà máy điện được xác định theo quy định tại khoản 5 Điều này (%). | 
- 
Công suất tính toán là công suất của nhà máy điện được lựa chọn trong Bộ thông số tính toán trên cơ sở thực hiện Quy hoạch phát triển điện lực quốc gia. Công suất tính toán được quy đổi đến điểm giao nhận điện với bên mua điện thông qua tỷ lệ điện tự dùng và tổn thất máy biến áp tăng áp của nhà máy, tổn thất đường dây (nếu có).
 - 
Suất đầu tư tính toán là chi phí đầu tư cho 01 kW (hoặc 01 kWp) công suất của nhà máy điện, trong đó tổng mức đầu tư (chỉ bao gồm các hạng mục phục vụ sản xuất điện) có hiệu lực tại thời điểm tính toán khung giá phát điện, cập nhật tỷ giá ngoại tệ tại thời điểm tính toán, được xác định theo một trong các cơ sở sau:
 
a) Suất đầu tư của nhà máy điện có giá trị công suất tính toán được lựa chọn ở khoản 3 Điều này;
b) Suất đầu tư bình quân của các nhà máy điện cùng loại hình công nghệ trên cơ sở Bộ thông số tính toán.
Trường hợp suất đầu tư tính toán không xác định theo các phương án quy định tại điểm a, b khoản này, suất đầu tư tính toán được lựa chọn trên cơ sở số liệu thực tế đàm phán hợp đồng mua bán điện; hoặc tham khảo số liệu của các tổ chức tư vấn.
- Tỷ suất chiết khấu tài chính i (%) áp dụng chi phí sử dụ ng vốn bình quân gia quyền danh định trước thuế được xác định theo công thức sau:
 

Trong đó:
| D: | Tỷ lệ vốn vay trong tổng mức đầu tư được quy định tại Phụ lục Thông tư này (%); | 
|---|---|
| E: | Tỷ lệ vốn góp chủ sở hữu trong tổng mức đầu tư được quy định tại Phụ lục ban hành kèm theo Thông tư này (%); | 
| n: | Đời sống kinh tế của nhà máy điện quy định tại khoản 2 Điều này (năm); | 
| nD: | Thời gian trả nợ vay bình quân là 10 năm; | 
| rd: | Lãi suất vốn vay được xác định theo quy định tại điểm a khoản này (%); | 
| re: | Tỷ suất lợi nhuận trước thuế trên phần vốn góp chủ sở hữu được xác định theo quy định tại điểm b khoản này (%). | 
a) Lãi suất vốn vay rd (%) được tính bằng lãi suất bình quân gia quyền các nguồn vốn vay nội tệ và ngoại tệ, được xác định theo công thức sau:
![]()
Trong đó:
| DF: | Tỷ lệ vốn vay ngoại tệ trong tổng vốn vay được quy định tại Phụ lục ban hành kèm theo Thông tư này (%); | 
|---|---|
| DD: | Tỷ lệ vốn vay nội tệ trong tổng vốn vay được quy định tại Phụ lục ban hành kèm theo Thông tư này (%); | 
| rd,F: | Lãi suất vốn vay ngoại tệ được xác định bằng lãi suất bình quân SOFR (Secured Overnight Financing Rate) kỳ hạn bình quân 180 ngày (180 Days - Average) của 36 tháng liền kề tính từ thời điểm ngày đầu tiên của tháng 3, tháng 6, tháng 9 hoặc tháng 12 gần nhất của năm đàm phán được công bố bởi Fed (Website: www.newyorkfed.org) cộng với tỷ lệ bình quân năm các khoản phí thu xếp khoản vay của ngân hàng là 3%/năm; | 
| rd,D: | Lãi suất vốn vay nội tệ được xác định bằng trung bình của lãi suất tiền gửi bằng đồng Việt Nam kỳ hạn 12 tháng trả sau dành cho khách hàng cá nhân của ngày đầu tiên của 60 tháng trước liền kề tính từ thời điểm ngày đầu tiên của tháng 3, tháng 6, tháng 9 hoặc tháng 12 gần nhất của năm xây dựng khung giá của 04 (bốn) ngân hàng thương mại (Ngân hàng thương mại cổ phần Ngoại thương Việt Nam, Ngân hàng thương mại cổ phần Công thương Việt Nam, Ngân hàng thương mại cổ phần Đầu tư và Phát triển Việt Nam, Ngân hàng Nông nghiệp và Phát triển nông thôn Việt Nam hoặc đơn vị kế thừa hợp pháp của các ngân hàng này) cộng với tỷ lệ bình quân năm dịch vụ phí của các ngân hàng là 3%/năm. | 
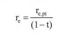
b) Tỷ suất lợi nhuận trước thuế trên phần vốn góp chủ sở hữu re (%) được xác định theo công thức sau:

Trong đó:
| re,pt: | Tỷ suất lợi nhuận sau thuế trên phần vốn góp chủ sở hữu (%), được xác định là 12%; | 
|---|---|
| t: | Thuế suất thuế thu nhập doanh nghiệp bình quân trong đời sống kinh tế của nhà máy điện được xác định theo quy định hiện hành của Nhà nước (%), đảm bảo dự án được hưởng ưu đãi về thuế thu nhập doanh nghiệp (nếu có). | 
- Điện năng giao nhận bình quân năm Ebq (kWh) được xác định như sau:
 
a) Đối với loại hình nhà máy nhiệt điện, Ebq được xác định theo công thức sau:

Trong đó:
| Pt: | Công suất tính toán được quy định tại khoản 3 Điều này; | 
| Tmax: | Số giờ vận hành công suất cực đại được quy định tại Phụ lục ban hành kèm theo Thông tư này (giờ); | 
| Kcs: | Tỷ lệ suy giảm công suất được tính bình quân cho toàn bộ đời sống kinh tế của nhà máy điện quy định tại Phụ lục ban hành kèm theo Thông tư này (%). | 
Đối với nhà máy điện không quy định Tmax tại Phụ lục ban hành kèm theo Thông tư này, Tmax được xác định trên cơ sở Bộ thông số tính toán, tham khảo số liệu của các tổ chức tư vấn (nếu cần thiết).
Đối với nhà máy điện không quy định Kcs tại Phụ lục ban hành kèm theo Thông tư này, Kcs được lấy bằng 0 (không).
b) Đối với loại hình nhà máy điện mặt trời, Ebq được xác định theo công thức sau:

Trong đó:
| A: | Tổng diện tích lắp đặt tấm quang điện (m2) tương ứng với công suất tính toán; | 
| H: | Cường độ bức xạ trung bình năm tương ứng với 03 (ba) khu vực Bắc, Trung và Nam (kWh/m2/năm); | 
| r: | Hiệu suất chuyển đổi tấm quang điện (%); | 
| PR: | Hiệu suất của nhà máy điện (%). | 
Các thông số A, r, PR được xác định theo một trong các cơ sở sau: Bộ thống số tính toán cho loại hình nhà máy điện mặt trời; tham khảo số liệu của các tổ chức tư vấn hoặc số liệu vận hành thực tế của các nhà máy điện mặt trời hiện hữu.
Thông số H tương ứng tại miền Bắc, miền Trung và miền Nam được xác định trên cơ sở thông tin về điều tra cơ bản tài nguyên điện năng lượng tái tạo do cơ quan có thẩm quyền công bố, chia sẻ theo quy định của pháp luật. Trường hợp không có thông tin này, thông số H tương ứng tại miền Bắc, miền Trung và miền Nam được xác định trên cơ sở tham khảo số liệu của các tổ chức tư vấn hoặc số liệu cường độ bức xạ trung bình năm của nhà máy điện mặt trời đã phát điện.
c) Đối với loại hình nhà máy điện gió, Ebq được xác định là điện năng giao nhận bình quân nhiều năm theo kỳ vọng là 50% trên cơ sở Bộ thông số tính toán hoặc theo công thức sau:

Trong đó:
| Pt: | Công suất tính toán được quy định tại khoản 3 Điều này (kW); | 
|---|---|
| kCF | Hệ số công suất (%) tương ứng với sản lượng bình quân nhiều năm theo kỳ vọng là 50%; | 
Các thông số kCF được xác định theo một trong các cơ sở sau: Bộ thông số tính toán; tham khảo số liệu của các tổ chức tư vấn hoặc số liệu vận hành thực tế của các nhà máy điện.
d) Đối với loại hình nhà máy thủy điện tích năng, Ebq được thiết kế theo nhu cầu hệ thống điện, lượng nước bơm lên hồ chứa trong Báo cáo nghiên cứu khả thi đầu tư xây dựng được phê duyệt của các dự án. Trường hợp không xác định được, Ebq được lựa chọn trên cơ sở số liệu từ các nhà máy thủy điện tích năng có quy mô tương tự, xác định được Ebq.
Điều 6. Phương pháp xác định giá biến đổi
- Giá biến đổi (VC) là thành phần để thu hồi chi phí nhiên liệu, các chi phí biến đổi khác của nhà máy điện, được xác định theo công thức sau:
 
![]()
Trong đó:
| VC | Giá biến đổi của nhà máy điện (đồng/kWh); | 
|---|---|
| HR | Suất tiêu hao nhiên liệu tinh được tính toán ở mức tải 85% và được xác định trên cơ sở suất tiêu hao nhiên liệu tinh của loại hình nhà máy điện tương ứng trong Bộ thông số tính toán hoặc tham khảo của các các tổ chức tư vấn (kg/kWh hoặc kJ/kWh hoặc kCal/kWh hoặc BTU/kWh); | 
| Pnlc | Giá nhiên liệu chính của nhà máy điện (đồng/kcal hoặc đồng/kJ hoặc đồng/BTU hoặc đồng/kg); | 
| f: | Tỷ lệ phần trăm chi phí khởi động, chi phí nhiên liệu - vật liệu phụ và chi phí biến đổi khác cho phát điện so với chi phí nhiên liệu chính và được quy định tại Phụ lục ban hành kèm theo Thông tư này (%). | 
Đối với loại hình nhà mày điện không quy định f tại Phụ lục ban hành kèm theo Thông tư này, f được lấy bằng 0 (không).
- Giá nhiên liệu chính (Pnlc) được xác định như sau:
 
a) Đối với loại hình nhà máy nhiệt điện than, nhà máy điện sinh khối, Pnlc đã bao gồm hao hụt, phí điều hành, phí quản lý, bảo hiểm (nếu có) và bao gồm cước vận chuyển;
b) Đối với loại hình nhà máy tua bin khí chu trình hỗn hợp sử dụng khí tự nhiên, Pnlc là giá khí tại miệng giếng có tính đến chi phí vận chuyển về đến nhà máy (nếu có);
c) Đối với loại hình nhà máy tua bin khí chu trình hỗn hợp sử dụng LNG, giá nhiên liệu chính bao gồm giá LNG nhập khẩu, thuế nhập khẩu LNG (nếu có), chi phí vận chuyển LNG về đến kho cảng tái hóa và chi phí tồn trữ, tái hóa, phân phối khí sau tái hóa;
d) Đối với loại hình nhà máy điện chất thải (điện sản xuất từ rác), Pnlccó tính đến trợ giá từ việc thu gom, vận chuyển và xử lý nhiên liệu theo quy định của pháp luật về bảo vệ môi trường (nếu có).
- 
Đối với loại hình nhà máy thủy điện (không bao gồm loại hình nhà máy thuỷ điện tích năng), nhà máy điện mặt trời, nhà máy điện gió: giá biến đổi được lấy bằng 0 (không).
 - 
Đối với loại hình nhà máy thủy điện tích năng, giá biến đổi là thành phần để thu hồi chi phí tích trữ nước được xác định theo sản lượng điện tiêu thụ trong chu kỳ tích trữ nước, đơn giá bán lẻ điện giờ thấp điểm áp dụng cho các ngành sản xuất theo quy định và chi phí mua công suất phản kháng.
 
Trong đó, sản lượng điện tiêu thụ trong chu kỳ tích trữ nước được xác định trên cơ sở Báo cáo nghiên cứu khả thi đầu tư xây dựng được phê duyệt của các dự án. Trường hợp không xác định được, sản lượng điện tiêu thụ trong chu kỳ tích trữ nước được lựa chọn trên cơ sở số liệu từ các nhà máy thủy điện tích năng có quy mô tương tự, xác định được mức sản lượng này.
Điều 7. Phương pháp xác định giá vận hành và bảo dưỡng cố định
- Giá vận hành và bảo dưỡng cố định FOMC (đồng/kWh) là thành phần để thu hồi chi phí sửa chữa lớn, nhân công và các chi phí khác hằng năm, được xác định theo công thức sau:
 

Trong đó:
| TCFOMC | Tổng chi phí vận hành và bảo dưỡng cố định của nhà máy điện được xác định theo quy định tại khoản 2 Điều này (đồng); | 
|---|---|
| Ebq | Điện năng giao nhận bình quân nhiều năm của nhà máy điện được xác định theo quy định tại khoản 6 Điều 5 Thông tư này (kWh). | 
- Tổng chi phí vận hành và bảo dưỡng cố định 
(đồng) của nhà máy điện được xác định theo công thức sau:
 
![]()
Trong đó:
| SĐT: | Suất đầu tư của nhà máy điện được xác định theo quy định tại khoản 4 Điều 5 Thông tư này (đồng/kW); | 
|---|---|
| Pt: | Công suất tính toán được quy định tại khoản 3 Điều 5 Thông tư này; | 
| kO&M: | Tỷ lệ chi phí vận hành và bảo dưỡng cố định trong suất đầu tư được quy định tại Phụ lục Thông tư này (%). | 
Đối với các loại hình nhà máy điện không quy định kO&M tại Phụ lục ban hành kèm theo Thông tư này, kO&M được xác định trên cơ sơ tham khảo số liệu của các tổ chức tư vấn hoặc số liệu vận hành thực tế từ các dự án tương tự đã thực hiện.
Điều 8. Phương pháp xác định mức giá tối đa của khung giá phát điện loại hình nhà máy thuỷ điện
Mức giá tối đa của nhà máy thuỷ điện PTĐ (đồng/kWh) được xác định theo công thức sau:

Trong đó:
| ACTbq,j: | Giá chi phí tránh được trung bình của miền Bắc, miền Trung, miền Nam theo biểu giá chi phí tránh được do Bộ Công Thương ban hành hàng năm; | 
|---|---|
| tj: | Tỷ lệ điện năng sản xuất theo mùa và theo giờ trong năm được quy định tại Phụ lục ban hành kèm theo Thông tư này (%). | 
Chương III:
PHƯƠNG PHÁP XÁC ĐỊNH KHUNG GIÁ NHẬP KHẨU ĐIỆN TỪ LÀO VÀ TRUNG QUỐC
Điều 9. Phương pháp xác định khung giá nhập khẩu điện
Khung giá nhập khẩu điện là mức giá tối đa (giá trần) được quy đổi theo tỷ giá ngoại tệ tại năm xây dựng khung giá được áp dụng cho từng quốc gia cụ thể và được xác định như sau:
- 
Trường hợp có quy định tại Điều ước quốc tế mà Việt Nam là thành viên (Hiệp định giữa hai Chính phủ), mức giá tối đa của khung giá nhập khẩu điện được xác định theo quy định tại Hiệp định này.
 - 
Đối với việc nhập khẩu điện từ các nhà máy điện, mức giá tối đa lấy bằng bình quân các biểu giá chi phí tránh được trung bình của miền Bắc, miền Trung, miền Nam theo kết quả tính toán Biểu giá chi phí tránh được do đơn vị vận hành hệ thống điện và thị trường điện quốc gia tính toán, trình cơ quan quản lý nhà nước về điện lực tại Bộ Công Thương theo phương pháp xác định và nguyên tắc áp dụng Biểu giá chi phí tránh được áp dụng cho các nhà máy điện năng lượng tái tạo nhỏ do Bộ trưởng Bộ Công Thương ban hành.
 - 
Đối với việc nhập khẩu điện thông qua lưới điện quốc gia (không phải mua điện từ các nhà máy điện), mức giá tối đa là chi phí biên theo điện năng bình quân phần nguồn điện đối với kịch bản cơ sở trong đề án quy hoạch phát triển điện lực Quốc gia gần nhất được Hội đồng thẩm định Quy hoạch phát triển điện lực quốc gia thông qua.
 
Chương IV:
HỒ SƠ, TRÌNH TỰ, THỦ TỤC, PHÊ DUYỆT KHUNG GIÁ PHÁT ĐIỆN VÀ KHUNG GIÁ NHẬP KHẨU ĐIỆN
Điều 10. Hồ sơ, trình tự, thủ tục, phê duyệt khung giá phát điện
- 
Trong thời hạn 15 ngày kể từ khi Báo cáo nghiên cứu khả thi đầu tư xây dựng của nhà máy điện được phê duyệt, thiết kế cơ sở được thẩm định, chủ đầu tư các nhà máy điện này có trách nhiệm cung cấp Báo cáo nghiên cứu khả thi đầu tư xây dựng, thiết kế cơ sở cho Tập đoàn Điện lực Việt Nam.
 - 
Trước ngày 01 tháng 11 hằng năm Tập đoàn Điện lực Việt Nam có trách nhiệm:
 
a) Đề xuất Bộ thông số tính toán và lựa chọn thông số tính toán khung giá phát điện cho các loại hình nhà máy điện;
b) Tính toán hoặc có thể thuê tư vấn lựa chọn Bộ thông số tính toán, tính toán mức giá tối đa của khung giá phát điện cho các loại hình nhà máy điện theo quy định tại Chương II Thông tư này.
c) Lập hồ sơ tính toán khung giá phát điện theo quy định tại Điều 12 Thông tư này, trình cơ quan quản lý nhà nước về điện lực thẩm định.
- 
Trong thời hạn 05 ngày làm việc kể từ khi nhận được hồ sơ tính toán khung giá phát điện nêu tại khoản 2 Điều này, cơ quan quản lý nhà nước về điện lực có trách nhiệm kiểm tra tính đầy đủ và hợp lệ của hồ sơ trình duyệt. Trường hợp cần thiết, cơ quan quản lý nhà nước về điện lực tại Bộ Công Thương có văn bản yêu cầu Tập đoàn Điện lực Việt Nam sửa đổi, bổ sung hoặc giải trình làm rõ các nội dung trong hồ sơ. Chậm nhất 15 ngày kể từ ngày nhận được yêu cầu sửa đổi, bổ sung hoặc giải trình làm rõ các nội dung trong hồ sơ của cơ quan quản lý nhà nước về điện lực tại Bộ Công Thương, Tập đoàn Điện lực Việt Nam có trách nhiệm gửi văn bản báo cáo giải trình về nội dung trong hồ sơ theo yêu cầu.
 - 
Trong thời hạn 25 ngày kể từ ngày nhận được hồ sơ đề nghị phê duyệt khung giá phát điện hợp lệ, cơ quan quản lý nhà nước về điện lực tại Bộ Công Thương có trách nhiệm thẩm định khung giá phát điện, trình Bộ trưởng Bộ Công Thương phê duyệt khung giá phát điện. Trường hợp khung giá phát điện của năm tiếp theo chưa được công bố, cho phép tạm thời áp dụng khung giá phát điện của năm liền kề trước đó.
 
Điều 11. Lập, thẩm định và phê duyệt khung giá nhập khẩu điện
- 
Đơn vị vận hành hệ thống điện và thị trường điện quốc gia có trách nhiệm lập biểu giá chi phí tránh được hằng năm trình cơ quan quản lý nhà nước về điện lực tại Bộ Công Thương thẩm định theo phương pháp xác định và nguyên tắc áp dụng biểu giá chi phí tránh được cho các nhà máy điện năng lượng tái tạo nhỏ do Bộ trưởng Bộ Công Thương ban hành.
 - 
Trong thời hạn 25 ngày kể từ ngày nhận được biểu giá chi phí tránh được do Đơn vị vận hành hệ thống điện và thị trường điện quốc gia trình, cơ quan quản lý nhà nước về điện lực tại Bộ Công Thương có trách nhiệm tổ chức thẩm định, trình Bộ trưởng Bộ Công Thương phê duyệt khung giá nhập khẩu điện theo quy định tại khoản 2 Điều 9 Thông tư này. Trường hợp khung giá nhập khẩu điện của năm tiếp theo chưa được công bố, cho phép tạm thời áp dụng khung giá nhập khẩu điện của năm liền kề trước đó.
 
Điều 12. Hồ sơ đề nghị phê duyệt khung giá phát điện
- Hồ sơ đề nghị phê duyệt khung giá bao gồm:
 
a) Tờ trình đề nghị thẩm định và phê duyệt khung giá phát điện;
b) Bảng thông số và các tài liệu tính toán khung giá phát điện theo quy định tại Điều 4, Điều 5, Điều 6, Điều 7 và Điều 8 Thông tư này;
c) Các tài liệu liên quan đến các thông số tính toán mức giá tối đa của khung giá phát điện.
- Hồ sơ được lập bằng văn bản giấy, hình thức thông điệp dữ liệu có giá trị như văn bản theo quy định của pháp luật. Tập đoàn Điện lực Việt Nam có trách nhiệm gửi trực tiếp 01 bộ hồ sơ theo hình thức thông điệp dữ liệu và gửi trực tiếp 01 bộ hồ sơ bằng văn bản giấy (nếu cần) tới Cơ quan quản lý nhà nước về điện lực tại Bộ Công Thương.
 
Chương V:
ĐIỀU KHOẢN THI HÀNH
Điều 13. Tổ chức thực hiện
- Cơ quan quản lý nhà nước về điện lực tại Bộ Công Thương có trách nhiệm:
 
a) Thẩm định và trình Bộ trưởng Bộ Công Thương phê duyệt khung giá phát điện;
b) Thẩm định và trình Bộ trưởng Bộ Công Thương phê duyệt khung giá nhập khẩu điện.
- 
Tập đoàn Điện lực Việt Nam có trách nhiệm lập hồ sơ tính toán khung giá phát điện hằng năm theo quy định tại Điều 10 và Điều 12 Thông tư này.
 - 
Đơn vị vận hành hệ thống điện và thị trường điện quốc gia có trách nhiệm lập biểu giá chi phí tránh được hằng năm theo quy định tại Điều 11 Thông tư này.
 
Điều 14. Điều khoản chuyển tiếp
Đối với các tổ chức, cá nhân tham gia triển khai đầu tư nhà máy hoặc phần nhà máy điện mặt trời, nhà máy điện gió đã ký kết hợp đồng mua bán điện với Tập đoàn Điện lực Việt Nam nhưng không đáp ứng điều kiện áp dụng giá mua điện quy định tại các quyết định của Thủ tướng Chính phủ trước thời điểm Thông tư này có hiệu lực, mức giá tối đa của khung giá phát điện cho từng loại hình được quy định như sau:
| STT | Loại hình | Mức giá tối đa của khung giá phát điện (đồng/kWh) | 
|---|---|---|
| 1 | Nhà máy điện mặt trời mặt đất | 1.184,90 | 
| 2 | Nhà máy điện mặt trời nổi | 1.508,27 | 
| 3 | Nhà máy điện gió trong đất liền | 1.587,12 | 
| 4 | Nhà máy điện gió gần bờ | 1.815,95 | 
Điều 15. Hiệu lực thi hành
- 
Thông tư này có hiệu lực thi hành từ ngày tháng năm 2025.
 - 
Bãi bỏ các Thông tư sau:
 - 
Thông tư số 57/2014/TT-BCT ngày 19 tháng 12 năm 2014 của Bộ trưởng Bộ Công Thương quy định phương pháp, trình tự xây dựng và ban hành khung giá phát điện;
 - 
Thông tư số 31/2022/TT-BCT ngày 08 tháng 11 năm 2022 của Bộ trưởng Bộ Công Thương sủa đổi bổ sung một số điều của Thông tư số 57/2014/TT-BCT ngày 19 tháng 12 năm 2014 quy định phương pháp, trình tự xây dựng và ban hành khung giá phát điện và Thông tư số 57/2020/TT-BCT ngày 31 tháng 12 năm 2020 của Bộ trưởng Bộ Công Thương quy định phương pháp xác định giá phát điện, hợp đồng mua bán điện;
 - 
Thông tư số 15/2022/TT-BCT ngày 03 tháng 10 năm 2022 của Bộ trưởng Bộ Công Thương quy định phương pháp xây dựng khung giá phát điện nhà máy điện mặt trời, điện gió chuyển tiếp;
 - 
Thông tư số 19/2023/TT-BCT ngày 01 tháng 11 năm 2023 của Bộ trưởng Bộ Công Thương quy định phương pháp xây dựng khung giá phát điện áp dụng cho nhà máy điện mặt trời, điện gió;
 - 
Thông tư số 20/2024/TT-BCT ngày 10 tháng 10 năm 2024 của Bộ trưởng Bộ Công Thương quy định phương pháp lập khung giá phát điện của nhà máy điện chất thải rắn và nhà máy điện sinh khối.
 - 
Trong quá trình thực hiện, nếu phát sinh vướng mắc, tổ chức, cá nhân có trách nhiệm phản ánh về Bộ Công Thương để xem xét sửa đổi, bổ sung, cho phù hợp./.
 
| KT. BỘ TRƯỞNG Thủ trưởng | |
|---|---|
| (Đã ký) | |
| Trương Thanh Hoài | 
                                    flowchart LR
                                        A[Văn bản hiện tại
Thông tư 09/2025/TT-BCT]-->VBHD[Văn bản hướng dẫn ]
                                        A-->VBSDBS[VB sửa đổi bổ sung ]
                                        A-->VBDC[Văn bản đính chính ]
                                        A-->VBTT[Văn bản thay thế ]
                                        A-->VBHN[Văn bản hợp nhất ]
                                        A-->VBLQ[Văn bản liên quan ]
                                        VBDHD[Văn bản được hướng dẫn ]-->A
                                        VBDSDBS[VB được sửa đổi bổ sung ]-->A
                                        VBDDC[Văn bản được đính chính ]-->A 
                                        VBDTT[Văn bản được thay thế ]-->A 
                                        VBDCC[Văn bản được căn cứ 
                        Nghị định 96/2022/NĐ-CP cơ cấu tổ chức của Bộ Công Thương
                                Nghị định 105/2024/NĐ-CPNghị định sửa đổi, bổ sung một số điều của Nghị định số 96/2022/NĐ-CP ngày 29 tháng 11 năm 2022 của Chính phủ quy định chức năng, nhiệm vụ, quyền hạn và cơ cấu tổ chức của Bộ Công Thương và Nghị định số 26/2018/NĐ-CP ngày 28 tháng 02 năm 2018 của Chính phủ về Điều lệ tổ chức và hoạt động của Tập đoàn Điện lực Việt Nam
                                Luật Luật Điện lực 2024
            ]-->A 
                                        VBDTC[Văn bản được dẫn chiếu ]-->A 
                                        VBDHN[Văn bản được hợp nhất ]-->A 
                                        click VBDHD callback "đây là những văn bản ban hành trước, có hiệu lực pháp lý cao hơn [Thông tư 09/2025/TT-BCT] & được hướng dẫn bởi [Thông tư 09/2025/TT-BCT]"
                                        click VBDSDBS callback "đây là những văn bản ban hành trước, được sửa đổi bổ sung bởi [Thông tư 09/2025/TT-BCT]"
                                        click VBDDC callback "đây là những văn bản ban hành trước, được đính chính các sai sót (căn cứ ban hành, thể thức, kỹ thuật trình bày...) bởi [Thông tư 09/2025/TT-BCT]"
                                        click VBDTT callback "đây là những văn bản ban hành trước, được thay thế bởi [Thông tư 09/2025/TT-BCT]"
                                        click VBDCC callback "đây là những văn bản ban hành trước, có hiệu lực pháp lý cao hơn, được sử dụng làm căn cứ để ban hành, [Thông tư 09/2025/TT-BCT]"
                                        click VBDTC callback "đây là những văn bản ban hành trước, trong nội dung của [Thông tư 09/2025/TT-BCT] có quy định dẫn chiếu đến điều khoản hoặc nhắc đến những văn bản này"
                                        click VBDHN callback "những văn bản này được hợp nhất bởi [Thông tư 09/2025/TT-BCT]"
                                        click VBHD callback "đây là những văn bản ban hành sau, có hiệu lực pháp lý thấp hơn, để hướng dẫn hoặc quy định chi tiết nội dung của [Thông tư 09/2025/TT-BCT]"
                                        click VBSDBS callback "đây là những văn bản ban hành sau, sửa đổi bổ sung một số nội dung của [Thông tư 09/2025/TT-BCT]"
                                        click VBDC callback "đây là những văn bản ban hành sau, nhằm đính chính các sai sót (căn cứ ban hành, thể thức, kỹ thuật trình bày...) của [Thông tư 09/2025/TT-BCT]"
                                        click VBTT callback "đây là những văn bản ban hành sau, nhằm thay thế, bãi bỏ toàn bộ nội dung của [Thông tư 09/2025/TT-BCT]"
                                        click VBHN callback "đây là những văn bản ban hành sau, hợp nhất nội dung của [Thông tư 09/2025/TT-BCT] và những văn bản sửa đổi bổ sung của [Thông tư 09/2025/TT-BCT]"
                                        click VBLQ callback "đây là những văn bản liên quan đến nội dung của [Thông tư 09/2025/TT-BCT]"
                                                        
                            | Ngày | Trạng thái | Văn bản nguồn | Phần hết hiệu lực | 
|---|---|---|---|
| 01/02/2025 | Văn bản được ban hành | Thông tư 09/2025/TT-BCT | 
Danh sách Tải về
| Định dạng | Tập tin | Link download | 
|---|---|---|
| 
                                                     | 
                                                TT 09 quy dinh pp xd phuong phap xac dinh, ho so trinh tu thu tuc khung gia phat dien, nhap khau dien.doc | |
| 
                                                     | 
                                                VanBanGoc_TT 09 quy dinh pp xd phuong phap xac dinh, ho so trinh tu thu tuc khung gia phat dien, nhap khau dien (2).pdf |