Thông tư 05/2025/TT-BCT Quy định hệ thống truyền tải điện, phân phối điện và đo đếm điện năng
| Số hiệu | 05/2025/TT-BCT | Ngày ban hành | 01/02/2025 |
| Loại văn bản | Thông tư | Ngày có hiệu lực | 01/02/2025 |
| Nguồn thu thập | Ngày đăng công báo | ||
| Ban hành bởi | |||
| Cơ quan: | Bộ công thương | Tên/Chức vụ người ký | Trương Thanh Hoài / Thứ trưởng |
| Phạm vi: | Toàn quốc | Trạng thái | Còn hiệu lực |
| Lý do hết hiệu lực: | Ngày hết hiệu lực | ||
Tóm tắt
| BỘ CÔNG THƯƠNG Số: 05/2025/TT-BCT |
CỘNG HOÀ XÃ HỘI CHỦ NGHĨA VIỆT NAM Độc lập - Tự do - Hạnh phúc Hà Nội, ngày 1 tháng 2 năm 2025 |
|---|
THÔNG TƯ
Quy định hệ thống truyền tải điện, phân phối điện và đo đếm điện năng
Căn cứ Luật Điện lực ngày 30 tháng 11 năm 2024;
Căn cứ Nghị định số 96/2022/NĐ-CP ngày 29 tháng 11 năm 2022 của Chính phủ quy định chức năng, nhiệm vụ, quyền hạn và cơ cấu tổ chức của Bộ Công Thương; Nghị định số 105/2024/NĐ-CP ngày 01 tháng 8 năm 2024 của Chính phủ sửa đổi, bổ sung một số điều của Nghị định số 96/2022/NĐ-CP ngày 29 tháng 11 năm 2022 của Chính phủ quy định chức năng, nhiệm vụ, quyền hạn và cơ cấu tổ chức của Bộ Công Thương và Nghị định số 26/2018/NĐ-CP ngày 28 tháng 02 năm 2018 của Chính phủ về điều lệ tổ chức và hoạt động của Tập đoàn Điện lực Việt Nam;
Theo đề nghị của Cục trưởng Cục Điều tiết điện lực;
Bộ trưởng Bộ Công Thương ban hành Thông tư quy định hệ thống truyền tải điện, phân phối điện và đo đếm điện năng.
Chương I
QUY ĐỊNH CHUNG
Điều 1. Phạm vi điều chỉnh
Thông tư này quy định về yêu cầu kỹ thuật trong hệ thống truyền tải điện, hệ thống phân phối điện: điều kiện, yêu cầu kỹ thuật và trình tự đấu nối; vận hành hệ thống truyền tải điện, hệ thống phân phối điện; yêu cầu đối với hệ thống đo đếm, thu thập số liệu đo đếm và hệ thống quản lý số liệu đo đếm; trách nhiệm của các đơn vị.
Điều 2. Đối tượng áp dụng
Thông tư này áp dụng cho các đối tượng sau đây:
-
Đơn vị phân phối điện, đơn vị bán buôn điện, đơn vị bán lẻ điện;
-
Đơn vị cung cấp dịch vụ liên quan đến đo đếm điện năng, bao gồm: đơn vị thử nghiệm, kiểm định; đơn vị quản lý số liệu đo đếm;
-
Đơn vị điều độ hệ thống điện quốc gia;
-
Đơn vị phát điện;
-
Đơn vị truyền tải điện;
-
Khách hàng sử dụng điện;
-
Tập đoàn Điện lực Việt Nam;
-
Tổ chức, cá nhân khác có liên quan.
Điều 3. Giải thích từ ngữ
Trong Thông tư này, những thuật ngữ dưới đây được hiểu như sau:
-
AGC (viết tắt theo tiếng Anh: Automatic Generation Control) là hệ thống thiết bị tự động điều chỉnh tăng giảm công suất tác dụng của tổ máy phát điện, nhà máy điện, cụm nhà máy điện hoặc hệ thống pin tích trữ nhằm đảm bảo vận hành an toàn, ổn định hệ thống điện.
-
Bảo đảm cung cấp điện là khả năng nguồn điện bảo đảm cung cấp điện đáp ứng nhu cầu phụ tải điện tại một thời điểm hoặc một khoảng thời gian xác định có xét đến các ràng buộc trong hệ thống điện*.*
-
AVR (viết tắt theo tiếng Anh: Automatic Voltage Regulator) là hệ thống tự động điều khiển điện áp đầu cực máy phát điện thông qua tác động vào hệ thống kích từ của máy phát điện để đảm bảo điện áp tại đầu cực máy phát trong giới hạn cho phép.
-
Cấp điện áp là một trong những giá trị của điện áp danh định được sử dụng trong hệ thống điện, bao gồm:
a) Hạ áp là cấp điện áp danh định đến 01 kV;
b) Trung áp là cấp điện áp danh định trên 01 kV đến 35 kV;
c) Cao áp là cấp điện áp danh định trên 35 kV đến 220 kV;
d) Siêu cao áp là cấp điện áp danh định trên 220 kV.
5. Cấp điều độ có quyền điều khiển là cấp điều độ có quyền chỉ huy, điều độ hệ thống điện theo phân cấp điều độ tại Quy định điều độ, vận hành, thao tác, xử lý sự cố, khởi động đen và khôi phục hệ thống điện quốc gia do Bộ trưởng Bộ Công Thương ban hành.
6. Công suất định mức của nhà máy điện là tổng công suất định mức của các tổ máy hoặc tuabin gió trong nhà máy điện. Đối với nhà máy điện mặt trời, công suất định mức của nhà máy điện mặt trời là công suất điện xoay chiều tối đa có thể phát được của nhà máy được tính toán và công bố, phù hợp với công suất điện một chiều của nhà máy điện mặt trời theo quy hoạch.
7. Công suất định mức của tổ máy phát điện hoặc tuabin gió là công suất phát lớn nhất có thể vận hành ổn định, lâu dài, được nhà sản xuất công bố theo thiết kế, và phù hợp với các văn bản thẩm định thiết kế của cơ quan nhà nước có thẩm quyền, được công bố trong Hợp đồng mua bán điện của nhà máy điện.
8. Công suất khả dụng của tổ máy phát điện là công suất phát thực tế cực đại của tổ máy phát điện có thể phát ổn định, liên tục trong một khoảng thời gian xác định.
9. Công suất định mức của hệ thống pin lưu trữ là công suất điện xoay chiều tối đa có thể phát và thu được của hệ thống pin lưu trữ được tính toán và công bố, phù hợp với công suất điện một chiều của pin lưu trữ.
10. Dao động điện áp là sự biến đổi biên độ điện áp so với điện áp danh định trong thời gian dài hơn 01 phút.
11. DIM (viết tắt theo tiếng Anh: Dispatch Instruction Management) là hệ thống quản lý thông tin lệnh điều độ giữa cấp điều độ có quyền điều khiển với nhà máy điện hoặc Trung tâm Điều khiển các nhà máy điện.
12. Dải chết của hệ thống điều tốc là dải tần số mà khi tần số hệ thống điện thay đổi trong phạm vi đó thì hệ thống điều tốc của tổ máy phát điện không có phản ứng hoặc tác động để tham gia điều chỉnh tần số sơ cấp.
13. Đánh giá bảo đảm cung cấp điện là việc đánh giá độ ổn định và an toàn cung cấp điện căn cứ theo cân bằng giữa công suất, điện năng khả dụng của hệ thống và phụ tải điện dự kiến của hệ thống có tính đến các ràng buộc trong hệ thống điện và yêu cầu dự phòng công suất trong một khoảng thời gian xác định.
14. Điều khiển tần số trong hệ thống điện (sau đây viết tắt là điều khiển tần số) là quá trình điều khiển trong hệ thống điện để duy trì sự vận hành ổn định của hệ thống điện, bao gồm điều khiển tần số sơ cấp, điều khiển tần số thứ cấp và điều khiển tần số cấp 3:
a) Điều khiển tần số sơ cấp là quá trình điều khiển tức thời tần số hệ thống điện được thực hiện tự động bởi số lượng lớn các tổ máy phát điện có trang bị hệ thống điều tốc;
b) Điều khiển tần số thứ cấp là quá trình điều khiển tiếp theo của điều khiển tần số sơ cấp được thực hiện thông qua tác động của hệ thống AGC nhằm đưa tần số về dải làm việc lâu dài cho phép;
c) Điều khiển tần số cấp 3 là quá trình điều khiển tiếp theo của điều khiển tần số thứ cấp được thực hiện bằng lệnh điều độ để đưa tần số hệ thống điện vận hành ổn định theo quy định hiện hành và đảm bảo phân bổ kinh tế công suất phát các tổ máy phát điện.
15. Đơn vị bán buôn điện là đơn vị điện lực được cấp giấy phép hoạt động điện lực trong lĩnh vực bán buôn điện.
16. Đơn vị phát điện là đơn vị điện lực sở hữu một hoặc nhiều nhà máy điện đấu nối vào hệ thống điện quốc gia.
17. Đơn vị truyền tải điện là đơn vị điện lực được cấp phép hoạt động điện lực trong lĩnh vực truyền tải điện.
18. Đơn vị phân phối điện là đơn vị điện lực được cấp giấy phép hoạt động điện lực trong lĩnh vực phân phối điện.
19. Đơn vị bán lẻ điện là đơn vị điện lực được cấp giấy phép hoạt động điện lực trong lĩnh vực bán lẻ điện, mua buôn điện từ Đơn vị bán điện khác để bán lẻ điện cho khách hàng sử dụng.
20. Độ tin cậy của hệ thống bảo vệ bao gồm:
a) Độ tin cậy tác động của hệ thống bảo vệ là chỉ số xác định khả năng hệ thống bảo vệ làm việc đúng khi có sự cố xảy ra trong phạm vi bảo vệ đã được tính toán và xác định;
b) Độ tin cậy không tác động của hệ thống bảo vệ là chỉ số xác định khả năng hệ thống bảo vệ tránh làm việc nhầm ở chế độ vận hành bình thường hoặc sự cố xảy ra ngoài phạm vi bảo vệ đã được tính toán và xác định.
21. Hệ thống điều tốc (viết tắt theo tiếng Anh: Governor) là hệ thống tự động điều chỉnh tốc độ quay của tuabin tổ máy phát điện theo sự biến đổi tần số góp phần khôi phục tần số về tần số danh định của hệ thống điện.
22. Hệ thống quản lý năng lượng EMS (viết tắt theo tiếng Anh: Energy Management System) là hệ thống phần mềm quản lý năng lượng để vận hành tối ưu hệ thống điện.
23. Hệ thống điều khiển phân tán DCS (viết tắt theo tiếng Anh: Distributed Control System) là hệ thống các thiết bị điều khiển trong nhà máy điện hoặc trạm điện được kết nối mạng theo nguyên tắc điều khiển phân tán để tăng độ tin cậy và hạn chế các ảnh hưởng do sự cố phần tử điều khiển trong nhà máy điện hoặc trạm điện.
24. Hệ thống pin lưu trữ năng lượng BESS (viết tắt theo tiếng Anh: Battery Energy Storage System) là hệ thống bao gồm pin, bộ sạc, bộ điều khiển và các thiết bị khác đấu nối vào lưới điện để lưu trữ điện năng trong pin trong quá trình sạc và xả điện năng lưu trữ khi cần thiết.
25. Hệ thống đo đếm là hệ thống bao gồm các thiết bị đo đếm và mạch điện được tích hợp để đo đếm và xác định lượng điện năng truyền tải qua một vị trí đo đếm.
26. Hệ thống SCADA (viết tắt theo tiếng Anh: Supervisory Control And Data Acquisition) là hệ thống thu thập số liệu để phục vụ việc giám sát, điều khiển và vận hành hệ thống điện.
27. Hệ số chạm đất là tỷ số giữa giá trị điện áp của pha không bị sự cố sau khi xảy ra ngắn mạch chạm đất với giá trị điện áp của pha đó trước khi xảy ra ngắn mạch chạm đất (áp dụng cho trường hợp ngắn mạch một pha hoặc ngắn mạch hai pha chạm đất).
28. Hòa đồng bộ là thao tác nối tổ máy phát điện vào hệ thống điện hoặc nối hai phần của hệ thống điện với nhau theo điều kiện hòa đồng bộ quy định tại Quy định điều độ, vận hành, thao tác, xử lý sự cố, khởi động đen và khôi phục hệ thống điện quốc gia do Bộ trưởng Bộ Công Thương ban hành.
29. Khả năng khởi động đen là khả năng của một nhà máy điện có thể khởi động ít nhất một tổ máy phát điện từ trạng thái dừng hoàn toàn mà không cần nhận điện từ lưới điện khu vực để khôi phục lại một phần hoặc toàn bộ hệ thống.
30. Khởi động đen là quá trình khôi phục lại toàn bộ (hoặc một phần) hệ thống điện từ trạng thái mất điện toàn bộ (hoặc một phần) bằng cách sử dụng các tổ máy phát điện có khả năng khởi động đen.
31. Khách hàng sử dụng lưới điện là tổ chức, cá nhân có trang thiết bị điện, lưới điện đấu nối vào lưới điện để sử dụng dịch vụ truyền tải điện, phân phối điện bao gồm: đơn vị phát điện; đơn vị truyền tải điện; Đơn vị phân phối điện; khách hàng sử dụng điện.
32. Khách hàng lớn sử dụng lưới điện phân phối là tổ chức, cá nhân có trang thiết bị điện, lưới điện đấu nối vào lưới điện phân phối để sử dụng dịch vụ phân phối điện, bao gồm: đơn vị phát điện sở hữu nhà máy điện có quy mô công suất từ 03 MW trở lên; khách hàng sử dụng điện có sản lượng bình quân từ 1.000.000 kWh/tháng trở lên.
33. Khách hàng sử dụng lưới điện phân phối có trạm điện riêng là khách hàng có trạm điện, lưới điện riêng đấu nối vào lưới điện phân phối ở cấp điện áp trung áp và 110 kV.
34. Lệnh điều độ là lệnh chỉ huy, điều khiển chế độ vận hành hệ thống điện trong thời gian thực.
35. Lưới điện phân phối là phần lưới điện bao gồm toàn bộ các đường dây và trạm điện có cấp điện áp đến 110 kV.
36. Lưới điện truyền tải là phần lưới điện bao gồm toàn bộ các đường dây và trạm điện có cấp điện áp trên 110kV.
37. Mức nhấp nháy điện áp ngắn hạn (Pst) và mức nhấp nháy điện áp dài hạn (Plt) là giá trị đo theo tiêu chuẩn quốc gia hiện hành. Trường hợp giá trị đo Pst và Plt chưa có trong tiêu chuẩn quốc gia, đo theo Tiêu chuẩn IEC hiện hành do Ủy ban Kỹ thuật điện quốc tế công bố.
38. Năm N là năm hiện tại vận hành hệ thống điện, được tính theo năm dương lịch.
39. Ngày điển hình là ngày được chọn có chế độ tiêu thụ điện điển hình của phụ tải điện theo Quy định thực hiện về quản lý nhu cầu điện do Bộ trưởng Bộ Công Thương ban hành. Ngày điển hình bao gồm ngày điển hình của ngày làm việc, ngày cuối tuần (thứ Bảy, Chủ nhật), ngày lễ (nếu có) cho năm, tháng và tuần.
40. Nhà máy nhiệt điện là nhà máy điện hoạt động theo nguyên lý biến đổi nhiệt năng thành điện năng, bao gồm cả các nhà máy điện sinh khối, khí sinh học và nhà máy điện sử dụng chất thải rắn.
41. Cắt tải sự cố là quá trình cắt phụ tải điện ra khỏi hệ thống điện khi có sự cố hoặc đe dọa đến khả năng bảo đảm cung cấp điện, được thực hiện thông qua hệ thống tự động cắt tải sự cố hoặc lệnh điều độ.
42. Sự cố là sự kiện một hoặc nhiều trang thiết bị trong hệ thống điện do một hoặc nhiều nguyên nhân dẫn đến hệ thống điện hoạt động không bình thường, gây ngừng cung cấp điện hoặc ảnh hưởng đến việc đảm bảo cung cấp điện an toàn, ổn định và liên tục cho hệ thống điện quốc gia.
43. Sự cố một phần tử (sự cố đơn lẻ) là sự cố xảy ra ở một phần tử trong hệ thống điện khi hệ thống điện đang ở chế độ vận hành bình thường.
44. Sự cố nhiều phần tử là sự cố xảy ra ở hai phần tử trở lên tại cùng một thời điểm trong hệ thống điện.
45. Sự cố nghiêm trọng là sự cố trong hệ thống điện gây mất điện diện rộng trên lưới điện truyền tải hoặc gây cháy, nổ làm tổn hại đến người, tài sản.
46. Thiết bị đầu cuối RTU/Gateway (viết tắt theo tiếng Anh: Remote Terminal Unit/Gateway) là thiết bị đặt tại trạm điện hoặc nhà máy điện phục vụ việc thu thập và truyền dữ liệu về hệ thống SCADA của Cấp điều độ có quyền điều khiển hoặc Trung tâm điều khiển.
47. Tách đấu nối là việc tách lưới điện hoặc thiết bị điện của Khách hàng sử dụng lưới điện ra khỏi lưới điện tại điểm đấu nối.
48. Thiết bị ổn định hệ thống điện PSS (viết tắt theo tiếng Anh: Power System Stabilizer) là thiết bị đưa tín hiệu bổ sung tác động vào bộ tự động điều chỉnh điện áp (AVR) để làm suy giảm mức dao động công suất trong hệ thống điện.
49. Thời gian khởi động là khoảng thời gian tối thiểu để khởi động một tổ máy phát điện tính từ khi Đơn vị phát điện nhận được lệnh khởi động từ Cấp điều độ có quyền điều khiển đến khi tổ máy phát điện được hoà đồng bộ vào hệ thống điện quốc gia.
50. Tiêu chí N-1 là một tiêu chí phục vụ quy hoạch, thiết kế, đầu tư xây dựng và vận hành hệ thống điện đảm bảo khi có sự cố một phần tử xảy ra trong hệ thống điện hoặc khi một phần tử tách khỏi vận hành để bảo dưỡng, sửa chữa thì hệ thống điện vẫn vận hành ổn định, đáp ứng các tiêu chuẩn vận hành, giới hạn vận hành cho phép và cung cấp điện an toàn, liên tục.
51. Tiêu chuẩn IEC là tiêu chuẩn về kỹ thuật điện do Ủy ban Kỹ thuật điện quốc tế IEC (International Electrotechnical Commission) ban hành.
52. Cắt tải sự cố tự động là tác động cắt tải tự động của rơ le theo tín hiệu tần số, điện áp, mức công suất truyền tải của hệ thống điện khi tần số, điện áp, mức công suất truyền tải ra ngoài ngưỡng cho phép theo tính toán của Cấp điều độ có quyền điều khiển.
53. Trạm điện là trạm biến áp, trạm cắt hoặc trạm bù.
54. Trung tâm điều khiển là trung tâm được trang bị hệ thống cơ sở hạ tầng công nghệ thông tin, viễn thông để giám sát, điều khiển từ xa một nhóm nhà máy điện, nhóm trạm điện hoặc các thiết bị đóng cắt trên lưới điện.
55. pu là hệ đơn vị tương đối thể hiện tỷ lệ giữa giá trị thực tế so với giá trị định mức.
56. AVC (viết tắt theo tiếng anh Automatic Voltage Control) là hệ thống điều khiển điện áp tự động nhằm duy trì điện áp hệ thống điện trong phạm vi cho phép và giảm thiểu tổn thất trên hệ thống điện bằng cách phối hợp điều khiển tối ưu các thiết bị có khả năng điều chỉnh điện áp, công suất phản kháng trên hệ thống điện.
57. Biên bản kiểm tra điều kiện đóng điện điểm đấu nối: là biên bản được ký giữa Đơn vị truyền tải điện hoặc Đơn vị phân phối điện và Khánh hàng có nhu cầu đấu nối sau khi các bên kiểm tra và thống nhất các trang thiết bị được nêu trong Thỏa thuận đấu nối được lắp đặt thực tế đã đáp ứng các yêu cầu kỹ thuật quy định tại Thỏa thuận đấu nối và Thông tư này.
58. Hệ số dập dao động (Damping ratio - ς) là đại lượng để xác định tốc độ dao động suy giảm sau một nhiễu loạn trên hệ thống điện. Được xác định theo công thức sau:

Trong đó x0, x1 là biên độ của hai đỉnh dao động liên tiếp bất kỳ.
59. Biến dòng điện (sau đây viết tắt là CT) là thiết bị biến đổi dòng điện.
60. Biến điện áp (sau đây viết tắt là VT) là thiết bị biến đổi điện áp.
61. Bộ chuyển mạch điện áp là khóa chuyển mạch, mạch logic hoặc rơ le trung gian có chức năng lựa chọn điện áp.
62. Cơ sở dữ liệu đo đếm là cơ sở dữ liệu lưu trữ số liệu đo đếm và các thông tin quản lý, vận hành Hệ thống đo đếm.
63. Công tơ đo đếm là thiết bị đo đếm điện năng thực hiện tích phân công suất theo thời gian, lưu và hiển thị giá trị điện năng đo đếm được.
64. Đơn vị đầu tư hệ thống đo đếm là tổ chức, cá nhân đầu tư, lắp đặt Hệ thống đo đếm, Hệ thống thu thập số liệu đo đếm (nếu có).
65. Đơn vị giao nhận điện liên quan là đơn vị tham gia phối hợp với các đơn vị khác trong quá trình thỏa thuận thiết kế, đầu tư, lắp đặt và quản lý vận hành Hệ thống đo đếm, Hệ thống thu thập số liệu đo đếm, bao gồm: Đơn vị phát điện; đơn vị truyền tải điện; đơn vị bán buôn điện; Đơn vị phân phối điện; đơn vị bán lẻ điện; đơn vị quản lý số liệu đo đếm; khách hàng sử dụng điện.
66. Đơn vị quản lý lưới điện là đơn vị sở hữu, vận hành lưới điện truyền tải hoặc lưới điện phân phối, bao gồm: Đơn vị truyền tải điện; Đơn vị phân phối điện.
67. Đơn vị quản lý số liệu đo đếm là đơn vị đầu tư, lắp đặt, quản lý, vận hành Hệ thống thu thập số liệu đo đếm và Hệ thống quản lý số liệu đo đếm trong phạm vi quản lý.
68. Đơn vị quản lý vận hành hệ thống đo đếm là đơn vị trực tiếp quản lý, vận hành Hệ thống đo đếm trong phạm vi quản lý, bao gồm: Đơn vị phát điện; Đơn vị truyền tải điện; Đơn vị phân phối điện; Đơn vị bán lẻ điện; Khách hàng sử dụng điện.
69. Đơn vị sở hữu hệ thống đo đếm là đơn vị sở hữu Hệ thống đo đếm và Hệ thống thu thập số liệu đo đếm (nếu có), bao gồm: Đơn vị phát điện; đơn vị truyền tải điện; Đơn vị phân phối điện; đơn vị bán lẻ điện; khách hàng sử dụng điện.
70. Đơn vị thử nghiệm, kiểm định là đơn vị được cấp phép trong lĩnh vực hoạt động kiểm định, hiệu chuẩn, thử nghiệm đối với thiết bị đo đếm theo quy định của pháp luật về đo lường.
71. Hệ thống đo đếm là hệ thống bao gồm các thiết bị đo đếm và mạch đo được tích hợp để đo đếm và xác định lượng điện năng truyền tải qua một vị trí đo đếm.
72. Hệ thống thu thập số liệu đo đếm là tập hợp các thiết bị phần cứng, đường truyền thông tin và các chương trình phần mềm thực hiện chức năng thu thập số liệu từ công tơ đo đếm về Đơn vị quản lý vận hành hệ thống đo đếm hoặc Đơn vị quản lý số liệu đo đếm.
73. Hệ thống quản lý số liệu đo đếm là hệ thống bao gồm các thiết bị phần cứng, máy tính và các chương trình phần mềm kết nối và thu thập số liệu đo đếm từ Hệ thống thu thập số liệu đo đếm để thực hiện chức năng xử lý, tính toán và lưu trữ số liệu đo đếm tại Đơn vị quản lý số liệu đo đếm.
74. Hộp đấu dây là hộp bảo vệ vị trí đấu dây phân nhánh mạch đo, đấu dây giữa các thiết bị đo đếm, có nắp đậy để đảm bảo việc niêm phong kẹp chì.
75. Mạch đo là hệ thống mạch điện liên kết các thiết bị đo đếm để thực hiện chức năng đo đếm điện năng.
76. Số liệu đo đếm là giá trị điện năng đo được từ công tơ đo đếm, điện năng tính toán hoặc điện năng trên cơ sở ước tính số liệu đo đếm để phục vụ giao nhận và thanh toán.
77. Thiết bị đo đếm là các thiết bị bao gồm công tơ đo đếm, CT, VT và các thiết bị phụ trợ phục vụ đo đếm điện năng.
78. Thông tin đo đếm là các thông tin về các thiết bị đo đếm, Hệ thống đo đếm và vị trí đo đếm bao gồm đặc tính, các thông số kỹ thuật và các thông tin liên quan đến quản lý, vận hành.
79. Vị trí đo đếm là vị trí vật lý trên mạch điện nhất thứ, tại đó điện năng mua bán được đo đếm và xác định.
80. LAN (Local Area Network) là một hệ thống mạng dùng để kết nối các máy tính trong phạm vi nhỏ, còn gọi là mạng cục bộ*.*
81. WAN (Wide Area Network) là hệ thống mạng được thiết lập để liên kết các mạng LAN của các khu vực khác nhau, ở khoảng cách xa về mặt địa lý, còn gọi là mạng diện rộng.
82. RS232/RS485 là tiêu chuẩn về công nghệ truyền thông nối tiếp giữa máy tính và các thiết bị ngoại vi do Hiệp hội công nghiệp điện tử (Electronic Industries Association - EIA) xác định.
83. Ethernet là công nghệ truyền thông bằng khung dữ liệu, được chuẩn hóa thành tiêu chuẩn IEEE 802.3 dành cho mạng LAN.
Chương II
YÊU CẦU TRONG VẬN HÀNH HỆ THỐNG ĐIỆN
Điều 4. Tần số
- Tần số danh định của hệ thống điện quốc gia Việt Nam là 50 Hz. Trong chế độ vận hành bình thường, tần số hệ thống điện được phép dao động trong phạm vi ± 0,2 Hz so với tần số danh định. Ở các chế độ vận hành khác của hệ thống điện, dải tần số được phép dao động và thời gian khôi phục về chế độ vận hành bình thường được quy định tại Bảng 1 như sau:
Bảng 1
Dải tần số được phép dao động và thời gian khôi phục hệ thống điện về chế độ vận hành bình thường trong các chế độ vận hành khác của hệ thống điện quốc gia
| Chế độ vận hành của hệ thống điện | Dải tần số được phép dao động | Thời gian khôi phục, tính từ thời điểm xảy ra sự cố | |
|---|---|---|---|
| Trạng thái chưa ổn định (chế độ xác lập) | Khôi phục về chế độ vận hành bình thường | ||
| Sự cố đơn lẻ | 49 Hz ÷ 51 Hz | 02 phút để đưa tần số về phạm vi 49,5 Hz ÷ 50,5 Hz | 05 phút để đưa tần số về phạm vi 49,8 Hz ÷ 50,2 Hz |
| Sự cố nhiều phần tử, sự cố nghiêm trọng hoặc chế độ cực kỳ khẩn cấp | 47,5 Hz ÷ 52 Hz | 10 giây để đưa tần số về phạm vi 49 Hz ÷ 51 Hz | 10 phút để đưa tần số về phạm vi 49,8 Hz ÷ 50,2 Hz |
| 05 phút để đưa tần số về phạm vi 49,5 Hz ÷ 50,5 Hz | |||
2. Dải tần số được phép và số lần được phép tần số vượt quá giới hạn trong trường hợp sự cố nhiều phần tử, sự cố nghiêm trọng hoặc chế độ cực kỳ khẩn cấp được xác định theo chu kỳ 01 năm hoặc 02 năm được quy định tại Bảng 2 như sau:
Bảng 2
Dải tần số được phép và số lần được phép tần số vượt quá giới hạn trong trường hợp sự cố nhiều phần tử, sự cố nghiêm trọng hoặc chế độ cực kỳ khẩn cấp
| Dải tần số được phép (Hz) ("f” là tần số hệ thống điện) | Số lần được phép theo chu kỳ thời gian (tính từ thời điểm bắt đầu chu kỳ) |
|---|---|
| 52 ≥ f ≥ 51,25 | 07 lần trong 01 năm |
| 51,25 ≥ f ≥ 50,5 | 50 lần trong 01 năm |
| 49,5 > f > 48,75 | 60 lần trong 01 năm |
| 48,75 > f > 48 | 12 lần trong 01 năm |
| 48 ≥ f ≥ 47,5 | 01 lần trong 02 năm |
Trong đó, một lần tần số hệ thống điện vượt quá giới hạn được phép là một lần tần số hệ thống điện vượt quá giới hạn được phép trong khoảng thời gian từ 05 giây (s) trở lên.
3. Trong quá trình vận hành hệ thống điện quốc gia, Cấp điều độ có quyền điều khiển có trách nhiệm điều độ, vận hành hệ thống điện quốc gia và huy động các loại hình dịch vụ phụ trợ để đảm bảo tần số nằm trong dải được phép.
Điều 5. Ổn định hệ thống điện
- Ổn định hệ thống điện là khả năng của hệ thống điện, với điều kiện vận hành ban đầu xác định, trở lại chế độ vận hành bình thường hoặc chế độ cân bằng xác lập sau khi xảy ra một kích động trong hệ thống điện làm thay đổi các thông số vận hành của hệ thống điện. Ổn định hệ thống điện được phân loại như sau:
a) Ổn định quá độ (Transient Stability) là khả năng của các tổ máy phát điện trong hệ thống điện duy trì được trạng thái vận hành đồng bộ sau khi xảy ra các kích động lớn trong hệ thống điện;
b) Ổn định tín hiệu nhỏ (Small Signal stability) là khả năng các tổ máy phát điện trong hệ thống điện duy trì được trạng thái vận hành đồng bộ sau khi xảy ra các kích động nhỏ trong hệ thống điện, với mức độ dập tắt các dao động công suất tự nhiên trong giới hạn cho phép;
c) Ổn định điện áp động (Dynamic Voltage Stability) là khả năng của hệ thống điện duy trì điện áp xác lập tại các nút sau khi xảy ra các kích động lớn trong hệ thống điện;
d) Ổn định điện áp tĩnh (Steady State Voltage Stability) là khả năng của hệ thống điện duy trì điện áp xác lập tại các nút sau khi xảy ra các kích động nhỏ trong hệ thống điện;
đ) Ổn định tần số (Frequency Stability) là khả năng hệ thống điện duy trì được tần số xác lập sau khi xảy ra các kích động làm mất cân bằng công suất giữa nguồn điện và phụ tải điện.
2. Cộng hưởng dưới đồng bộ (cộng hưởng tần số thấp, Sub-Synchronous resonance) là hiện tượng tần số dao động riêng của hệ thống điện cộng hưởng với tần số dao động riêng của tuabin tổ máy phát điện làm tăng mô men xoắn tác động lên trục tuabin và rôto của tổ máy phát điện.
3. Hệ thống điện quốc gia đang vận hành ở chế độ bình thường hoặc sau khi sự cố N-1 đã được loại trừ phải duy trì chế độ đồng bộ và đáp ứng yêu cầu về ổn định hệ thống điện được quy định tại Bảng 3 như sau:
Bảng 3
Tiêu chuẩn về ổn định hệ thống điện
| Dạng ổn định | Tiêu chuẩn ổn định |
|---|---|
| Ổn định quá độ |
- Với các dao động có tần số nhỏ hơn hoặc bằng 0,05Hz: hệ số dập dao động tối thiểu là 40%. - Với các dao động có tần số trong khoảng 0,05Hz – 0,6Hz: thời gian dập nửa biên độ dao động nhỏ hơn 5 giây. - Với các dao động có tần số lớn hơn 0,6Hz: hệ số dập dao động cần đạt tối thiểu 5%. |
| Ổn định tín hiệu nhỏ | Hệ số suy giảm của dao động (Damping Ratio) không được nhỏ hơn 5 %. |
| Ổn định điện áp động | Trong thời gian 05 giây sau khi sự cố được loại trừ, điện áp tại điểm sự cố phải được phục hồi ít nhất 75 % giá trị điện áp trước khi sự cố. |
| Ổn định điện áp tĩnh | Hệ thống điện phải có dự phòng công suất ít nhất 5% theo đặc tính P-V trong trường hợp 01 (một) phần tử bị tách ra khỏi vận hành (N-1). |
| Ổn định tần số | Hệ thống điện phải đảm bảo tiêu chuẩn về ổn định tần số đáp ứng theo quy định tại khoản 1 Điều 4 Thông tư này. |
Điều 6. Điện áp
- Các cấp điện áp danh định:
a) Trong lưới điện truyền tải bao gồm 500 kV, 220 kV.
b) Trong hệ thống phân phối điện bao gồm 110 kV, 35 kV, 22 kV, 15 kV, 10 kV, 06 kV và 0,38 kV.
2. Độ lệch điện áp vận hành cho phép trong chế độ vận hành bình thường:
a) Độ lệch điện áp vận hành cho phép trên lưới điện 500kV so với điện áp danh định là ± 05%.
b) Độ lệch điện áp vận hành cho phép trên lưới điện 220kV so với điện áp danh định là + 10% và - 05%;
c) Độ lệch điện áp vận hành cho phép tại thanh cái trên lưới điện phân phối của Đơn vị phân phối điện so với điện áp danh định là + 10% và - 05%;
d) Độ lệch điện áp vận hành cho phép tại điểm đấu nối vào lưới điện phân phối so với điện áp danh định như sau:
- Tại điểm đấu nối với Khách hàng sử dụng điện là ± 05%;
- Tại điểm đấu nối với nhà máy điện là + 10% và - 05%;
- Trường hợp nhà máy điện và khách hàng sử dụng điện đấu nối vào cùng một thanh cái, đường dây trên lưới điện phân phối thì điện áp tại điểm đấu nối do Đơn vị phân phối điện quản lý vận hành lưới điện khu vực quyết định đảm bảo phù hợp với yêu cầu kỹ thuật vận hành lưới điện phân phối và đảm bảo chất lượng điện áp cho khách hàng sử dụng điện theo quy định.
3. Trong chế độ sự cố đơn lẻ của lưới điện truyền tải, sự cố hệ thống phân phối điện hoặc khôi phục sự cố của hệ thống phân phối điện, cho phép mức dao động điện áp trên lưới điện phân phối trong khoảng ± 10% so với điện áp danh định.
4. Trong trường hợp hệ thống truyền tải điện bị sự cố nhiều phần tử, sự cố nghiêm trọng, trong chế độ vận hành cực kỳ khẩn cấp hoặc chế độ khôi phục hệ thống điện, cho phép mức dao động điện áp trên lưới điện truyền tải, lưới điện 110kV tạm thời lớn hơn ± 10 % so với điện áp danh định nhưng không được vượt quá ± 20 % so với điện áp danh định.
5. Đối với lưới điện phân phối chưa ổn định sau sự cố, cho phép độ lệch điện áp tại điểm đấu nối với Khách hàng sử dụng điện bị ảnh hưởng trực tiếp do sự cố trong khoảng + 5% và - 10% so với điện áp danh định.
6. Trong thời gian sự cố, điện áp tại nơi xảy ra sự cố và vùng lân cận có thể giảm quá độ đến giá trị bằng 0 ở pha bị sự cố hoặc tăng quá 110% điện áp danh định ở các pha không bị sự cố cho đến khi sự cố được loại trừ.
7. Trường hợp Khách hàng sử dụng lưới điện phân phối có yêu cầu chất lượng điện áp cao hơn so với quy định tại khoản 2 Điều này, Khách hàng sử dụng lưới điện phân phối có thể thỏa thuận với Đơn vị phân phối điện hoặc Đơn vị bán lẻ điện. Đơn vị phân phối điện hoặc Đơn vị bán lẻ điện có trách nhiệm lấy ý kiến của Cấp điều độ có quyền điều khiển trước khi thỏa thuận thống nhất với khách hàng.
Điều 7. Cân bằng pha
-
Trong chế độ vận hành bình thường, thành phần thứ tự nghịch của điện áp pha không được vượt quá 03% điện áp danh định đối với cấp điện áp cao áp và siêu cao áp, hoặc 05 % điện áp danh định đối với cấp điện áp trung áp và hạ áp.
-
Cho phép thành phần thứ tự nghịch của điện áp pha trên lưới điện trong một số thời điểm vượt quá giá trị quy định tại khoản 1 Điều này nhưng phải đảm bảo 95% các giá trị đo với thời gian đo ít nhất 01 tuần và tần suất lấy mẫu 10 phút/lần không được vượt quá giới hạn quy định.
Điều 8. Sóng hài
- Sóng hài điện áp
a) Tổng biến dạng sóng hài điện áp là tỷ lệ giữa giá trị hiệu dụng của sóng hài điện áp với giá trị hiệu dụng của điện áp bậc cơ bản được tính theo công thức sau:

Trong đó:
- THD: Tổng biến dạng sóng hài điện áp;
- Vi: Giá trị hiệu dụng của sóng hài điện áp bậc i và N là bậc cao nhất của sóng hài cần đánh giá;
- V1: Giá trị hiệu dụng của điện áp bậc cơ bản (tần số 50 Hz).
b) Độ biến dạng sóng hài điện áp tối đa cho phép trên lưới điện quy định trong Bảng 4a như sau:
Bảng 4a
Độ biến dạng sóng hài điện áp tối đa cho phép
| Cấp điện áp | Tổng biến dạng sóng hài (THD) | Biến dạng riêng lẻ |
|---|---|---|
| 500kV, 220 kV | 3,0% | Không quy định |
| 110 kV | 3,0% | 1,5% |
| Trung áp | 5,0% | 3,0% |
| Hạ áp | 8,0% | 5,0% |
2. Sóng hài dòng điện
a) Tổng biến dạng sóng hài dòng điện là tỷ lệ giữa giá trị hiệu dụng của sóng hài dòng điện với giá trị hiệu dụng của dòng điện bậc cơ bản ở chế độ phụ tải, công suất phát cực đại được tính theo công thức sau:

Trong đó:
-
-
TDD: Tổng biến dạng sóng hài dòng điện;
-
Ii: Giá trị hiệu dụng của sóng hài dòng điện bậc i và N là bậc cao nhất của sóng hài cần đánh giá;
-
IL : Giá trị hiệu dụng của dòng điện bậc cơ bản (tần số 50 Hz) ở phụ tải, công suất phát cực đại (phụ tải, công suất phát cực đại là giá trị trung bình của 12 phụ tải, công suất phát cực đại tương ứng với 12 tháng trước đó, trường hợp đối với các đấu nối mới hoặc không thu thập được giá trị phụ tải, công suất phát cực đại tương ứng với 12 tháng trước đó thì sử dụng giá trị phụ tải, công suất phát cực đại trong toàn bộ thời gian thực hiện phép đo).
-
b) Giá trị cực đại cho phép của tổng biến dạng sóng hài dòng điện do các thành phần sóng hài bậc cao gây ra đối với các cấp điện áp 220 kV và 500 kV phải nhỏ hơn hoặc bằng 3%.
c) Nhà máy điện đấu nối vào lưới điện phân phối phải đảm bảo không gây ra biến dạng sóng hài dòng điện vượt quá giá trị quy định tại Bảng 4b như sau:
Bảng 4b
Độ biến dạng sóng hài dòng điện tối đa cho phép đối với nhà máy điện
| Cấp điện áp | Tổng biến dạng | Biến dạng riêng lẻ |
|---|---|---|
| 110 kV | 3% | 2% |
| Trung áp, hạ áp | 5% | 4% |
d) Phụ tải điện đấu nối vào lưới điện phân phối phải đảm bảo không gây ra biến dạng sóng hài dòng điện vượt quá giá trị quy định tại Bảng 4c như sau:
Bảng 4c
Biến dạng sóng hài dòng điện tối đa cho phép đối với phụ tải điện
| Cấp điện áp | Tổng biến dạng | Biến dạng riêng lẻ |
|---|---|---|
| 110 kV | 4% | 3,5% |
| Trung áp | 8% | 7% |
| Hạ áp | 12% nếu phụ tải ≥50 kW 20% nếu phụ tải <50 kW 20% nếu <50 kW | 10% nếu phụ tải ≥50 kW 15% nếu phụ tải <50 kW |
3. Trong chế độ vận hành bình thường, Đơn vị truyền tải điện, Đơn vị phân phối điện có trách nhiệm đảm bảo tổng mức biến dạng do sóng hài trên lưới điện không vượt quá các giá trị quy định khoản 1 Điều này.
4. Khách hàng sử dụng lưới điện truyền tải có trách nhiệm đảm bảo thiết bị đấu nối với lưới điện truyền tải không phát sóng hài lên lưới điện truyền tải vượt quá giá trị quy định tại khoản 2 Điều này.
5. Trường hợp tổng mức biến dạng sóng hài có dấu hiệu vi phạm các giá trị quy định tại khoản 1 hoặc khoản 2 Điều này, Khách hàng sử dụng lưới điện truyền tải hoặc Đơn vị truyền tải điện có quyền yêu cầu đơn vị còn lại kiểm tra các giá trị sóng hài hoặc thuê đơn vị thử nghiệm độc lập thực hiện. Trường hợp kết quả kiểm tra cho thấy tổng mức biến dạng sóng hài vi phạm quy định tại khoản 1 hoặc khoản 2 Điều này, đơn vị nào gây ra nguyên nhân và vi phạm quy định, đơn vị đó phải chịu toàn bộ chi phí kiểm tra, xác minh, các thiệt hại và thực hiện các biện pháp khắc phục.
6. Cho phép đỉnh nhọn bất thường của sóng hài trên lưới điện truyền tải, lưới điện phân phối vượt quá tổng biến dạng sóng hài quy định tại khoản 1 và khoản 2 Điều này nhưng phải đảm bảo 95 % giá trị đo sóng hài điện áp và sóng hài dòng điện với thời gian đo ít nhất 01 tuần và tần suất lấy mẫu 10 phút/lần không được vượt quá giới hạn quy định.
Điều 9. Mức nhấp nháy điện áp
- Mức nhấp nháy điện áp tối đa cho phép trong lưới điện truyền tải được quy định tại Bảng 5 như sau:
Bảng 5
Mức nhấp nháy điện áp
| Cấp điện áp | Plt95% | Pst95% |
|---|---|---|
| 220, 500 kV | 0,6 | 0,8 |
Trong đó: Plt95% là ngưỡng giá trị của Plt sao cho trong khoảng 95 % thời gian đo (ít nhất 01 tuần) và 95% số vị trí đo Plt không vượt quá giá trị này; Pst95% là ngưỡng giá trị của Pst sao cho trong khoảng 95% thời gian đo (ít nhất 01 tuần) và 95 % số vị trí đo Pst không vượt quá giá trị này.
2. Đơn vị truyền tải điện có trách nhiệm kiểm soát mức nhấp nháy điện áp trên lưới điện truyền tải đảm bảo mức nhấp nháy điện áp tại điểm đấu nối không vượt quá các giá trị quy định tại Bảng 5 trong chế độ vận hành bình thường. Khách hàng sử dụng lưới điện truyền tải có trách nhiệm đảm bảo thiết bị đấu nối của mình với lưới điện truyền tải không gây ra mức nhấp nháy điện áp trên lưới điện vượt quá giá trị quy định tại Bảng 5.
3. Trường hợp cho rằng mức nhấp nháy điện áp có dấu hiệu vi phạm các giá trị quy định tại khoản 1 Điều này, Khách hàng sử dụng lưới điện truyền tải hoặc Đơn vị truyền tải điện có quyền yêu cầu đơn vị còn lại kiểm tra mức nhấp nháy điện áp hoặc thuê đơn vị thử nghiệm độc lập thực hiện. Trường hợp kết quả kiểm tra cho thấy mức nhấp nháy điện áp vi phạm quy định tại khoản 1 Điều này, đơn vị nào gây ra nguyên nhân và vi phạm quy định, đơn vị đó phải chịu toàn bộ chi phí kiểm tra, xác minh, các thiệt hại và thực hiện các biện pháp khắc phục.
4. Trong điều kiện vận hành bình thường, mức nhấp nháy điện áp tại mọi điểm đấu nối trên lưới điện phân phối không được vượt quá giới hạn quy định trong Bảng 6 như sau:
Bảng 6
Mức nhấp nháy điện áp
| Cấp điện áp | Plt95% | Pst95% |
|---|---|---|
| 110 kV | 0,60 | 0,80 |
| Trung áp | 0,80 | 1,00 |
| Ha áp | 0,80 | 1,00 |
5. Mức nhấp nháy điện áp ngắn hạn (Pst) và mức nhấp nháy điện áp dài hạn (Plt) là giá trị đo theo tiêu chuẩn quốc gia hiện hành. Trường hợp giá trị đo Pst và Plt chưa có trong tiêu chuẩn quốc gia, đo theo Tiêu chuẩn IEC hiện hành do Ủy ban Kỹ thuật điện quốc tế công bố.
Điều 10. Dao động điện áp
- Dao động điện áp tại điểm đấu nối trên lưới điện truyền tải do phụ tải dao động gây ra không được vượt quá 2,5 % của điện áp danh định và phải nằm trong phạm vi giá trị điện áp vận hành cho phép đối với từng cấp điện áp được quy định tại Điều 6Thông tư này.
- Dao động điện áp tại điểm đấu nối trên lưới điện phân phối do phụ tải của khách hàng sử dụng điện dao động hoặc do thao tác thiết bị đóng cắt trong nội bộ nhà máy điện gây ra không được vượt quá 2,5% điện áp danh định và phải nằm trong phạm vi giá trị điện áp vận hành cho phép được quy định tại Điều 6 Thông tư này.
- Trong trường hợp chuyển nấc phân áp dưới tải bằng tay, dao động điện áp tại điểm đấu nối với phụ tải không được vượt quá giá trị điều chỉnh điện áp của nấc phân áp máy biến áp điều áp dưới tải.
- Cho phép mức điều chỉnh điện áp mỗi lần tối đa là 5 % giá trị điện áp danh định, với điều kiện việc điều chỉnh điện áp không được gây ra hỏng hóc thiết bị trên hệ thống truyền tải điện và thiết bị của Khách hàng sử dụng lưới điện truyền tải.
Điều 11. Chế độ nối đất trung tính
- Chế độ nối đất trung tính của lưới điện được quy định trong Bảng 7 như sau:
Bảng 7
Chế độ nối đất
| Cấp điện áp | Điểm trung tính |
|---|---|
| 500kV, 220kV, 110 kV | Nối đất trực tiếp. |
| 35 kV | Trung tính cách ly hoặc nối đất qua trở kháng. |
| 15 kV, 22 kV | Nối đất trực tiếp (03 pha 03 dây) hoặc nối đất lặp lại (03 pha 04 dây). |
| 06 kV, 10 kV | Trung tính cách ly. |
| Dưới 1000 V | Nối đất trực tiếp (nối đất trung tính, nối đất lặp lại, nối đất trung tính kết hợp). |
2. Trường hợp chế độ nối đất trung tính của một số thiết bị trong lưới điện thực hiện khác với quy định tại khoản 1 Điều này thì phải được sự đồng ý bằng văn bản của Cấp điều độ có quyền điều khiển.
3. Cuộn dây phía cao áp của máy biến áp ba pha hoặc 03 (ba) máy biến áp một pha đấu nối vào lưới điện truyền tải phải đấu hình sao có điểm trung tính thích hợp cho việc nối đất.
4. Việc nối đất trung tính máy biến áp phải đảm bảo giá trị của hệ số chạm đất không vượt quá giá trị quy định tại khoản 1 Điều 11Thông tư này.
5. Khách hàng sử dụng lưới điện phân phối phải áp dụng các chế độ nối đất trung tính trong lưới điện của mình theo quy định tại khoản 2 Điều 11Thông tư này, trừ trường hợp có thỏa thuận khác và được sự đồng ý của Cấp điều độ có quyền điều khiển.
6. Trường hợp khách hàng được cung cấp điện từ nhiều phía, khách hàng có trách nhiệm lắp đặt các thiết bị bảo vệ thích hợp nhằm ngăn chặn và hạn chế dòng điện chạy qua điểm trung tính xuống đất.
Điều 12. Dòng điện ngắn mạch và thời gian loại trừ sự cố
- Dòng điện ngắn mạch lớn nhất cho phép
a) Trị số dòng điện ngắn mạch lớn nhất cho phép, thời gian tối đa loại trừ sự cố bằng bảo vệ chính và khả năng chịu đựng của thiết bị trong hệ thống điện được quy định tại Bảng 8 như sau:
Bảng 8
Dòng điện ngắn mạch lớn nhất cho phép, thời gian tối đa loại trừ sự cố bằng bảo vệ chính và khả năng chịu đựng của thiết bị
| Cấp điện áp | Dòng điện ngắn mạch lớn nhất cho phép (kA) | Thời gian tối đa loại trừ sự cố bằng bảo vệ chính (ms) | Thời gian chịu đựng tối thiểu của thiết bị (s) |
|---|---|---|---|
| 500 kV | 50 | 80 | 01 |
| 220 kV | 50 | 100 | 01 |
| 110kV | 31,5 | 150 | 01 |
| Trung áp | 25 | 500 | 01 |
b) Bảo vệ chính trang thiết bị điện là bảo vệ được lắp đặt, chỉnh định để bảo vệ cho toàn bộ thiết bị, đảm bảo các tiêu chí về độ chọn lọc, độ tin cậy tác động và thời gian loại trừ sự cố đáp ứng yêu cầu quy định tại Bảng 8 Điều này khi có sự cố xảy ra trong phạm vi bảo vệ đối với trang thiết bị được bảo vệ;
c) Thanh cái 110 kV của các trạm điện 500 kV, 220 kV trong lưới điện truyền tải được áp dụng dòng điện ngắn mạch lớn nhất cho phép là 40 kA.
-
Thiết bị đóng cắt trên lưới điện truyền tải, lưới điện phân phối phải có đủ khả năng cắt dòng điện ngắn mạch lớn nhất qua thiết bị đóng cắt trong ít nhất 10 năm tiếp theo kể từ thời điểm dự kiến đưa thiết bị vào vận hành và chịu đựng được dòng điện ngắn mạch này trong thời gian tối thiểu từ 01 giây trở lên.
-
Đối với tổ máy thủy điện và nhiệt điện có công suất lớn hơn 30 MW, tổng giá trị điện kháng siêu quá độ chưa bão hòa của tổ máy phát điện (Xd’’-%) và điện kháng ngắn mạch của máy biến áp đầu cực (Uk-%) tính trong hệ đơn vị tương đối (đơn vị pu quy về công suất biểu kiến định mức của tổ máy phát điện) không được nhỏ hơn 40%.
Trường hợp không đáp ứng được yêu cầu trên, chủ đầu tư có trách nhiệm tính toán, đầu tư và lắp đặt thêm kháng điện để tổng giá trị của Xd’’, Uk và kháng điện tính trong hệ đơn vị tương đối (đơn vị pu quy về công suất biểu kiến định mức của tổ máy phát điện) không được nhỏ hơn 40%.
-
Đối với đường dây trung áp có nhiều phân đoạn, khó phối hợp bảo vệ giữa các thiết bị đóng cắt trên lưới điện, cho phép thời gian loại trừ sự cố của bảo vệ chính tại một số vị trí đóng cắt lớn hơn giá trị quy định tại khoản 1 Điều này nhưng phải nhỏ hơn 01 giây và phải đảm bảo an toàn cho thiết bị và lưới điện.
-
Các công trình điện đấu nối vào hệ thống điện có giá trị dòng điện ngắn mạch tại điểm đấu nối theo tính toán mà lớn hơn giá trị dòng điện ngắn mạch lớn nhất cho phép quy định tại Bảng 8 thì chủ đầu tư các công trình điện có trách nhiệm áp dụng các biện pháp để dòng điện ngắn mạch tại điểm đấu nối xuống thấp hơn hoặc bằng giá trị dòng điện ngắn mạch lớn nhất cho phép quy định tại Bảng 8.
-
Đơn vị truyền tải điện, Đơn vị phân phối điện có trách nhiệm thông báo giá trị dòng điện ngắn mạch lớn nhất tại điểm đấu nối tại thời điểm hiện tại và theo tính toán trong ít nhất 10 năm tiếp theo để Khách hàng sử dụng lưới điện phối hợp trong quá trình đầu tư, lắp đặt thiết bị, đảm bảo thiết bị đóng cắt có đủ khả năng đóng cắt dòng điện ngắn mạch lớn nhất tại điểm đấu nối trong ít nhất 10 năm tiếp theo kể từ thời điểm dự kiến đưa thiết bị vào vận hành.
-
Đơn vị truyền tải điện, Đơn vị phân phối điện có trách nhiệm áp dụng các giải pháp để đảm bảo dòng điện ngắn mạch trên lưới điện thuộc quyền quản lý đáp ứng yêu cầu quy định tại Bảng 8 Điều này. Trường hợp đã áp dụng các giải pháp mà dòng điện ngắn mạch vẫn lớn hơn khả năng của thiết bị, Đơn vị truyền tải điện, Đơn vị phân phối điện có trách nhiệm đề xuất giải pháp để đảm bảo vận hành an toàn thiết bị.
Điều 13. Hệ số chạm đất
-
Hệ số chạm đất của lưới điện truyền tải ở các cấp điện áp không được vượt quá 1,4.
-
Hệ số sự cố chạm đất của lưới điện phân phối không được vượt quá 1,4 đối với lưới điện có trung tính nối đất trực tiếp và 1,7 đối với lưới điện có trung tính cách ly hoặc lưới điện có trung tính nối đất qua trở kháng.
Điều 14. Độ tin cậy của lưới điện truyền tải
- Độ tin cậy của lưới điện truyền tải được xác định bằng tỷ lệ sản lượng điện năng không cung cấp được hàng năm do ngừng, giảm cung cấp điện không theo kế hoạch, ngừng, giảm cung cấp điện có kế hoạch và sự cố trên lưới điện truyền tải gây mất điện cho khách hàng.
- Sản lượng điện năng không cung cấp được được tính bằng tích số giữa công suất phụ tải bị ngừng, giảm cung cấp điện với thời gian ngừng, giảm cung cấp điện tương ứng trong các trường hợp mất điện kéo dài trên 01 phút, trừ các trường hợp sau:
a) Ngừng, giảm cung cấp điện do hệ thống điện quốc gia thiếu nguồn;
b) Ngừng, giảm mức cung cấp điện do sự kiện bất khả kháng (sự kiện xảy ra một cách khách quan không thể kiểm soát được, không thể lường trước được và không thể tránh được mặc dù đã áp dụng mọi biện pháp cần thiết trong khả năng cho phép).
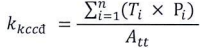
3. Tỷ lệ sản lượng điện năng không cung cấp được của lưới điện truyền tải trong một năm được xác định theo công thức sau:

Trong đó:
- kkccd : Tỷ lệ sản lượng điện năng không cung cấp được của lưới điện truyền tải trong 01 năm;
- Ti : Thời gian ngừng, giảm cung cấp điện lần i kéo dài trên 01 - phút, được xác định bằng khoảng thời gian từ lúc bắt đầu ngừng, giảm cung cấp cho tới lúc khôi phục được cung cấp điện (giờ);
- Pi: Công suất phụ tải trung bình bị ngừng, giảm cung cấp điện lần thứ i (kW);
- n: Số lần ngừng, giảm cung cấp điện năm tính toán;
- Att : Tổng sản lượng điện truyền tải qua lưới điện truyền tải trong năm tính toán (kWh).
Điều 15. Độ tin cậy của lưới điện phân phối
-
Các chỉ số về độ tin cậy cung cấp điện của lưới điện phân phối bao gồm:
a) Chỉ số về thời gian mất điện trung bình của lưới điện phân phối (System Average Interruption Duration Index - SAIDI);
b) Chỉ số về số lần mất điện trung bình của lưới điện phân phối (System Average Interruption Frequency Index - SAIFI);
c) Chỉ số về số lần mất điện thoáng qua trung bình của lưới điện phân phối (Momentary Average Interruption Frequency Index - MAIFI).
2. Các chỉ số về độ tin cậy của lưới điện phân phối được tính toán như sau:
a) SAIDI được tính bằng tổng số thời gian mất điện kéo dài trên 05 phút của Khách hàng sử dụng điện và Đơn vị bán lẻ điện mua điện của Đơn vị bán buôn điện chia cho tổng số Khách hàng sử dụng điện và Đơn vị bán lẻ điện mua điện của Đơn vị bán buôn điện, xác định theo công thức sau:

Trong đó:
-
-
- Ti : Thời gian mất điện lần thứ i trong tháng t (chỉ xét các lần mất điện có thời gian kéo dài trên 05 phút);
- Ki : Tổng số Khách hàng sử dụng điện và Đơn vị bán lẻ điện mua điện của Đơn vị bán buôn điện bị ảnh hưởng bởi lần mất điện thứ i trong tháng t;
- n: Tổng số lần mất điện kéo dài trên 05 phút trong tháng t thuộc phạm vi cung cấp điện của Đơn vị phân phối điện;
- Kt : Tổng số Khách hàng sử dụng điện và Đơn vị bán lẻ điện mua điện của Đơn vị bán buôn điện trong tháng t;
- SAIDIt (phút): Chỉ số về thời gian mất điện trung bình của lưới điện phân phối trong tháng t;
- SAIDIy (phút): Chỉ số về thời gian mất điện trung bình của lưới điện phân phối trong năm y.
-
b) SAIFI được tính bằng tổng số lượt Khách hàng sử dụng điện và Đơn vị bán lẻ điện mua điện của Đơn vị bán buôn điện bị mất điện kéo dài trên 05 phút chia cho tổng số Khách hàng sử dụng điện và Đơn vị bán lẻ điện mua điện của Đơn vị bán buôn điện, xác định theo công thức sau:

Trong đó:
-
- n: Tổng số lần mất điện kéo dài trên 05 phút trong tháng t thuộc phạm vi cung cấp điện của Đơn vị phân phối điện;
- Ki: Tổng số Khách hàng sử dụng điện và Đơn vị bán lẻ điện mua điện của Đơn vị bán buôn điện bị ảnh hưởng bởi lần mất điện thứ i trong tháng t;
- Kt: Tổng số Khách hàng sử dụng điện và Đơn vị bán lẻ điện mua điện của Đơn vị bán buôn điện trong tháng t;
- SAIFIt: Chỉ số về số lần mất điện trung bình của lưới điện phân phối trong tháng t;
- SAIFIy: Chỉ số về số lần mất điện trung bình của lưới điện phân phối trong năm y.
-
- MAIFI được tính bằng tổng số lượt Khách hàng sử dụng điện và Đơn vị bán lẻ điện mua điện của Đơn vị bán buôn điện bị mất điện thoáng qua (thời gian mất điện kéo dài từ 05 phút trở xuống) chia cho tổng số Khách hàng sử dụng điện và Đơn vị bán lẻ điện mua điện của Đơn vị bán buôn điện, xác định theo công thức sau:

Trong đó:
- n: Tổng số lần mất điện thoáng qua trong tháng t thuộc phạm vi cung cấp điện của Đơn vị phân phối điện;
- Ki: Tổng số Khách hàng sử dụng điện và Đơn vị bán lẻ điện mua điện của Đơn vị bán buôn điện bị ảnh hưởng bởi lần mất điện thoáng qua thứ i trong tháng t;
- Kt: Tổng số Khách hàng sử dụng điện và Đơn vị bán lẻ điện mua điện của Đơn vị bán buôn điện trong tháng t;
- MAIFIt: Chỉ số về số lần mất điện thoáng qua trung bình của lưới điện phân phối trong tháng t;
- MAIFIy: Chỉ số về số lần mất điện thoáng qua trung bình của lưới điện phân phối trong năm y.
3. Độ tin cậy cung cấp điện được thống kê và đánh giá qua hai bộ chỉ số bao gồm "Độ tin cậy cung cấp điện toàn phần” và "Độ tin cậy cung cấp điện của lưới điện phân phối”. Mỗi bộ chỉ số độ tin cậy cung cấp điện bao gồm 03 chỉ số SAIDI, SAIFI và MAIFI được xác định theo quy định tại Điều này.
4. Bộ chỉ số "Độ tin cậy cung cấp điện toàn phần” được sử dụng để đánh giá chất lượng cung cấp điện cho khách hàng mua điện của Đơn vị phân phối điện và được tính toán theo quy định tại Điều này khi không xét các trường hợp ngừng cung cấp điện do các nguyên nhân sau:
a) Khách hàng sử dụng lưới điện phân phối đề nghị cắt điện;
b) Thiết bị của Khách hàng sử dụng lưới điện phân phối không đáp ứng các yêu cầu kỹ thuật, an toàn điện để được khôi phục cung cấp điện;
c) Do sự cố thiết bị của Khách hàng sử dụng lưới điện phân phối;
d) Do các sự kiện bất khả kháng, ngoài khả năng kiểm soát của Đơn vị phân phối điện hoặc do Khách hàng sử dụng lưới điện phân phối điện vi phạm quy định của pháp luật theo Quy định trình tự ngừng, giảm mức cung cấp điện do Bộ trưởng Bộ Công Thương ban hành.
5. Bộ chỉ số "Độ tin cậy cung cấp điện của lưới điện phân phối” là một trong các chỉ tiêu được sử dụng để đánh giá hiệu quả hoạt động của Đơn vị phân phối điện được tính toán theo quy định tại Điều này khi không xét các trường hợp ngừng cung cấp điện do các nguyên nhân sau:
a) Các trường hợp được quy định tại khoản 4 Điều này;
b) Do mất điện từ hệ thống truyền tải điện;
c) Cắt tải sự cố theo lệnh điều độ của Cấp điều độ có quyền điều khiển;
d) Cắt điện khi xét thấy có khả năng gây mất an toàn nghiêm trọng đối với con người và thiết bị trong quá trình vận hành hệ thống điện.
Điều 16. Tổn thất điện năng của lưới điện truyền tải
Tổn thất điện năng hàng năm trên lưới điện truyền tải được xác định theo công thức sau:

Trong đó:
- ΔA: Tổn thất hàng năm trên lưới điện truyền tải;
- Attnhận: Tổng lượng điện năng nhận vào lưới điện truyền tải trong năm là lượng điện năng nhận từ tất cả Khách hàng sử dụng lưới điện truyền tải tại các điểm đấu nối với lưới điện truyền tải cộng với tổng điện năng nhập khẩu qua lưới điện truyền tải;
- Attgiao: Tổng lượng điện năng giao từ lưới điện truyền tải trong năm là lượng điện năng mà các Đơn vị phân phối điện và Khách hàng sử dụng điện nhận điện trực tiếp từ lưới điện truyền tải tiếp nhận từ các điểm đấu nối với lưới điện truyền tải cộng với tổng điện năng xuất khẩu qua lưới điện truyền tải.
Điều 17. Tổn thất điện năng của lưới điện phân phối
Tổn thất điện năng của lưới điện phân phối bao gồm:
- Tổn thất điện năng kỹ thuật là tổn thất điện năng gây ra do bản chất vật lý của đường dây dẫn điện, trang thiết bị điện trên lưới điện phân phối.
- Tổn thất điện năng phi kỹ thuật là tổn thất điện năng do ảnh hưởng của các yếu tố trong quá trình quản lý kinh doanh điện mà không phải do bản chất vật lý của đường dây dẫn điện, trang thiết bị điện trên lưới điện phân phối gây ra.
- Trước ngày 15 tháng 11 hàng năm, Tập đoàn Điện lực Việt Nam có trách nhiệm xây dựng kế hoạch về độ tin cậy cung cấp điện và tổn thất điện năng cho năm tiếp theo của các Đơn vị phân phối điện và báo cáo Bộ Công Thương để giám sát.
Điều 18. Các chỉ tiêu chất lượng dịch vụ khách hàng của Đơn vị phân phối điện, đơn vị bán lẻ điện
- Thời gian xem xét, ký thỏa thuận đấu nối và thực hiện đấu nối mới hoặc thời gian điều chỉnh đấu nối cho khách hàng.
- Thời gian thông báo ngừng, giảm mức cung cấp điện.
- Chất lượng trả lời kiến nghị, khiếu nại của khách hàng bằng văn bản được đánh giá trên các tiêu chí:
a) Mức độ rõ ràng trong việc trả lời kiến nghị, khiếu nại của khách hàng bằng văn bản thể hiện thông qua văn bản trả lời phải bao gồm các nội dung sau:
-
-
Trả lời khiếu nại được chấp nhận hay không;
-
Giải thích rõ ràng phương án giải quyết trong trường hợp khiếu nại được chấp nhận;
-
Trong trường hợp không chấp nhận khiếu nại, Đơn vị phân phối điện hoặc Đơn vị phân phối và bán lẻ điện phải nêu rõ lý do và hướng dẫn khách hàng theo từng trường hợp cụ thể;
-
Cung cấp đầy đủ các thông tin cần thiết khác giúp khách hàng đánh giá được phương án giải quyết.
-
b) Tỷ lệ số văn bản trả lời khiếu nại của khách hàng trong thời gian quy định tại điểm c khoản 2 Điều 19 Thông tư này.
c) Chất lượng tiếp nhận khiếu nại của khách hàng qua điện thoại được đánh giá trên tiêu chí tỷ lệ số cuộc gọi của khách hàng được tiếp nhận trong thời gian quy định tại điểm d khoản 2 Điều 19 Thông tư này.
Điều 19. Yêu cầu chất lượng dịch vụ khách hàng của Đơn vị phân phối điện, đơn vị bán lẻ điện
-
Đơn vị phân phối điện, Đơn vị bán lẻ điện phải tổ chức, duy trì và cập nhật hệ thống thông tin để ghi nhận tất cả kiến nghị, khiếu nại từ khách hàng bằng văn bản hoặc qua điện thoại.
-
Yêu cầu chất lượng dịch vụ khách hàng được quy định như sau:
-
Thời gian xem xét và ký Thỏa thuận đấu nối kể từ khi nhận được hồ sơ đề nghị đấu nối hoàn chỉnh, hợp lệ theo quy định tại Điều 47Thông tư này;
-
Thời gian thông báo ngừng, giảm mức cung cấp điện tại Quy định trình tự ngừng, giảm mức cung cấp điện do Bộ trưởng Bộ Công Thương ban hành;
-
Chất lượng trả lời kiến nghị, khiếu nại của khách hàng bằng văn bản: Có trên 95% văn bản trả lời khiếu nại bằng văn bản có nội dung trả lời rõ ràng và tuân thủ các quy định của pháp luật trong thời hạn 05 ngày làm việc;
-
Chất lượng tiếp nhận khiếu nại của khách hàng qua điện thoại: Có trên 80% các cuộc điện thoại của khách hàng được tiếp nhận trong thời gian 30 giây.
Điều 20. Công bố thông tin về độ tin cậy cung cấp điện, tổn thất điện năng và chất lượng dịch vụ khách hàng
-
Trước ngày 10 hàng tháng, Đơn vị phân phối điện có trách nhiệm công bố trên Trang thông tin điện tử của đơn vị các thông tin về độ tin cậy cung cấp điện, tổn thất điện năng và chất lượng dịch vụ khách hàng của tháng trước liền kề.
-
Trước ngày 31 tháng 01 hàng năm, Đơn vị phân phối điện có trách nhiệm công bố trên Trang thông tin điện tử của đơn vị các thông tin về độ tin cậy cung cấp điện, tổn thất điện năng và chất lượng dịch vụ khách hàng của năm trước liền kề.
Chương III
ĐẤU NỐI VÀO LƯỚI ĐIỆN
Mục 1
NGUYÊN TẮC CHUNG
Điều 21. Điểm đấu nối
- Điểm đấu nối là điểm nối trang thiết bị, lưới điện và nhà máy điện của Khách hàng sử dụng lưới điện vào hệ thống điện hoặc điểm đấu nối trang thiết bị điện, lưới điện giữa các Đơn vị truyền tải điện, Đơn vị phân phối điện với nhau.
- Tuỳ thuộc vào cấu trúc của lưới điện, đường dây đấu nối, điểm đấu nối được xác định như sau:
a) Đối với đường dây trên không, điểm đấu nối là điểm cuối của chuỗi cách điện đỡ treo dây xuất tuyến nối vào dao cách ly của trạm điện hoặc sân phân phối của nhà máy điện;
b) Đối với cáp ngầm, điểm đấu nối là đầu cốt trụ cách điện dao cách ly phía xuất tuyến của trạm điện hoặc sân phân phối của nhà máy điện.
3. Trường hợp điểm đấu nối khác với quy định tại khoản 2Điều này, điểm đấu nối thay thế do hai bên tự thỏa thuận.
4. Điểm đấu nối phải được mô tả chi tiết bằng các bản vẽ, sơ đồ, thuyết minh có liên quan trong Thoả thuận đấu nối hoặc hợp đồng mua bán điện.
Điều 22. Ranh giới phân định tài sản và quản lý vận hành
- Ranh giới phân định tài sản là điểm đấu nối. Tài sản của mỗi bên tại điểm đấu nối phải được liệt kê chi tiết kèm theo các bản vẽ, sơ đồ có liên quan trong Thỏa thuận đấu nối hoặc hợp đồng mua bán điện.
- Tài sản thuộc sở hữu của bên nào thì bên đó có trách nhiệm đầu tư, xây dựng, quản lý và vận hành theo các tiêu chuẩn và quy định của pháp luật, trừ trường hợp có thỏa thuận khác.
Điều 23. Trách nhiệm tuân thủ các yêu cầu về đấu nối và phối hợp thực hiện đấu nối
- Đơn vị truyền tải điện, Đơn vị phân phối điện và Khách hàng sử dụng lưới điện có trách nhiệm tuân thủ các yêu cầu về đấu nối thiết bị điện thuộc sở hữu của mình theo đúng quy định tại Thông tư này.
- Đơn vị truyền tải điện, Đơn vị phân phối điện có trách nhiệm phối hợp thực hiện phương án đấu nối khi khách hàng có hồ sơ đề nghị đấu nối hợp lệ. Việc đấu nối và điều chỉnh đấu nối phải đảm bảo đáp ứng các yêu cầu kỹ thuật đối với thiết bị đấu nối quy định tại Mục 2 Chương này.
- Trường hợp các thiết bị tại điểm đấu nối của Khách hàng sử dụng lưới điện không đáp ứng được các yêu cầu kỹ thuật và yêu cầu vận hành lưới điện, Đơn vị truyền tải điện, Đơn vị phân phối điện có trách nhiệm thông báo và phối hợp với khách hàng đưa ra biện pháp khắc phục. Khách hàng sử dụng lưới điện phải chịu mọi chi phí thực hiện các biện pháp khắc phục.
- Đơn vị truyền tải điện, Đơn vị phân phối điện có trách nhiệm ban hành quy trình nội bộ thực hiện các nội dung công tác của đơn vị, phối hợp với khách hàng để nhằm rút ngắn thời gian thực hiện thỏa thuận đấu nối, thực hiện đấu nối cho khách hàng.
Điều 24. Các yêu cầu chung
- Đơn vị truyền tải điện, Đơn vị phân phối điện có trách nhiệm thực hiện đầu tư phát triển lưới điện truyền tải, lưới điện phân phối theo quy hoạch phát triển điện lực, kế hoạch thực hiện quy hoạch đã được phê duyệt, đảm bảo trang thiết bị lưới điện đáp ứng các yêu cầu trong vận hành hệ thống điện theo quy định tại Chương IIThông tư này và yêu cầu kỹ thuật tại điểm đấu nối quy định tại Chương này.
- Việc đấu nối trang thiết bị điện, lưới điện và nhà máy điện của Khách hàng sử dụng lưới điện truyền tải, lưới điện phân phối vào lưới điện phải phù hợp với quy hoạch phát triển điện lực, kế hoạch thực hiện quy hoạch đã được phê duyệt, đảm bảo trang thiết bị lưới điện đáp ứng các yêu cầu trong vận hành hệ thống điện theo quy định tại Chương IIThông tư này và yêu cầu kỹ thuật chung và cụ thể tại điểm đấu nối quy định tại Chương này.
- Trường hợp phương án đấu nối đề nghị của khách hàng không phù hợp với quy hoạch phát triển điện lực, kế hoạch thực hiện quy hoạch đã được phê duyệt, Đơn vị truyền tải điện, Đơn vị phân phối điện có trách nhiệm thông báo cho khách hàng có nhu cầu đấu nối biết để thực hiện điều chỉnh, bổ sung quy hoạch theo quy định.
- Trường hợp phương án đấu nối thiết bị mới của Đơn vị truyền tải điện, Đơn vị phân phối điện không phù hợp với quy hoạch phát triển điện lực, kế hoạch thực hiện quy hoạch đã được phê duyệt, Đơn vị truyền tải điện, Đơn vị phân phối điện có trách nhiệm báo cáo cấp có thẩm quyền để thực hiện điều chỉnh, bổ sung quy hoạch, kế hoạch theo quy định.
- Đơn vị truyền tải điện, Đơn vị phân phối điện và khách hàng có đề nghị đấu nối phải có Thỏa thuận đấu nối theo mẫu quy định tại Thông tư này, bao gồm những nội dung chính sau:
a) Vị trí điểm đấu nối;
b) Các nội dung kỹ thuật liên quan đến điểm đấu nối;
c) Tiến độ thời gian hoàn thành đấu nối;
d) Trách nhiệm đầu tư, quản lý vận hành;
đ) Các nội dung thương mại của Thỏa thuận đấu nối.
6. Đơn vị truyền tải điện, Đơn vị phân phối điện có quyền từ chối đề nghị đấu nối trong các trường hợp sau:
a) Trang thiết bị, lưới điện của khách hàng có đề nghị đấu nối không đáp ứng các yêu cầu vận hành và yêu cầu kỹ thuật quy định tại Thông tư này và các quy chuẩn kỹ thuật ngành có liên quan;
b) Đề nghị đấu nối không đúng với quy hoạch phát triển điện lực, kế hoạch thực hiện quy hoạch đã được phê duyệt.
7. Đơn vị truyền tải điện, Đơn vị phân phối điện có quyền tách đấu nối của Khách hàng sử dụng lưới điện ra khỏi lưới điện trong trường hợp khách hàng vi phạm các yêu cầu kỹ thuật và yêu cầu vận hành theo quy định tại Thông tư này hoặc các vi phạm quy định về an toàn, vận hành trên tài sản của Khách hàng sử dụng lưới điện có thể gây ảnh hưởng đến an toàn vận hành lưới điện.
8. Trường hợp Khách hàng sử dụng lưới điện có nhu cầu thay đổi, nâng cấp thiết bị hoặc thay đổi sơ đồ kết lưới trong phạm vi quản lý của mình có thể gây ảnh hưởng đến vận hành an toàn hệ thống điện hoặc các thiết bị điện của Đơn vị truyền tải điện, Đơn vị phân phối điện tại điểm đấu nối, Khách hàng sử dụng lưới điện phải thông báo bằng văn bản và phải được Đơn vị truyền tải điện, Đơn vị phân phối điện và Cấp điều độ có quyền điều khiển thống nhất kế hoạch trước khi thực hiện.
9. Những thay đổi liên quan đến điểm đấu nối trong quá trình đầu tư, vận hành phải được cập nhật trong hồ sơ về điểm đấu nối và Thoả thuận đấu nối đã ký.
10. Khách hàng sử dụng lưới điện có trách nhiệm lưu trữ các số liệu về chế độ làm việc, công tác vận hành, duy tu, bảo dưỡng và các sự cố trên các phần tử thuộc phạm vi quản lý của mình trong thời hạn 05 năm. Khi Đơn vị truyền tải điện, Đơn vị phân phối điện yêu cầu, Khách hàng sử dụng lưới điện có trách nhiệm cung cấp đầy đủ các thông tin cần thiết liên quan đến sự cố xảy ra trên các phần tử thuộc phạm vi quản lý của mình.
11. Đối với các đấu nối phục vụ mua bán, trao đổi điện với nước ngoài hoặc đấu nối giữa nhà máy điện nằm ngoài lãnh thổ Việt Nam với hệ thống điện quốc gia, các yêu cầu kỹ thuật, yêu cầu vận hành đối với thiết bị đấu nối vào lưới điện được thực hiện theo thứ tự ưu tiên như sau:
a) Thực hiện theo các quy định, điều ước và cam kết quốc tế mà Việt Nam tham gia;
b) Thỏa thuận thống nhất cụ thể giữa các bên liên quan để đáp ứng tối đa các yêu cầu, quy định kỹ thuật về hệ thống điện của mỗi nước và đảm bảo vận hành lưới điện liên kết, lưới điện đấu nối được an toàn, tin cậy và ổn định.
Mục 2
YÊU CẦU KỸ THUẬT CHUNG ĐỐI VỚI THIẾT BỊ ĐẤU NỐI VÀO LƯỚI ĐIỆN
Điều 25. Yêu cầu đối với thiết bị điện đấu nối
- Sơ đồ đấu nối điện chính phải thể hiện đầy đủ các thiết bị điện từ cấp điện áp trung áp đến siêu cao áp sau điểm đấu nối và thể hiện được liên kết giữa lưới điện của Khách hàng sử dụng lưới điện truyền tải với lưới điện truyền tải, giữa lưới điện của Khách hàng sử dụng lưới điện phân phối với lưới điện phân phối. Các trang thiết bị điện phải được mô tả bằng các biểu tượng, ký hiệu tiêu chuẩn, thông tin về thông số kỹ thuật của thiết bị và được Cấp điều độ có quyền điều khiển đánh số thiết bị theo quy định tại Quy định điều độ, vận hành, thao tác, xử lý sự cố, khởi động đen và khôi phục hệ thống điện quốc gia do Bộ trưởng Bộ Công Thương ban hành.
- Máy cắt có liên hệ trực tiếp với điểm đấu nối và các hệ thống bảo vệ, điều khiển, đo lường đi kèm phải có đủ khả năng đóng cắt dòng điện ngắn mạch lớn nhất tại điểm đấu nối đáp ứng sơ đồ phát triển lưới điện và nguồn điện trong quy hoạch phát triển điện lực, kế hoạch thực hiện quy hoạch đã được phê duyệt cho giai đoạn ít nhất 10 năm tiếp theo.
- Các thiết bị trực tiếp đấu nối vào lưới điện phải có đủ khả năng chịu đựng dòng điện ngắn mạch lớn nhất có thể xảy ra tại điểm đấu nối theo tính toán và thông báo của Đơn vị truyền tải điện, Đơn vị phân phối điện đáp ứng sơ đồ phát triển lưới điện và nguồn điện trong quy hoạch phát triển điện lực, kế hoạch thực hiện quy hoạch đã được phê duyệt cho giai đoạn ít nhất 10 năm tiếp theo. Trong trường hợp dòng ngắn mạch tăng lên vượt quá khả năng chịu đựng của thiết bị ở thời điểm sau 10 năm từ khi đưa vào vận hành điểm đấu nối thì chủ đầu tư thiết bị đấu nối chịu trách nhiệm nâng cấp, thay thế thiết bị đấu nối hoặc thực hiện giải pháp hạn chế dòng ngắn mạch để đảm bảo đáp ứng khả năng chịu đựng của thiết bị.
- Máy cắt thực hiện thao tác tại điểm đấu nối với lưới điện phải được trang bị thiết bị kiểm tra hoà đồng bộ nếu hai phía máy cắt đều có nguồn điện và được trang bị dao cách ly kèm theo các phương tiện khoá liên động để đảm bảo an toàn trong quá trình vận hành và khi bảo dưỡng, sửa chữa thiết bị.
Điều 26. Yêu cầu đối với hệ thống rơ le bảo vệ của hệ thống truyền tải điện
-
Đơn vị truyền tải điện và Khách hàng sử dụng lưới điện truyền tải có trách nhiệm thiết kế, lắp đặt, chỉnh định và thử nghiệm hệ thống rơ le bảo vệ trong phạm vi quản lý đảm bảo đáp ứng các yêu cầu về tác động nhanh, độ nhạy, tính chọn lọc và tin cậy khi loại trừ sự cố, đảm bảo vận hành hệ thống điện an toàn, tin cậy. Mỗi phần tử hệ thống điện (máy phát, máy biến áp, đường dây, thanh cái, thiết bị bù…) phải có hệ thống bảo vệ riêng và độc lập với hệ thống bảo vệ của các phần tử hệ thống điện khác. Hệ thống bảo vệ phải được cấp nguồn từ 02 nguồn điện một chiều độc lập đảm bảo khi sự cố một trong hai nguồn một chiều thì hệ thống rơ le bảo vệ vẫn làm việc bình thường.
-
Việc phối hợp trang bị, lắp đặt các thiết bị rơ le bảo vệ tại điểm đấu nối phải được thỏa thuận giữa Cấp điều độ có quyền điều khiển, Đơn vị truyền tải điện và Khách hàng sử dụng lưới điện truyền tải. Đơn vị truyền tải điện hoặc Khách hàng sử dụng lưới điện truyền tải không tự ý thay đổi thiết bị bảo vệ và các giá trị cài đặt của thiết bị rơ le bảo vệ khi chưa được sự đồng ý của Cấp điều độ có quyền điều khiển.
-
Cấp điều độ có quyền điều khiển có trách nhiệm ban hành phiếu chỉnh định rơ le thuộc phạm vi lưới điện truyền tải của Đơn vị truyền tải điện và thông qua các trị số chỉnh định liên quan đến lưới điện truyền tải đối với các thiết bị rơ le bảo vệ của Khách hàng sử dụng lưới điện truyền tải.
-
Thời gian tối đa loại trừ sự cố trên các phần tử trong hệ thống điện của Khách hàng sử dụng lưới điện truyền tải bằng các bảo vệ chính không vượt quá các giá trị quy định tại Điều 12Thông tư này.
-
Trường hợp thiết bị bảo vệ của Khách hàng sử dụng lưới điện truyền tải được yêu cầu kết nối với thiết bị bảo vệ của Đơn vị truyền tải điện thì các thiết bị này phải đáp ứng các yêu cầu của Đơn vị truyền tải điện về kết nối và được sự chấp thuận của Cấp điều độ có quyền điều khiển.
-
Trường hợp lưới điện của Khách hàng sử dụng lưới điện truyền tải bị sự cố, thiết bị rơ le bảo vệ trong lưới điện của Khách hàng sử dụng lưới điện truyền tải có thể được phép gửi lệnh đi cắt các máy cắt trên lưới điện truyền tải nhưng phải được sự chấp thuận của Đơn vị truyền tải điện và Cấp điều độ có quyền điều khiển đối với các máy cắt này và phải được ghi trong Thỏa thuận đấu nối.
-
Độ tin cậy tác động của hệ thống rơ le bảo vệ không nhỏ hơn 99 %.
-
Ngoài các yêu cầu quy định từ khoản 1 đến khoản 7 Điều này, hệ thống rơ le bảo vệ của Khách hàng sử dụng lưới điện truyền tải và Đơn vị truyền tải điện phải đáp ứng thêm các yêu cầu sau:
a) Nhà máy điện phải được trang bị hệ thống hoà đồng bộ chính xác;
Nhà máy điện phải được trang bị hệ thống giám sát ghi sự cố có chức năng đồng bộ thời gian GPS (Global Positioning System);
b) Nhà máy điện có tổng công suất đặt từ 300 MW trở lên, phải được trang bị thiết bị có chức năng đo góc pha (PMU - Phasor Measurement Unit) và đồng bộ thời gian GPS (Global Positioning System). Nhà máy điện có tổng công suất đặt dưới 300 MW, việc trang bị PMU phải theo tính toán và yêu cầu của Cấp điều độ có quyền điều khiển;
c) Đơn vị truyền tải điện và Khách hàng sử dụng lưới điện truyền tải không phải Đơn vị phát điện có trách nhiệm trang bị, lắp đặt thiết bị ghi sự cố, thiết bị đo góc pha theo tính toán và yêu cầu của Cấp điều độ có quyền điều khiển, đảm bảo kết nối tương thích, tin cậy, ổn định với hệ thống ghi sự cố và đo góc pha đặt tại Đơn vị điều độ hệ thống điện quốc gia. Cấp điều độ có quyền điều khiển có trách nhiệm cung cấp thông số kỹ thuật thiết bị ghi sự cố, đo góc pha đảm bảo kết nối tương thích, vận hành tin cậy, ổn định với hệ thống tại cấp điều độ có quyền điều khiển và tích hợp thiết bị ghi sự cố, thiết bị đo góc pha của Đơn vị truyền tải điện và Khách hàng sử dụng lưới điện truyền tải với hệ thống đặt tại Cấp điều độ có quyền điều khiển;
đ) Trong quá trình vận hành, khi có nhu cầu nâng cấp, thay thế thiết bị ghi sự cố, thiết bị đo góc pha, Đơn vị truyền tải điện và Khách hàng sử dụng lưới điện truyền tải có trách nhiệm thông báo và thỏa thuận với Cấp điều độ có quyền điều khiển trước khi thực hiện;
e) Đường dây truyền tải điện cấp điện áp từ 220 kV trở lên đấu nối tổ máy phát điện hoặc sân phân phối của nhà máy điện phải có 02 kênh truyền thông tin liên lạc độc lập phục vụ cho việc truyền tín hiệu rơ le bảo vệ giữa hai đầu đường dây với thời gian truyền không lớn hơn 20 ms;
g) Đơn vị truyền tải điện và Khách hàng sử dụng lưới điện truyền tải có trách nhiệm đầu tư, lắp đặt rơ le tần số thấp, rơ le điện áp thấp trong phạm vi quản lý phục vụ tự động cắt tải sự cố theo tính toán và yêu cầu của Cấp điều độ có quyền điều khiển.
- Cấp điều độ có quyền điều khiển hệ thống điện quốc gia, Cấp điều độ có quyền điều khiển hệ thống phân phối điện có trách nhiệm tổ chức xây dựng và ban hành phạm vi, cách bố trí và yêu cầu kỹ thuật đối với các thiết bị rơ le bảo vệ cho tổ máy phát điện, máy biến áp, thanh cái và đường dây đấu nối vào lưới điện truyền tải, báo cáo Bộ Công Thương trước khi áp dụng.
Điều 27. Yêu cầu đối với hệ thống rơ le bảo vệ của hệ thống phân phối điện
-
Đơn vị phân phối điện và Khách hàng sử dụng lưới điện phân phối có trạm điện riêng có trách nhiệm thiết kế, lắp đặt, chỉnh định, thử nghiệm và vận hành hệ thống bảo vệ trên lưới điện trong phạm vi quản lý để đáp ứng các tiêu chuẩn và yêu cầu về thời gian tác động, độ nhạy và tính chọn lọc khi loại trừ sự cố, đảm bảo vận hành hệ thống phân phối điện an toàn, tin cậy.
-
Đơn vị phân phối điện và Khách hàng sử dụng lưới điện phân phối có trạm điện riêng phải thống nhất các yêu cầu về hệ thống bảo vệ trong Thỏa thuận đấu nối. Việc phối hợp trang bị, lắp đặt các thiết bị bảo vệ rơ le tại điểm đấu nối phải được thỏa thuận giữa Đơn vị phân phối điện, Khách hàng sử dụng lưới điện phân phối và Cấp điều độ có quyền điều khiển trong quá trình thỏa thuận đấu nối. Đơn vị phân phối điện hoặc Khách hàng sử dụng lưới điện phân phối không tự ý thay đổi thiết bị bảo vệ và các giá trị cài đặt của thiết bị rơ le bảo vệ khi chưa được sự đồng ý của Cấp điều độ có quyền điều khiển.
-
Đơn vị phân phối điện phải cung cấp cho Khách hàng sử dụng lưới điện phân phối có trạm điện riêng các thông số của hệ thống rơ le bảo vệ trên lưới điện phân phối liên quan trực tiếp đến hệ thống bảo vệ của khách hàng tại điểm đấu nối trong quá trình thỏa thuận đấu nối. Cấp điều độ có quyền điều khiển có trách nhiệm tính toán, kiểm tra và ban hành phiếu chỉnh định rơ le bảo vệ hoặc thông qua các trị số chỉnh định trên lưới điện phân phối thuộc quyền điều khiển theo Quy định điều độ, vận hành, thao tác, xử lý sự cố, khởi động đen và khôi phục hệ thống điện quốc gia do Bộ trưởng Bộ Công Thương ban hành.
-
Khách hàng sử dụng lưới điện phân phối có trạm điện riêng không được tự ý lắp đặt thiết bị để hạn chế dòng điện ngắn mạch tại thanh cái đấu nối với lưới điện phân phối, trừ trường hợp có thỏa thuận với Đơn vị phân phối điện và Cấp điều độ có quyền điều khiển.
-
Thời gian tối đa loại trừ sự cố trên các phần tử trong hệ thống điện của Khách hàng sử dụng lưới điện phân phối bằng các bảo vệ chính không vượt quá các giá trị quy định tại Điều 12 Thông tư này
-
Trường hợp thiết bị bảo vệ của Khách hàng sử dụng lưới điện phân phối được yêu cầu kết nối với thiết bị bảo vệ của Đơn vị phân phối điện thì các thiết bị này phải đáp ứng các yêu cầu của Đơn vị phân phối điện về kết nối và được sự chấp thuận của Cấp điều độ có quyền điều khiển.
-
Ngoài các yêu cầu được quy định tại các khoản 1, 2, 3, 4, 5 và 6 Điều này, hệ thống bảo vệ của nhà máy điện và Khách hàng sử dụng lưới điện phân phối có trạm điện riêng đấu nối vào cấp điện áp 110 kV phải đáp ứng các yêu cầu sau:
a) Các đường dây điện cấp điện áp 110 kV đấu nối nhà máy điện vào hệ thống điện quốc gia phải có 02 (hai) kênh thông tin liên lạc phục vụ cho việc truyền tín hiệu rơ le bảo vệ giữa hai đầu đường dây với thời gian truyền không lớn hơn 20 ms;
b) Khách hàng sử dụng lưới điện phân phối có trạm điện riêng đấu nối vào cấp điện áp 110 kV có trách nhiệm đầu tư, lắp đặt rơ le tần số thấp phục vụ tự động cắt tải sự cố theo tính toán của Cấp điều độ có quyền điều khiển.
Điều 28. Yêu cầu đối với hệ thống thông tin của hệ thống truyền tải điện
-
Khách hàng sử dụng lưới điện truyền tải có trách nhiệm đầu tư, lắp đặt, quản lý vận hành hệ thống thông tin trong phạm vi quản lý của mình và đảm bảo kết nối hệ thống này với hệ thống thông tin của Đơn vị truyền tải điện và Cấp điều độ có quyền điều khiển; đảm bảo thông tin liên lạc, truyền dữ liệu (bao gồm cả dữ liệu của hệ thống SCADA, PMU, giám sát ghi sự cố) đầy đủ, tin cậy và liên tục phục vụ vận hành hệ thống điện và thị trường điện. Các phương tiện thông tin liên lạc tối thiểu phục vụ công tác điều độ, vận hành trong hệ thống truyền tải điện gồm kênh trực thông, điện thoại, DIM và mạng máy tính.
-
Hệ thống thông tin của Khách hàng sử dụng lưới điện truyền tải phải tương thích với hệ thống thông tin của Đơn vị truyền tải điện và Cấp điều độ có quyền điều khiển.
Khách hàng có thể thoả thuận sử dụng hệ thống thông tin của Đơn vị truyền tải điện hoặc của các nhà cung cấp khác để kết nối với hệ thống thông tin của Cấp điều độ có quyền điều khiển để đảm bảo thông tin liên tục và tin cậy phục vụ vận hành hệ thống điện và thị trường điện.
-
Đơn vị truyền tải điện có trách nhiệm đầu tư, quản lý hệ thống thông tin trong phạm vi quản lý lưới điện truyền tải để phục vụ việc quản lý, vận hành hệ thống điện và thị trường điện; phối hợp với Cấp điều độ có quyền điều khiển để thiết lập đường truyền thông tin về Cấp điều độ có quyền điều khiển.
-
Cấp điều độ có quyền điều khiển có trách nhiệm cung cấp cho Đơn vị truyền tải điện và Khách hàng sử dụng lưới điện truyền tải các yêu cầu về dữ liệu thông tin, truyền dữ liệu và giao diện thông tin cần thiết phục vụ vận hành hệ thống điện và thị trường điện.
-
Cấp điều độ có quyền điều khiển và Đơn vị truyền tải điện có trách nhiệm phối hợp với Khách hàng sử dụng lưới điện truyền tải trong việc thử nghiệm, kiểm tra và kết nối hệ thống thông tin, dữ liệu của khách hàng vào hệ thống thông tin, dữ liệu hiện có do đơn vị quản lý.
-
Các yêu cầu về hệ thống thông tin không thuộc trường hợp quy định tại khoản 1 Điều này được các đơn vị thỏa thuận thống nhất và phải ghi rõ trong Thoả thuận đấu nối.
-
Đơn vị truyền tải điện và Khách hàng sử dụng lưới điện có trách nhiệm đầu tư, quản lý, vận hành hệ thống thông tin trong phạm vi quản lý của mình để đảm bảo thông tin liên tục, tin cậy về Cấp điều độ có quyền điều khiển để phục vụ vận hành hệ thống truyền tải điện.
-
Cấp điều độ có quyền điều khiển và Đơn vị truyền tải điện có trách nhiệm phối hợp cung cấp cho Khách hàng sử dụng lưới điện các yêu cầu về dữ liệu thông tin, giao diện thông tin cần thiết và phối hợp với khách hàng trong việc thử nghiệm, kiểm tra và kết nối hệ thống thông tin, dữ liệu của khách hàng với hệ thống thông tin, dữ liệu hiện có trong phạm vi quản lý phục vụ vận hành hệ thống truyền tải điện.
Điều 29. Yêu cầu đối với hệ thống thông tin của hệ thống phân phối điện
-
Nhà máy điện đấu nối vào lưới điện phân phối có công suất từ 10 MW trở lên hoặc trạm điện 110 kV phải được trang bị hệ thống thông tin và kết nối hệ thống này tương thích với hệ thống thông tin của Cấp điều độ có quyền điều khiển phục vụ thông tin liên lạc và truyền dữ liệu trong vận hành hệ thống điện. Các phương tiện thông tin liên lạc tối thiểu phục vụ công tác điều độ gồm kênh trực thông, điện thoại, DIM và mạng máy tính.
-
Các yêu cầu về hệ thống thông tin không thuộc trường hợp quy định tại khoản 1 Điều này được các đơn vị thỏa thuận thống nhất và phải ghi rõ trong Thoả thuận đấu nối.
-
Đơn vị phân phối điện và Khách hàng sử dụng lưới điện phân phối có trách nhiệm đầu tư, quản lý, vận hành hệ thống thông tin trong phạm vi quản lý của mình để đảm bảo thông tin liên tục, tin cậy về Cấp điều độ có quyền điều khiển để phục vụ vận hành hệ thống phân phối điện.
-
Cấp điều độ có quyền điều khiển và Đơn vị phân phối điện có trách nhiệm phối hợp cung cấp cho Khách hàng sử dụng lưới điện phân phối các yêu cầu về dữ liệu thông tin, truyền dữ liệu, giao diện thông tin cần thiết và phối hợp với khách hàng trong việc thử nghiệm, kiểm tra và kết nối hệ thống thông tin, dữ liệu của khách hàng với hệ thống thông tin, dữ liệu hiện có trong phạm vi quản lý phục vụ vận hành hệ thống phân phối điện.
Điều 30. Yêu cầu về kết nối hệ thống SCADA
- Trạm điện có cấp điện áp từ 110 kV trở lên, nhà máy điện có công suất lắp đặt từ 10MW trở lên (không phân biệt cấp điện áp đấu nối) và nhà máy điện đấu nối vào lưới điện chưa kết nối đến Trung tâm điều khiển phải được trang bị Gateway hoặc RTU và thiết lập hai kết nối độc lập về mặt vật lý với hệ thống SCADA của Cấp điều độ có quyền điều khiển.
- Trạm điện có cấp điện áp từ 110 kV trở lên, nhà máy điện có công suất lắp đặt từ 10MW trở lên (không phân biệt cấp điện áp đấu nối) và nhà máy điện đấu nối vào lưới điện đã kết nối đến Trung tâm điều khiển phải được trang bị Gateway hoặc RTU được thiết lập một kết nối với hệ thống SCADA của Cấp điều độ có quyền điều khiển và hai kết nối với hệ thống điều khiển tại Trung tâm điều khiển. Các trạm điện 110 kV được điều khiển và thao tác xa từ Trung tâm điều khiển phải được trang bị Gateway hoặc RTU thiết lập hai kết nối với hệ thống điều khiển tại Trung tâm điều khiển và từ Trung tâm điều khiển sẽ chia sẻ thông tin đến Cấp điều độ có quyền điều khiển.
- Nhà máy điện có công suất lắp đặt nhỏ hơn 10MW đấu nối vào lưới điện phân phối, Đơn vị phân phối điện có trách nhiệm phối hợp với Cấp điều độ có quyền điều khiển và chủ đầu tư nhà máy điện để thống nhất yêu cầu về kết nối hệ thống SCADA. Trường hợp các bên có thỏa thuận kết nối tín hiệu SCADA từ nhà máy điện về Cấp điều độ có quyền điều khiển, phải tuân thủ đầy đủ các nội dung yêu cầu kỹ thuật chi tiết về quản lý vận hành hệ thống SCADA do Cấp điều độ có quyền điều khiển quy định.
- Các yêu cầu về kết nối với hệ thống SCADA của Cấp điều độ có quyền điều khiển không thuộc trường hợp quy định tại khoản 1, khoản 2 và khoản 3 Điều này phải được các đơn vị thỏa thuận thống nhất và ghi rõ trong Thoả thuận đấu nối. Trong trường hợp này, Đơn vị truyền tải điện hoặc Đơn vị phân phối điện có trách nhiệm phối hợp với Cấp điều độ có quyền điều khiển để thống nhất yêu cầu về kết nối hệ thống SCADA trong Thỏa thuận đấu nối.
- Trường hợp nhà máy điện, trạm điện có nhiều cấp điều độ có quyền điều khiển, các cấp điều độ có trách nhiệm thỏa thuận, chia sẻ thông tin phục vụ phối hợp vận hành hệ thống điện.
- Chủ sở hữu nhà máy điện, trạm điện có trách nhiệm đầu tư, lắp đặt, quản lý, vận hành thiết bị đầu cuối RTU/Gateway trong phạm vi quản lý, đường truyền dữ liệu hoặc thuê đường truyền dữ liệu của đơn vị cung cấp dịch vụ để đảm bảo kết nối, truyền dữ liệu liên tục, đầy đủ, tin cậy về hệ thống SCADA của Cấp điều độ có quyền điều khiển và hệ thống điều khiển của Trung tâm điều khiển (nếu có).
- Thiết bị đầu cuối RTU/Gateway của Đơn vị truyền tải điện, Đơn vị phân phối điện và Khách hàng sử dụng lưới điện phải có đặc tính kỹ thuật tương thích và đảm bảo kết nối được với hệ thống SCADA của Cấp điều độ có quyền điều khiển và hệ thống điều khiển của Trung tâm điều khiển (nếu có).
- Cấp điều độ có quyền điều khiển có trách nhiệm tích hợp các dữ liệu theo danh sách dữ liệu đã thoả thuận với Đơn vị truyền tải điện, Đơn vị phân phối điện và Khách hàng sử dụng lưới điện vào hệ thống SCADA của mình. Đơn vị truyền tải điện, Đơn vị phân phối điện, Khách hàng sử dụng lưới điện có trách nhiệm phối hợp với Cấp điều độ có quyền điều khiển để cấu hình, thiết lập cơ sở dữ liệu trên hệ thống của mình đảm bảo sự tương thích với hệ thống SCADA của Cấp điều độ có quyền điều khiển và hệ thống điều khiển của Trung tâm điều khiển (nếu có).
- Cấp điều độ có quyền điều khiển, Đơn vị truyền tải điện, Đơn vị phân phối điện và Khách hàng sử dụng lưới điện có trách nhiệm phối hợp thực hiện các hiệu chỉnh cần thiết để các thiết bị trên lưới điện tương thích với các thay đổi của hệ thống SCADA trong trường hợp hệ thống SCADA của Cấp điều độ có quyền điều khiển có sự thay đổi về công nghệ và được cơ quan có thẩm quyền phê duyệt sau thời điểm ký Thoả thuận đấu nối dẫn đến phải thay đổi hoặc nâng cấp hệ thống điều khiển, thiết bị đầu cuối RTU/Gateway của Đơn vị truyền tải điện, Đơn vị phân phối điện và Khách hàng sử dụng lưới điện. Đơn vị truyền tải điện, Đơn vị phân phối điện và Khách hàng sử dụng lưới điện có trách nhiệm đầu tư, nâng cấp hệ thống điều khiển, thiết bị đầu cuối RTU/Gateway để đảm bảo kết nối tương thích với hệ thống SCADA của Cấp điều độ có quyền điều khiển.
- Trong quá trình vận hành, khi có nhu cầu nâng cấp, mở rộng, thay thế hệ thống điều khiển, thiết bị đầu cuối RTU/Gateway, Đơn vị truyền tải điện, Đơn vị phân phối điện và Khách hàng sử dụng lưới điện có trách nhiệm thỏa thuận với Cấp điều độ có quyền điều khiển trước khi thực hiện nâng cấp, mở rộng, thay thế.
- Đơn vị điều độ hệ thống điện quốc gia có trách nhiệm tổ chức xây dựng và thống nhất với các cấp điều độ để ban hành các trình tự thực hiện thỏa thuận, yêu cầu kỹ thuật chi tiết về quản lý vận hành hệ thống SCADA, báo cáo Bộ Công Thương trước khi áp dụng.
Điều 31. Yêu cầu Hệ số công suất
- Trong chế độ vận hành bình thường, Đơn vị phân phối điện và Khách hàng sử dụng điện nhận điện trực tiếp từ lưới điện truyền tải phải duy trì hệ số công suất (cosj) tại vị trí đo đếm chính không nhỏ hơn 0,9 trong trường hợp nhận công suất phản kháng và không nhỏ hơn 0,98 trong trường hợp phát công suất phản kháng.
- Khách hàng sử dụng lưới điện truyền tải phải cung cấp cho Đơn vị truyền tải điện và Cấp điều độ có quyền điều khiển các thông số về các thiết bị bù công suất phản kháng trong lưới điện của mình (nếu có), bao gồm:
a) Công suất phản kháng định mức và dải điều chỉnh;
b) Nguyên tắc điều chỉnh công suất phản kháng.
3. Khách hàng sử dụng điện để sản xuất, kinh doanh, dịch vụ có trạm điện riêng hoặc không có trạm điện riêng nhưng có công suất sử dụng cực đại từ 40 kW trở lên có trách nhiệm duy trì hệ số công suất (cosj) tại điểm đặt thiết bị đo đếm điện năng theo hợp đồng mua bán điện không nhỏ hơn 0,9.
Điều 32. Độ dao động phụ tải điện
Tốc độ thay đổi công suất tiêu thụ của Khách hàng sử dụng điện nhận điện trực tiếp từ lưới điện truyền tải hoặc của Khách hàng sử dụng lưới điện phân phối có trạm riêng trong 01 phút không được vượt quá 10 % công suất tiêu thụ khi đang vận hành ở chế độ bình thường, trừ trường hợp Khách hàng sử dụng điện có thể điều chỉnh nhu cầu sử dụng điện theo yêu cầu hoặc có thỏa thuận khác với Đơn vị điều độ hệ thống điện quốc gia.
Điều 33. Hệ thống tự động cắt tải sự cố
-
Đơn vị truyền tải điện, Đơn vị phân phối điện và Khách hàng sử dụng lưới điện có trách nhiệm phối hợp với các đơn vị liên quan để thống nhất lắp đặt thiết bị và đảm bảo hoạt động của hệ thống cắt tải sự cố tự động trong hệ thống điện của mình theo tính toán và yêu cầu của Cấp điều độ có quyền điều khiển.
-
Hệ thống cắt tải sự cố tự động phải được thiết kế, chỉnh định đảm bảo các yêu cầu sau:
a) Độ tin cậy không nhỏ hơn 99%;
b) Việc sa thải không thành công của một phụ tải nào đó không làm ảnh hưởng đến hoạt động của toàn bộ hệ thống điện;
c) Trình tự sa thải và lượng công suất sa thải phải tuân thủ mức phân bổ của Cấp điều độ có quyền điều khiển, không được thay đổi trong bất kỳ trường hợp nào nếu không có sự cho phép của Cấp điều độ có quyền điều khiển.
- Trình tự khôi phục phụ tải điện phải tuân thủ theo lệnh điều độ của Cấp điều độ có quyền điều khiển.
Điều 34. Yêu cầu đối với Trung tâm điều khiển
- Yêu cầu kỹ thuật chung
a) Hệ thống giám sát, điều khiển và hệ thống thông tin lắp đặt tại Trung tâm điều khiển phải được trang bị thiết bị để đảm bảo vận hành an toàn, tin cậy các nhà máy điện, trạm điện do Trung tâm điều khiển thực hiện;
b) Hệ thống giám sát, điều khiển của Trung tâm điều khiển phải có đặc tính kỹ thuật tương thích và đảm bảo kết nối, truyền dữ liệu của các nhà máy điện, trạm điện và thiết bị đóng cắt trên lưới điện ổn định, tin cậy và liên tục về hệ thống SCADA của Cấp điều độ có quyền điều khiển;
c) Trung tâm điều khiển phải có nguồn điện dự phòng để đảm bảo vận hành bình thường trong trường hợp mất nguồn điện từ hệ thống điện quốc gia.
d) Tổng công suất định mức của các nhà máy điện năng lượng tái tạo (gió, mặt trời) thuộc Trung tâm điều khiển không vượt quá công suất định mức của tổ máy phát điện lớn nhất đang đấu nối trong hệ thống điện Quốc gia do Đơn vị điều độ hệ thống điện quốc gia xác định.
đ) Trung tâm điều khiển phải ban hành quy trình xử lý sự cố mất kết nối hệ thống thông tin, tín hiệu điều khiển, hệ thống SCADA và gửi lấy ý kiến cấp điều độ điều khiển trước khi phê duyệt.
- Yêu cầu kết nối của Trung tâm điều khiển
a) Yêu cầu về kết nối hệ thống thông tin
-
-
Có một đường truyền dữ liệu kết nối với hệ thống thông tin của Cấp điều độ có quyền điều khiển. Trường hợp có nhiều cấp điều độ có quyền điều khiển, các cấp điều độ có trách nhiệm thống nhất phương thức chia sẻ thông tin;
-
Có hai đường truyền dữ liệu (một đường truyền làm việc, một đường truyền dự phòng nóng) kết nối với hệ thống điều khiển và thông tin của nhà máy điện, trạm điện do Trung tâm điều khiển thực hiện điều khiển từ xa;
-
Các phương tiện thông tin liên lạc tối thiểu phục vụ công tác điều độ giữa Các cấp điều độ có quyền điều khiển với Trung tâm điều khiển gồm trực thông, điện thoại, DIM, mạng máy tính. Thông tin liên lạc tối thiểu giữa Trung tâm điều khiển với các nhà máy điện, trạm điện gồm trực thông, điện thoại và mạng máy tính.
-
b) Yêu cầu về kết nối hệ thống SCADA
-
-
Có một kết nối với hệ thống SCADA của Cấp điều độ có quyền điều khiển. Trường hợp có nhiều cấp điều độ có quyền điều khiển, Trung tâm điều khiển sẽ kết nối trực tiếp về cấp điều độ có quyền điều khiển cao nhất, các cấp điều độ có trách nhiệm chia sẻ thông tin;
-
Có hai kết nối với thiết bị đầu cuối RTU hoặc Gateway, hệ thống điều khiển của nhà máy điện, trạm điện và thiết bị đóng cắt trên lưới điện do Trung tâm điều khiển thực hiện điều khiển từ xa.
-
c) Trung tâm điều khiển phải trang bị màn hình giám sát và kết nối với hệ thống camera giám sát an ninh tại nhà máy điện, trạm điện.
- Nhà máy điện và trạm điện do Trung tâm điều khiển thực hiện điều khiển xa phải được trang bị hệ thống giám sát, điều khiển, camera và thông tin viễn thông để truyền, kết nối dữ liệu ổn định, tin cậy và liên tục với Trung tâm điều khiển đáp ứng các yêu cầu tại khoản 1 và khoản 2 Điều này.
Mục 3
YÊU CẦU KỸ THUẬT ĐẤU NỐI ĐỐI VỚI NHÀ MÁY THỦY ĐIỆN VÀ NHIỆT ĐIỆN
Điều 35. Yêu cầu khả năng huy động, điều khiển công suất tổ máy phát điện đấu nối vào lưới điện truyền tải hoặc tổ máy phát điện của nhà máy điện có công suất lắp đặt trên 30 MW đấu nối vào lưới điện phân phối
- Nhà máy điện có công suất lắp đặt trên 30 MW phải đầu tư các trang thiết bị, hệ thống điều khiển, hệ thống AGC đảm bảo kết nối ổn định, tin cậy và bảo mật với hệ thống điều khiển công suất tổ máy của Đơn vị điều độ hệ thống điện quốc gia phục vụ điều khiển từ xa công suất tổ máy theo lệnh điều độ của Đơn vị điều độ hệ thống điện quốc gia. Đối với các nhà máy điện thuộc khu công nghiệp chỉ bán một phần sản lượng điện lên hệ thống điện quốc gia và các nhà máy điện đồng phát nhiệt – điện mà việc thay đổi công suất tổ máy phụ thuộc vào dây chuyền sản xuất công nghiệp khác thuộc nội bộ nhà máy thì sự cần thiết của việc trang bị hệ thống AGC được các bên thỏa thuận và ghi rõ trong các Thỏa thuận kỹ thuật chuyên ngành với Cấp điều độ có quyền điều khiển.
- Tổ máy phát điện của nhà máy điện phải có khả năng phát công suất tác dụng định mức trong dải hệ số công suất từ 0,85 (ứng với chế độ phát công suất phản kháng) đến 0,9 (ứng với chế độ nhận công suất phản kháng) tại đầu cực của máy phát điện.
- Tổ máy phát điện của nhà máy điện (ngoại trừ các tổ máy đuôi hơi của nhà máy điện chu trình hỗn hợp) phải có khả năng tham gia vào việc điều khiển tần số sơ cấp khi tần số lệch ra khỏi dải chết của hệ thống điều tốc và đáp ứng ít nhất 50% công suất điều khiển tần số sơ cấp của tổ máy trong 15 giây đầu tiên, 100% công suất điều khiển tần số sơ cấp của tổ máy trong 30 giây và duy trì công suất này tối thiểu 15 giây tiếp theo. Công suất điều khiển tần số sơ cấp của tổ máy được tính toán theo độ lệch tần số thực tế, lượng công suất khả dụng còn lại của tổ máy, giới hạn khả năng đáp ứng sơ cấp theo công nghệ của tổ máy và các thông số cài đặt do Đơn vị điều độ hệ thống điện quốc gia yêu cầu. Giới hạn khả năng đáp ứng sơ cấp theo công nghệ của tổ máy do Đơn vị phát điện cung cấp, dựa trên các tài liệu, xác nhận từ nhà sản xuất, nhưng không được thấp hơn 3% công suất định mức của tổ máy.
- Trong chế độ vận hành bình thường, sự thay đổi điện áp tại điểm đấu nối với lưới điện truyền tải trong phạm vi cho phép theo quy định tại Điều 6Thông tư này không được ảnh hưởng đến lượng công suất tác dụng đang phát và khả năng phát toàn bộ công suất phản kháng của tổ máy phát điện.
- Tổ máy phát điện của nhà máy điện phải có khả năng liên tục phát công suất tác dụng định mức trong dải tần số từ 49 Hz đến 51 Hz. Trong dải tần số từ 46 Hz đến dưới 49 Hz và trên 51 Hz, mức giảm công suất không được vượt quá giá trị tính theo tỷ lệ yêu cầu của mức giảm tần số hệ thống điện, phù hợp với đặc tuyến quan hệ giữa công suất tác dụng và tần số của tổ máy. Thời gian tối thiểu duy trì vận hành phát điện của nhà máy điện có công suất lắp đặt trên 30 MW hoặc nhà máy điện đấu nối vào lưới điện truyền tải tương ứng với các dải tần số của hệ thống điện theo quy định tại Bảng 9 như sau:
Bảng 9
Thời gian tối thiểu duy trì vận hành phát điện tương ứng với các dải tần số của hệ thống điện
| Dải tần số của hệ thống điện | Thời gian duy trì tối thiểu | |
|---|---|---|
| Nhà máy thủy điện | Nhà máy nhiệt điện | |
| Từ 46 Hz đến 47,5 Hz | 20 giây | Không yêu cầu |
| Trên 47,5 Hz đến 48,0 Hz | 10 phút | 10 phút |
| Trên 48 Hz đến dưới 49 Hz | 30 phút | 30 phút |
| Từ 49 Hz đến 51 Hz | Phát liên tục | Phát liên tục |
| Trên 51 Hz đến 51,5 Hz | 30 phút | 30 phút |
| Trên 51,5 Hz đến 52 Hz | 03 phút | 01 phút |
-
Tổ máy phát điện của nhà máy điện phải có khả năng chịu được mức mất đối xứng điện áp trong hệ thống điện theo quy định tại Điều 7Thông tư này và chịu được thành phần dòng điện thứ tự nghịch và thứ tự không xuất hiện trong thời gian loại trừ ngắn mạch pha - pha và pha - đất gần máy phát bằng bảo vệ dự phòng có liên hệ với điểm đấu nối mà không được phép tách ra khỏi vận hành.
-
Tổ máy phát điện của nhà máy điện phải có khả năng làm việc liên tục ở các chế độ sau:
-
Tải không cân bằng giữa ba pha từ 10 % trở xuống;
-
Hệ số đáp ứng của kích từ đối với tổ máy phát điện đồng bộ lớn hơn 0,5 %;
-
Dòng điện thứ tự nghịch nhỏ hơn 5 % dòng điện định mức.
-
Tổ máy phát điện của nhà máy điện phải duy trì nối lưới khi tốc độ biến thiên tần số hệ thống điện trong dải từ 0 Hz/giây đến 01 Hz/giây được đo trong khung thời gian 500 miligiây.
Điều 36. Yêu cầu đối với tổ máy phát điện của nhà máy thủy điện và nhà máy nhiệt điện có công suất đến 30 MW đấu nối vào lưới điện phân phối
Yêu cầu đối với tổ máy phát điện của nhà máy thủy điện và nhà máy nhiệt điện (bao gồm cả các nhà máy điện sinh khối, khí sinh học và nhà máy điện sử dụng chất thải rắn):
- Có khả năng phát công suất tác dụng định mức liên tục trong dải tần số từ 49 Hz đến 51 Hz. Trong dải tần số từ 47,5 Hz đến 49 Hz, mức giảm công suất không được vượt quá giá trị tính theo tỷ lệ yêu cầu của mức giảm tần số hệ thống điện, phù hợp với đặc tuyến quan hệ giữa công suất tác dụng và tần số của tổ máy. Thời gian tối thiểu duy trì vận hành phát điện tương ứng với các dải tần số của hệ thống theo quy định tại Bảng 10 như sau:
Bảng 10
Thời gian tối thiểu duy trì vận hành phát điện
tương ứng với các dải tần số của hệ thống điện
| Dải tần số của hệ thống điện | Thời gian duy trì tối thiểu |
|---|---|
| 47,5 HZ đến 48,0 Hz | 10 phút |
| 48 Hz đến 49 Hz | 30 phút |
| 49 Hz đến 51 Hz | Phát liên tục |
| 51Hz đến 51,5 Hz | 30 phút |
| 51,5 Hz đến 52 Hz | 01 phút |
-
Tổ máy phát điện đấu nối vào lưới điện phân phối phải có khả năng phát và nhận liên tục công suất phản kháng với hệ số công suất 0,9 (ứng với chế độ phát công suất phản kháng) đến 0,95 (ứng với chế độ nhận công suất phản kháng) ứng với công suất định mức và giữ được độ lệch điện áp trong dải quy định tại Điều 6 Thông tư này;
-
Tổ máy phát điện đấu nối vào lưới điện phân phối phải có khả năng chịu được mức mất đối xứng điện áp trong hệ thống điện theo quy định tại Điều 7 Thông tư này và chịu được thành phần dòng điện thứ tự không và thứ tự nghịch không nhỏ hơn thời gian loại trừ ngắn mạch pha-pha và pha-đất gần máy phát bằng bảo vệ dự phòng có liên hệ với điểm đấu nối;
-
Trong trường hợp điểm đấu nối được trang bị thiết bị tự động đóng lại, hệ thống rơ le bảo vệ của nhà máy điện phải đảm bảo phối hợp được với thiết bị tự động đóng lại của Đơn vị phân phối điện và phải được thiết kế để đảm bảo tách được tổ máy phát điện ra khỏi lưới điện phân phối ngay sau khi máy cắt, thiết bị tự động đóng lại hoặc dao phân đoạn của lưới điện phân phối mở ra lần đầu tiên và duy trì cách ly tổ máy phát điện khỏi lưới điện phân phối cho tới khi lưới điện phân phối được khôi phục hoàn toàn;
-
Các nhà máy điện có tổng công suất lắp đặt từ 30 MW trở xuống đấu nối vào lưới điện cấp điện áp 110 kV phải trang bị bộ điều tốc có khả năng làm việc với các giá trị hệ số tĩnh của đặc tính điều chỉnh trong dải từ 03 % đến 05 % và dải chết của bộ điều tốc trong phạm vi ± 0,05 Hz.
-
Tổ máy phát điện của nhà máy điện phải duy trì nối lưới khi tốc độ biến thiên tần số hệ thống điện trong dải từ 0 Hz/giây đến 01 Hz/giây được đo trong khung thời gian 500 miligiây.
Điều 37. Hệ thống kích từ của tổ máy phát điện
- Hệ thống kích từ của tổ máy phát điện phải đảm bảo cho tổ máy phát điện có thể làm việc với dải hệ số công suất quy định tại khoản 2 Điều 36, khoản 2 Điều 35Thông tư này. Hệ thống kích từ phải đảm bảo cho tổ máy phát điện vận hành ở công suất biểu kiến định mức (MVA) trong dải ± 5 % điện áp định mức tại đầu cực máy phát.
- Tổ máy phát điện của nhà máy điện phải được trang bị AVR hoạt động liên tục có khả năng giữ điện áp đầu cực với độ sai lệch không quá ± 0,5 % điện áp định mức trong toàn bộ dải làm việc cho phép của máy phát điện.
- AVR phải có khả năng bù lại sự sụt áp trên máy biến áp đầu cực và đảm bảo sự phân chia ổn định công suất phản kháng giữa các máy phát điện cùng nối vào một thanh cái chung.
- Thời gian đáp ứng của AVR phải không thấp hơn 2,5s với bước nhảy 5% điện áp định mức khi không nối lưới và nhỏ hơn 5s với bước nhảy 5% điện áp định mức khi nối lưới tính từ thời điểm hệ thống AVR nhận được tín hiệu điều khiển.
- AVR phải cho phép cài đặt các giới hạn về:
a) Dòng điện kích từ tối thiểu;
b) Dòng điện kích từ tối đa.
6. Khi điện áp đầu cực máy phát điện nằm trong dải từ 80 đến 120 % điện áp định mức và tần số hệ thống nằm trong dải từ 47,5 đến 52 Hz, trong thời gian tối đa 0,1 giây hệ thống kích từ tổ máy phát điện phải có khả năng tăng điện áp kích từ tới các giá trị như sau:
a) Đối với tổ máy phát điện của nhà máy thủy điện: 1,8 lần giá trị định mức;
b) Đối với tổ máy phát điện của nhà máy nhiệt điện: 2,0 lần giá trị định mức.
7. Tốc độ thay đổi điện áp kích từ không được thấp hơn 2,0 lần so với điện áp kích từ định mức/giây khi tổ máy phát điện mang tải định mức.
8. Tổ máy phát điện của nhà máy điện có công suất trên 30 MW phải trang bị thiết bị ổn định hệ thống điện (Power System Stabiliser - PSS) có khả năng làm suy giảm các dao động có tần số trong dải từ 0,1 Hz đến 5 Hz góp phần nâng cao ổn định hệ thống điện. Đơn vị phát điện phải cài đặt, hiệu chỉnh các thông số của thiết bị PSS để đảm bảo thiết bị PSS có hệ số suy giảm dao động (Damping ratio) không nhỏ hơn 5%. Đối với các tổ máy phát điện có trang bị thiết bị PSS, Đơn vị phát điện có trách nhiệm đưa thiết bị PSS vào hoạt động theo yêu cầu của Cấp điều độ có quyền điều khiển.
Điều 38. Hệ thống điều tốc của tổ máy phát điện
- Tổ máy phát điện của nhà máy điện khi đang vận hành phải tham gia vào việc điều chỉnh tần số sơ cấp trong hệ thống điện quốc gia.
- Tổ máy phát điện của nhà máy điện phải được trang bị hệ thống điều tốc tác động nhanh đáp ứng được sự thay đổi của tần số hệ thống trong điều kiện vận hành bình thường. Hệ thống điều tốc phải có khả năng tiếp nhận và thực hiện các lệnh tăng, giảm hoặc thay đổi điểm đặt công suất từ hệ thống SCADA/EMS của Đơn vị điều độ hệ thống điện quốc gia, trừ trường hợp Đơn vị điều độ hệ thống điện quốc gia không có yêu cầu.
- Hệ thống điều tốc của tổ máy phát điện phải có khả năng chỉnh định giá trị hệ số tĩnh của đặc tính điều chỉnh nhỏ hơn hoặc bằng 5 %. Giá trị cài đặt của hệ số tĩnh của đặc tính điều chỉnh do Đơn vị điều độ hệ thống điện quốc gia tính toán và xác định.
- Trừ các tổ máy phát điện đuôi hơi của nhà máy điện chu trình hỗn hợp, giá trị nhỏ nhất có thể đặt được của dải chết hệ thống điều tốc của các tổ máy phát điện phải nằm trong phạm vi ± 0,05 Hz. Giá trị dải chết hệ thống điều tốc của từng tổ máy phát điện sẽ được Đơn vị điều độ hệ thống điện quốc gia tính toán và xác định trong quá trình đấu nối và vận hành.
- Hệ thống điều khiển bộ điều tốc phải cho phép cài đặt các giới hạn và các bảo vệ chống vượt tốc như sau:
- Đối với các tua bin hơi: Từ 104 % đến 112 % tốc độ định mức;
- Đối với tua bin khí và thuỷ điện: Từ 104% đến 130% tốc độ định mức;
- Trường hợp tổ máy phát điện vận hành trong khu vực lưới điện đang tạm thời bị tách khỏi hệ thống truyền tải điện quốc gia nhưng vẫn tiếp tục cấp điện cho khách hàng thì hệ thống điều tốc máy phát điện phải duy trì được sự ổn định tần số cho khu vực lưới điện đã tách ra.
Điều 39. Khởi động đen
- Tại các vị trí quan trọng trong hệ thống truyền tải điện, một số nhà máy điện phải có khả năng khởi động đen. Yêu cầu về trang bị khả năng khởi động đen phải được ghi rõ trong Thỏa thuận đấu nối.
- Cấp điều độ có quyền điều khiển có trách nhiệm xác định các vị trí quan trọng trong hệ thống điện quốc gia cần xây dựng các nhà máy điện có khả năng khởi động đen và gửi ý kiến cho Đơn vị truyền tải điện khi góp ý đấu nối. Đơn vị truyền tải điện thỏa thuận với Đơn vị phát điện về yêu cầu khởi động đen của nhà máy trong quá trình thỏa thuận đấu nối và quy định cụ thể trong thỏa thuận đấu nối.
Mục 4
YÊU CẦU KỸ THUẬT ĐỐI VỚI NHÀ MÁY ĐIỆN GIÓ, NHÀ MÁY ĐIỆN MẶT TRỜI
Điều 40. Yêu cầu kỹ thuật đối với nhà máy điện gió, nhà máy điện mặt trời đấu nối vào lưới điện truyền tải và tổ máy phát điện của nhà máy điện gió, nhà máy điện mặt trời có công suất lắp đặt trên 30 MW đấu nối vào lưới điện phân phối
- Nhà máy điện gió, nhà máy điện mặt trời phải có khả năng duy trì vận hành phát công suất tác dụng theo các chế độ sau:
a) Chế độ phát tự do: Vận hành phát điện công suất lớn nhất có thể theo sự biến đổi của nguồn năng lượng sơ cấp (gió hoặc mặt trời);
b) Chế độ điều khiển công suất phát:
Nhà máy điện gió, nhà máy điện mặt trời phải có khả năng giới hạn công suất phát theo lệnh điều độ trong các trường hợp sau:
-
-
Trường hợp nguồn năng lượng sơ cấp biến thiên thấp hơn giá trị giới hạn theo lệnh điều độ thì phát công suất lớn nhất có thể;
-
Trường hợp nguồn năng lượng sơ cấp biến thiên bằng hoặc lớn hơn giá trị giới hạn theo lệnh điều độ thì phát công suất đúng giá trị giới hạn theo lệnh điều độ.
-
- Nhà máy điện gió, nhà máy điện mặt trời tại mọi thời điểm đang nối lưới phải có khả năng duy trì vận hành phát điện trong thời gian tối thiểu tương ứng với các dải tần số vận hành theo quy định tại Bảng 11 như sau:
Bảng 11
Thời gian tối thiểu duy trì vận hành phát điện của nhà máy điện gió,
nhà máy điện mặt trời tương ứng với các dải tần số của hệ thống điện
| Dải tần số của hệ thống điện | Thời gian duy trì tối thiểu |
|---|---|
| Từ 47,5 Hz đến 48,0 Hz | 10 phút |
| Trên 48 Hz đến dưới 49 Hz | 30 phút |
| Từ 49 Hz đến 51 Hz | Phát liên tục |
| Trên 51 Hz đến 51,5 Hz | 30 phút |
| Trên 51,5 Hz đến 52 Hz | 01 phút |
-
Khi tần số hệ thống điện lớn hơn 50,5 Hz, nhà máy điện gió, nhà máy điện mặt trời có khả năng giảm công suất tác dụng theo độ dốc tương đối của đường đặc tuyến tĩnh (droop characteristics) trong dải từ 02 % đến 10 %. Giá trị cài đặt độ dốc tương đối của đường đặc tuyến tĩnh do Cấp điều độ có quyền điều khiển tính toán và xác định. Quá trình giảm công suất tác dụng này phải ghi nhận bắt đầu suy giảm không muộn hơn 02 giây khi ghi nhận tần số trên 50,5 Hz và phải hoàn thành trong vòng 15 giây.
-
Nhà máy điện gió, nhà máy điện mặt trời phải có khả năng điều chỉnh công suất phản kháng theo đặc tính như hình vẽ dưới đây và mô tả tại điểm a và điểm b khoản này:

a) Trường hợp nhà máy điện phát công suất tác dụng lớn hơn hoặc bằng 20% công suất tác dụng định mức và điện áp tại phía cao áp máy biến áp tăng áp của nhà máy điện trong dải ± 10 % điện áp danh định, nhà máy điện phải có khả năng điều chỉnh liên tục công suất phản kháng trong dải hệ số công suất 0,95 (ứng với chế độ phát công suất phản kháng) đến 0,95 (ứng với chế độ nhận công suất phản kháng) tại phía cao áp của máy biến áp tăng áp của nhà máy hoặc tại điểm đo lường phân tách công suất phản kháng của từng Nhà máy trong trường hợp nhiều nhà máy cùng nối vào hoặc truyền tải công suất qua 01 máy biến áp tăng áp ứng với công suất định mức;
b) Trường hợp nhà máy điện phát công suất tác dụng nhỏ hơn 20% công suất định mức, nhà máy điện có thể giảm khả năng nhận hoặc phát công suất phản kháng phù hợp với đặc tính của nhà máy điện.
-
- Chế độ điều khiển điện áp và công suất phản kháng:
a) Nhà máy điện gió, nhà máy điện mặt trời có khả năng điều khiển điện áp và công suất phản kháng theo các chế độ sau:
-
-
Chế độ điều khiển điện áp theo giá trị đặt điện áp, chế độ điều khiển điện áp theo đặc tính độ dốc điều chỉnh điện áp (đặc tính quan hệ điện áp/công suất phản kháng);
-
Chế độ điều khiển theo giá trị đặt công suất phản kháng;
-
Chế độ điều khiển theo hệ số công suất.
-
b) Nếu điện áp tại phía cao áp máy biến áp tăng áp của nhà máy điện trong dải ± 10 % điện áp danh định, nhà máy điện gió và nhà máy điện mặt trời phải có khả năng điều chỉnh điện áp tại phía hạ áp máy biến áp tăng áp với độ sai lệch không quá ± 0,5 % điện áp định mức (so với giá trị đặt điện áp) bất cứ khi nào công suất phản kháng của nhà máy điện còn nằm trong dải làm việc cho phép và hoàn thành trong thời gian không quá 05 giây.
- Nhà máy điện gió, nhà máy điện mặt trời tại mọi thời điểm đang nối lưới phải có khả năng duy trì vận hành phát điện tương ứng với dải điện áp tại phía cao áp máy biến áp tăng áp của nhà máy điện trong thời gian như sau:

a) Điện áp dưới 0,3 pu, thời gian duy trì tối thiểu là 0,15 giây;
b) Điện áp từ 0,3 pu đến dưới 0,9 pu, thời gian duy trì tối thiểu được tính theo công thức sau:
Tmin = 4 x U - 0,6
Trong đó:
-
-
Tmin (giây): Thời gian duy trì phát điện tối thiểu;
-
U (pu): Điện áp thực tế tại phía cao áp máy biến áp tăng áp của nhà máy điện tính theo đơn vị pu (đơn vị tương đối);
-
c) Điện áp từ 0,9 pu đến dưới 1,1 pu, nhà máy điện gió và nhà máy điện mặt trời phải duy trì vận hành phát điện liên tục;
d) Điện áp từ 1,1 pu đến dưới 1,15 pu, nhà máy điện gió và nhà máy điện mặt trời phải duy trì vận hành phát điện trong thời gian 03 giây;
đ) Điện áp từ 1,15 pu đến dưới 1,2 pu, nhà máy điện gió và nhà máy điện mặt trời phải duy trì vận hành phát điện trong thời gian 0,5 giây.
-
Độ mất cân bằng pha, tổng biến dạng sóng hài và mức nhấp nháy điện áp do nhà máy điện gió, nhà máy điện mặt trời gây ra tại phía cao áp máy biến áp tăng áp của nhà máy điện không được vượt quá giá trị quy định tại Điều 7, Điều 8 và Điều 9 Thông tư này.
-
Nhà máy điện gió, nhà máy điện mặt trời phải đầu tư các trang thiết bị, hệ thống điều khiển, tự động đảm bảo kết nối ổn định, tin cậy và bảo mật với hệ thống điều khiển công suất tổ máy (AGC) của Đơn vị điều độ hệ thống điện quốc gia phục vụ điều khiển từ xa công suất nhà máy theo lệnh điều độ của Đơn vị điều độ hệ thống điện quốc gia.
-
Nhà máy điện gió, nhà máy điện mặt trời phải duy trì nối lưới khi tốc độ biến thiên tần số hệ thống điện trong dải từ 0 Hz/giây đến 01 Hz/giây được đo trong khung thời gian 500 miligiây.
-
Khi điện áp tại phía cao áp máy biến áp tăng áp của nhà máy điện nằm ngoài dải ± 10 % điện áp danh định, nhà máy điện phải có khả năng thiết lập chế độ ưu tiên phát dòng điện phản kháng (khi điện áp thấp) hoặc hút dòng điện phản kháng (khi điện áp cao) để hỗ trợ hệ thống điện trong quá trình sự cố, dòng điện phản kháng có khả năng thay đổi từ 0 % đến 10 % dòng điện định mức của nhà máy cho mỗi 01 % điện áp thay đổi với sai số không quá 20 % (tốc độ thay đổi do cấp điều độ có quyền điều khiển tính toán xác định), thời gian hoàn thành đáp ứng không trễ hơn 100 miligiây.
-
Sau khi sự cố được loại trừ và hệ thống điện trở về chế độ vận hành bình thường, nhà máy điện phải đảm bảo:
a) Nhà máy điện phải có khả năng khôi phục công suất tác dụng để quay trở về chế độ vận hành trước sự cố với tốc độ tăng công suất tác dụng không nhỏ hơn 30 % công suất định mức trên 01 giây và không lớn hơn 200 % công suất định mức trên 01 giây;
b) Trường hợp các tổ máy tuabin gió hoặc các inverter của nhà máy điện mặt trời bị ngừng vận hành khi sự cố hệ thống điện duy trì lớn hơn thời gian yêu cầu nối lưới tối thiểu, quá trình hòa lại của các tổ máy này không được sớm hơn 03 phút sau khi hệ thống điện quay về trạng thái vận hành bình thường và tốc độ khôi phục công suất tác dụng không lớn hơn 10 % công suất định mức trên 01 phút.
-
Nhà máy điện phải duy trì nối lưới khi điện áp tại phía cao áp máy biến áp tăng áp của nhà máy điện xuất hiện dao động góc pha điện áp (Phase Swing) tức thời lên đến 20 độ trong khoảng thời gian 100 miligiây mà không bị gián đoạn phát điện hay suy giảm công suất phát.
-
Nhà máy điện gió, nhà máy điện mặt trời đấu nối lưới điện có cấp điện áp từ 110kV trở lên phải được trang bị hệ thống giám sát ghi sự cố có chức năng đồng bộ thời gian GPS (Global Positioning System), hệ thống giám sát chất lượng điện năng và kết nối hệ thống này với Cấp điều độ có quyền điều khiển.
-
Nhà máy điện gió, nhà máy điện mặt trời phải được trang bị các thiết bị quan trắc, thu thập số liệu khí tượng, năng lượng sơ cấp đảm bảo kết nối ổn định, tin cậy, bảo mật và gửi dữ liệu liên tục đến cấp điều độ có quyền điều khiển.
Điều 41. Yêu cầu đối với nhà máy điện gió, nhà máy điện mặt trời có công suất trên 1 MW đến 30 MW đấu nối vào lưới điện phân phối từ cấp điện áp trung áp trở lên
- Nhà máy điện gió, nhà máy điện mặt trời phải có khả năng duy trì vận hành phát công suất tác dụng theo các chế độ sau:
a) Chế độ phát tự do: Vận hành phát điện công suất lớn nhất có thể theo sự biến đổi của nguồn năng lượng sơ cấp (gió hoặc mặt trời);
b) Chế độ điều khiển công suất phát:
Nhà máy điện gió, nhà máy điện mặt trời phải có khả năng giới hạn công suất phát theo lệnh điều độ trong các trường hợp sau:
-
-
Trường hợp nguồn năng lượng sơ cấp biến thiên thấp hơn giá trị giới hạn theo lệnh điều độ thì phát công suất lớn nhất có thể;
-
Trường hợp nguồn năng lượng sơ cấp biến thiên bằng hoặc lớn hơn giá trị giới hạn theo lệnh điều độ thì phát công suất đúng giá trị giới hạn theo lệnh điều độ với sai số trong dải ± 01% công suất định mức.
-
- Nhà máy điện gió, nhà máy điện mặt trời tại mọi thời điểm đang nối lưới phải có khả năng duy trì vận hành phát điện trong thời gian tối thiểu tương ứng với các dải tần số vận hành theo quy định tại Bảng 12 như sau:
Bảng 12
Thời gian tối thiểu duy trì vận hành phát điện của nhà máy điện gió,
nhà máy điện mặt trời tương ứng với các dải tần số của hệ thống điện
| Dải tần số của hệ thống điện | Thời gian duy trì tối thiểu |
|---|---|
| Từ 47,5 Hz đến 48,0 Hz | 10 phút |
| Trên 48 Hz đến dưới 49 Hz | 30 phút |
| Từ 49 Hz đến 51 Hz | Phát liên tục |
| Trên 51 Hz đến 51,5 Hz | 30 phút |
| Trên 51,5 Hz đến 52 Hz | 01 phút |
-
Khi tần số hệ thống điện lớn hơn 50,5 Hz, nhà máy điện gió, nhà máy điện mặt trời có khả năng giảm công suất tác dụng theo độ dốc tương đối của đường đặc tuyến tĩnh (droop characteristics) trong dải từ 02% đến 10%. Giá trị cài đặt độ dốc tương đối của đường đặc tuyến tĩnh do Cấp điều độ có quyền điều khiển tính toán và xác định. Quá trình giảm công suất tác dụng này phải ghi nhận bắt đầu suy giảm không muộn hơn 02 giây khi ghi nhận tần số trên 50,5 Hz và phải hoàn thành trong vòng 15 giây.
-
Nhà máy điện gió, nhà máy điện mặt trời phải có khả năng điều chỉnh công suất phản kháng theo đặc tính như hình vẽ dưới đây và mô tả tại điểm a và điểm b khoản này:

a) Trường hợp nhà máy điện phát công suất tác dụng lớn hơn hoặc bằng 20 % công suất tác dụng định mức và điện áp tại phía cao áp máy biến áp tăng áp của nhà máy điện trong dải ± 10 % điện áp danh định, nhà máy điện phải có khả năng điều chỉnh liên tục công suất phản kháng trong dải hệ số công suất 0,95 (ứng với chế độ phát công suất phản kháng) đến 0,95 (ứng với chế độ nhận công suất phản kháng) tại phía cao áp của máy biến áp tăng áp của nhà máy hoặc tại điểm đo lường phân tách công suất phản kháng của từng Nhà máy trong trường hợp nhiều nhà máy cùng nối vào hoặc truyền tải công suất qua 01 máy biến áp tăng áp ứng với công suất định mức;
b) Trường hợp nhà máy điện phát công suất tác dụng nhỏ hơn 20 % công suất định mức, nhà máy điện có thể giảm khả năng nhận hoặc phát công suất phản kháng phù hợp với đặc tính của nhà máy điện.
- Chế độ điều khiển điện áp và công suất phản kháng:
a) Nhà máy điện gió, nhà máy điện mặt trời có khả năng điều khiển điện áp và công suất phản kháng theo các chế độ sau:
-
-
Chế độ điều khiển điện áp theo giá trị đặt điện áp, đặc tính độ dốc điều chỉnh điện áp (đặc tính quan hệ điện áp/công suất phản kháng);
-
Chế độ điều khiển theo giá trị đặt công suất phản kháng;
-
Chế độ điều khiển theo hệ số công suất;
-
b) Nếu điện áp tại phía cao áp máy biến áp tăng áp của nhà máy điện trong dải ± 10 % điện áp danh định, nhà máy điện gió và nhà máy điện mặt trời phải có khả năng điều chỉnh điện áp tại phía hạ áp máy biến áp tăng áp với độ sai lệch không quá ± 0,5 % điện áp định mức (so với giá trị đặt điện áp) bất cứ khi nào công suất phản kháng của tổ máy phát điện còn nằm trong dải làm việc cho phép và hoàn thành trong thời gian không quá 05 giây.
- Nhà máy điện gió, nhà máy điện mặt trời tại mọi thời điểm đang nối lưới phải có khả năng duy trì vận hành phát điện tương ứng với dải điện áp tại phía cao áp máy biến áp tăng áp của nhà máy điện trong thời gian như sau:

a) Điện áp dưới 0,3 pu, thời gian duy trì tối thiểu là 0,15 giây;
b) Điện áp từ 0,3 pu đến dưới 0,9 pu, thời gian duy trì tối thiểu được tính theo công thức sau:
Tmin = 4 x U - 0,6
Trong đó:
-
-
Tmin (giây): Thời gian duy trì phát điện tối thiểu;
-
U (pu): Điện áp thực tế tại phía cao áp máy biến áp tăng áp của nhà máy điện tính theo đơn vị pu (đơn vị tương đối);
-
c) Điện áp từ 0,9 pu đến dưới 1,1 pu, nhà máy điện gió và nhà máy điện mặt trời phải duy trì vận hành phát điện liên tục;
d) Điện áp từ 1,1 pu đến dưới 1,15 pu, nhà máy điện gió và nhà máy điện mặt trời phải duy trì vận hành phát điện trong thời gian 03 giây;
đ) Điện áp từ 1,15 pu đến dưới 1,2 pu, nhà máy điện gió và nhà máy điện mặt trời phải duy trì vận hành phát điện trong thời gian 0,5 giây.
-
Độ mất cân bằng pha, tổng biến dạng sóng hài và mức nhấp nháy điện áp do nhà máy điện gió, nhà máy điện mặt trời gây ra tại phía cao áp máy biến áp tăng áp của nhà máy điện không được vượt quá giá trị quy định tại Điều 6, Điều 7 và Điều 8 Thông tư này.
-
Nhà máy điện gió, nhà máy điện mặt trời phải đầu tư các trang thiết bị, hệ thống điều khiển, tự động đảm bảo kết nối ổn định, tin cậy và bảo mật với hệ thống điều khiển công suất tổ máy (AGC) của Cấp điều độ có quyền điều khiển phục vụ điều khiển từ xa công suất nhà máy theo lệnh điều độ của Cấp điều độ có quyền điều khiển.
-
Nhà máy điện gió, nhà máy điện mặt trời phải duy trì nối lưới khi tốc độ biến thiên tần số hệ thống điện trong dải từ 0 Hz/giây đến 01 Hz/giây được đo trong khung thời gian 500 miligiây.
-
Khi điện áp tại phía cao áp máy biến áp tăng áp của nhà máy điện nằm ngoài dải ± 10 % điện áp danh định, nhà máy điện phải có khả năng ưu tiên phát dòng điện phản kháng (khi điện áp thấp) hoặc hút dòng điện phản kháng (khi điện áp cao) để hỗ trợ hệ thống điện trong quá trình sự cố, dòng điện phản kháng có khả năng thay đổi từ 0 % đến 10 % dòng điện định mức của nhà máy cho mỗi 01% điện áp thay đổi với sai số không quá 20 % (tốc độ thay đổi do cấp điều độ có quyền điều khiển tính toán xác định), thời gian hoàn thành đáp ứng không trễ hơn 100 miligiây.
-
Sau khi sự cố được loại trừ và hệ thống điện trở về chế độ vận hành bình thường, nhà máy điện phải đảm bảo:
a) Nhà máy điện phải có khả năng khôi phục công suất tác dụng để quay trở về chế độ vận hành trước sự cố với tốc độ tăng công suất tác dụng không nhỏ hơn 30 % công suất định mức trên 01 giây và không lớn hơn 200 % công suất định mức trên 01 giây;
b) Trường hợp các tổ máy tuabin gió hoặc các inverter của nhà máy điện mặt trời bị ngừng vận hành khi sự cố hệ thống điện duy trì lớn hơn thời gian yêu cầu nối lưới tối thiểu, quá trình hòa lại của các tổ máy này không được sớm hơn 03 phút sau khi hệ thống điện quay về trạng thái vận hành bình thường và tốc độ khôi phục công suất tác dụng không lớn hơn 10 % công suất định mức trên 01 phút.
- Nhà máy điện phải duy trì nối lưới khi điện áp tại phía cao áp máy biến áp tăng áp của nhà máy điện xuất hiện dao động góc pha điện áp (Phase Swing) tức thời lên đến 20 độ trong khoảng thời gian 100 miligiây mà không bị gián đoạn phát điện hay suy giảm công suất phát.
Điều 42. Yêu cầu đối với nguồn điện mặt trời, điện gió có công suất từ 01 MW trở xuống đấu nối vào lưới điện phân phối từ cấp điện áp trung áp trở lên
- Tại mọi thời điểm đang nối lưới, nguồn điện mặt trời, điện gió phải có khả năng duy trì vận hành phát điện trong thời gian tối thiểu tương ứng với các dải tần số vận hành theo quy định tại Bảng 13 như sau:
Bảng 13
Thời gian tối thiểu duy trì vận hành phát điện
tương ứng với các dải tần số của hệ thống điện
| Dải tần số của hệ thống điện | Thời gian duy trì tối thiểu |
|---|---|
| Từ 48 Hz đến dưới 49 Hz | 30 phút |
| Từ 49 Hz đến 51 Hz | Phát liên tục |
| Trên 51 Hz đến 51,5 Hz | 30 phút |
- Khi tần số hệ thống điện lớn hơn 50,5 Hz, nguồn điện mặt trời, điện gió phải giảm công suất tác dụng xác định theo công thức sau:

Trong đó:
-
ΔP: Mức giảm công suất phát tác dụng (MW);
-
Pm: Công suất tác dụng tương ứng với thời điểm trước khi thực hiện giảm công suất (MW);
-
fn: Tần số hệ thống điện trước khi thực hiện giảm công suất (Hz).
- Nguồn điện mặt trời, điện gió phải có khả năng duy trì vận hành phát điện liên tục trong các dải điện áp tại điểm đấu nối theo quy định tại Bảng 14 như sau:
Bảng 14.
Thời gian tối thiểu duy trì vận hành phát điện tương ứng với các dải điện áp tại điểm đấu nối
| Điện áp tại điểm đấu nối | Thời gian duy trì tối thiểu |
|---|---|
| Nhỏ hơn 50% điện áp danh định | Không yêu cầu |
| Từ 50% đến dưới 85% điện áp danh định | 02 giây |
| Từ 85% đến 110% điện áp danh định | Vận hành liên tục |
| Trên 110% đến 120% điện áp danh định | 02 giây |
| Lớn hơn 120% điện áp danh định | Không yêu cầu |
-
Nguồn điện mặt trời, điện gió không được gây ra sự xâm nhập của dòng điện một chiều vào lưới điện phân phối vượt quá giá trị 0,5% dòng định mức tại điểm đấu nối.
-
Nguồn điện mặt trời, điện gió phải tuân theo các quy định về điện áp, cân bằng pha, sóng hài, nhấp nháy điện áp và chế độ nối đất quy định tại Điều 6, Điều 7, Điều 8, Điều 9 và Điều 11 Thông tư này.
-
Nguồn điện mặt trời, điện gió phải trang bị thiết bị bảo vệ đảm bảo các yêu cầu sau:
a) Tự ngắt kết nối với lưới điện phân phối khi xảy ra sự cố nội bộ nguồn điện mặt trời, điện gió;
b) Tự ngắt kết nối khi xảy ra sự cố mất điện từ lưới điện phân phối và không phát điện lên lưới khi lưới điện phân phối đang mất điện;
c) Không tự động kết nối lại lưới điện khi chưa đảm bảo các điều kiện sau:
-
-
Tần số của lưới điện duy trì trong dải từ 48Hz đến 51Hz trong thời gian tối thiểu 60 giây;
-
Điện áp tất cả các pha tại điểm đấu nối duy trì trong dải từ 85% đến 110% điện áp định mức trong thời gian tối thiểu 60 giây;
-
d) Khách hàng có đề nghị đấu nối phải thỏa thuận, thống nhất các yêu cầu về hệ thống bảo vệ với Đơn vị phân phối điện nhưng tối thiểu bao gồm các bảo vệ quy định tại các điểm a, điểm b và điểm c khoản này, bảo vệ quá áp, thấp áp và bảo vệ theo tần số.
- Ngoài các yêu cầu quy định tại khoản 1 đến khoản 6 Điều này, nguồn điện mặt trời, gió có công suất từ 100 kW đến 1 MW đấu nối vào lưới điện trung áp phải đảm bảo các yêu cầu kỹ thuật sau:
a) Phải đảm bảo chế độ điều khiển công suất phản kháng được kích hoạt theo chế độ điều khiển theo hệ số công suất với giá trị hệ số công suất (cosphi) được cài đặt theo yêu cầu của Cấp điều độ có quyền điều khiển, trừ trường hợp có thỏa thuận khác với Cấp điều độ có quyền điều khiển;
b) Phải có khả năng thiết lập chế độ ưu tiên phát công suất tác dụng hoặc công suất phản kháng theo yêu cầu của Cấp điều độ có quyền điều khiển khi điện áp tại điểm đấu nối nằm ngoài dải yêu cầu vận hành liên tục quy định tại khoản 3 Điều này.
- Chủ đầu tư nguồn điện mặt trời, điện gió đấu nối vào lưới điện trung áp có công suất từ 100 kW đến 1 MW có trách nhiệm thỏa thuận, thống nhất với Đơn vị phân phối điện về trang thiết bị, phương tiện kết nối với hệ thống thu thập, giám sát, điều khiển của Cấp điều độ phân phối.
Điều 43. Yêu cầu đối với hệ thống điện mặt trời đấu nối vào lưới điện phân phối cấp điện áp hạ áp
Hệ thống điện mặt trời được phép đấu nối với lưới điện hạ áp khi đáp ứng các yêu cầu sau:
- Công suất đấu nối
a) Tổng công suất đặt của hệ thống điện mặt trời đấu nối vào cấp điện áp hạ áp của trạm điện hạ thế không được vượt quá công suất đặt của trạm điện đó;
b) Hệ thống điện mặt trời có công suất dưới 20 kWp trở xuống được đấu nối vào lưới điện 01 pha hoặc 03 pha theo thỏa thuận với Đơn vị phân phối điện;
c) Hệ thống điện mặt trời có công suất từ 20 kWp trở lên phải đấu nối vào lưới điện 03 pha.
- Tại mọi thời điểm đang nối lưới, hệ thống điện mặt trời được phép đấu nối với lưới điện hạ áp phải có khả năng duy trì vận hành phát điện trong thời gian tối thiểu tương ứng với các dải tần số vận hành theo quy định tại Bảng 15 như sau:
Bảng 15
Thời gian tối thiểu duy trì vận hành phát điện
tương ứng với các dải tần số của hệ thống điện
| Dải tần số của hệ thống điện | Thời gian duy trì tối thiểu |
|---|---|
| 48 Hz đến 49 Hz | 30 phút |
| 49 Hz đến 51 Hz | Phát liên tục |
| 51Hz đến 51,5 Hz | 30 phút |
- Khi tần số hệ thống điện lớn hơn 50,5 Hz, hệ thống điện mặt trời có công suất từ 20 kWp trở lên phải giảm công suất tác dụng xác định theo công thức sau:

Trong đó:
-
ΔP: Mức giảm công suất phát tác dụng (MW);
-
Pm: Công suất tác dụng tương ứng với thời điểm trước khi thực hiện giảm công suất (MW);
-
fn: Tần số hệ thống điện trước khi thực hiện giảm công suất (Hz).
- Hệ thống điện mặt trời phải có khả năng duy trì vận hành phát điện liên tục trong các dải điện áp tại điểm đấu nối theo quy định tại Bảng 16 như sau:
Bảng 16
Thời gian tối thiểu duy trì vận hành phát điện
tương ứng với các dải điện áp tại điểm đấu nối
| Điện áp tại điểm đấu nối | Thời gian duy trì tối thiểu |
|---|---|
| Nhỏ hơn 50% điện áp danh định | Không yêu cầu |
| 50% đến 85% điện áp danh định | 2 giây |
| 85% đến 110% điện áp danh định | Vận hành liên tục |
| 110% đến 120% điện áp danh định | 2 giây |
| Lớn hơn 120% điện áp danh định | Không yêu cầu |
-
Hệ thống điện mặt trời đấu nối vào lưới điện hạ áp không được phát công suất phản kháng vào lưới điện và hoạt động ở chế độ tiêu thụ công suất suất phản kháng với hệ số công suất (cosj) lớn hơn 0,98.
-
Hệ thống điện mặt trời không được gây ra sự xâm nhập của dòng điện một chiều vào lưới điện phân phối vượt quá giá trị 0,5% dòng định mức tại điểm đấu nối.
-
Hệ thống điện mặt trời đấu nối vào lưới điện hạ áp phải tuân theo các quy định về điện áp, cân bằng pha, sóng hài, nhấp nháy điện áp và chế độ nối đất quy định tại Điều 6, Điều 7, Điều 8, Điều 9 và Điều 11 Thông tư này.
-
Hệ thống điện mặt trời phải trang bị thiết bị bảo vệ đảm bảo các yêu cầu sau:
a) Tự ngắt kết nối với lưới điện phân phối khi xảy ra sự cố nội bộ hệ thống điện mặt trời;
b) Tự ngắt kết nối khi xảy ra sự cố mất điện từ lưới điện phân phối và không phát điện lên lưới khi lưới điện phân phối đang mất điện;
c) Không tự động kết nối lại lưới điện khi chưa đảm bảo các điều kiện sau:
-
-
Tần số của lưới điện duy trì trong dải từ 48Hz đến 51Hz trong thời gian tối thiểu 60 giây;
-
Điện áp tất cả các pha tại điểm đấu nối duy trì trong dải từ 85% đến 110% điện áp định mức trong thời gian tối thiểu 60 giây.
-
d) Đối với hệ thống điện mặt trời đấu nối vào lưới điện hạ áp 03 pha, khách hàng có đề nghị đấu nối phải thỏa thuận, thống nhất các yêu cầu về hệ thống bảo vệ với Đơn vị phân phối điện nhưng tối thiểu bao gồm các bảo vệ quy định tại các Điểm a, Điểm b, Điểm c khoản này, bảo vệ quá áp, thấp áp và bảo vệ theo tần số.
Mục 5
YÊU CẦU KỸ THUẬT ĐỐI VỚI HỆ THỐNG PIN LƯU TRỮ
Điều 44. Yêu cầu kỹ thuật đối với hệ thống pin lưu trữ
- Hệ thống pin lưu trữ tại mọi thời điểm đang nối lưới phải có khả năng duy trì vận hành phát điện trong thời gian tối thiểu tương ứng với các dải tần số vận hành theo quy định tại Bảng 17 như sau:
Bảng 17
Thời gian tối thiểu duy trì vận hành phát điện của hệ thống pin lưu trữ tương ứng với các dải tần số của hệ thống điện
| Dải tần số của hệ thống điện | Thời gian duy trì tối thiểu |
|---|---|
| Từ 47,5 Hz đến 48,0 Hz | 10 phút |
| Trên 48 Hz đến dưới 49 Hz | 30 phút |
| Từ 49 Hz đến 51 Hz | Phát liên tục |
| Trên 51 Hz đến 51,5 Hz | 30 phút |
| Trên 51,5 Hz đến 52 Hz | 01 phút |
2.Hệ thống pin lưu trữ tại mọi thời điểm đang nối lưới phải duy trì vận hành khi tốc độ biến thiên tần số (RoCoF, Rate of Change of Frequency) của hệ thống trong dải từ 0 Hz/giây đến 01 Hz/giây được đo trong khung thời gian 500 miligiây.
3.Hệ thống pin lưu trữ tại mọi thời điểm đang nối lưới phải duy trì vận hành tương ứng với dải điện áp tại điểm đấu nối trong thời gian cụ thể như sau:
a) Điện áp dưới 0,3 pu, hệ thống pin lưu trữ phải phát dòng công suất phản kháng lớn nhất trong giới hạn cho phép nhằm hỗ trợ ổn định điện áp và duy trì thời gian vận hành tối thiểu là 0,15 giây;
b) Điện áp từ 0,3 pu đến dưới 0,9 pu, hệ thống pin lưu trữ phải phát dòng công suất phản kháng trong giới hạn cho phép nhằm hỗ trợ ổn định điện áp, thời gian duy trì tối thiểu được tính theo công thức sau:
Tmin = 4xU-0,6
Trong đó: Tmin (giây) là thời gian duy trì phát điện tối thiểu; U(pu) là điện áp thực tế tại điểm đấu nối tính theo đơn vị tương đối;
c) Điện áp từ 0,9 pu đến dưới 1,1 pu, hệ thống pin lưu trữ phải duy trì vận hành liên tục;
d) Điện áp từ 1,1 pu đến dưới 1,15 pu, hệ thống pin lưu trữ phải duy trì vận hành phát điện trong thời gian 03 giây.
e) Điện áp từ 1,15 đến 1,2 pu, hệ thống pin lưu trữ phải duy trì vận hành phát điện trong thời gian 0,5 giây.
f) Khi điện áp tại điểm đấu nối được khôi phục về khoảng làm việc bình thường, sau thời gian không quá 5 giây, hệ thống pin lưu trữ nếu đang vận hành trong hệ thống điện phải khôi phục trạng thái vận hành bình thường.
g) Khi điện áp tại điểm đấu nối được khôi phục về khoảng làm việc bình thường, nếu một sự cố khác xảy ra gây sụt áp sau đó 1,5 giây sự cố sau được coi là một sự cố mới.
4. Hệ thống pin lưu trữ phải được thiết kế để duy trì vận hành khi xuất hiện dao động góc pha điện áp tức thời lên đến 20 độ trong khoảng thời gian 100 miligiây.
5.Hệ thống pin lưu trữ có công suất từ 10MW trở lên đấu nối vào hệ thống điện phải có khả năng hỗ trợ nhanh dòng điện sự cố khi xảy ra ngắn mạch, cụ thể như sau:
a) Hệ thống pin lưu trữ phát tối đa dòng công suất phản kháng.
b) Yêu cầu phải đạt tới dòng công suất phản kháng cực đại trong vòng 60 -80 mili giây.
c) Hệ thống pin lưu trữ được cài đặt kích hoạt tính năng hỗ trợ nhanh dòng điện sự cố khi điện áp pha tại điểm đấu nối thấp hơn mức 0,85pu và dừng tính năng này khi điện áp pha tại điểm đấu nối trở về mức 0,9pu.
6. Hệ thống pin lưu trữ phải có khả năng khôi phục công suất tác dụng sau sự cố, cụ thể:
a) Sau khi sự cố được loại trừ, hệ thống pin lưu trữ nếu đang vận hành trong hệ thống điện phải khôi phục lượng công suất tác dụng về giá trị công suất cài đặt trước sự cố trong khoảng thời gian không quá 5 giây với sai số trong khoảng ±5% giá trị cài đặt.
b) Tốc độ thay đổi công suất tác dụng mỗi giây của hệ thống pin lưu trữ trong trường hợp này không nhỏ hơn 30% công suất định mức và không lớn hơn 200% công suất định mức của hệ thống pin lưu trữ (30%Pđm/s ≤ tốc độ ≤200%Pđm/s).
7. Chế độ điều khiển công suất tác dụng
-
Trong chế độ điều khiển công suất tác dụng, pin lưu trữ phải có khả năng duy trì công suất tác dụng phát vào hoặc thu từ phía cao áp của máy biến áp tăng áp của hệ thống pin lưu trữ hoặc tại điểm đo lường phân tách công suất của hệ thống pin lưu trữ trong trường hợp nhiều nhà máy điện cùng nối vào 01 máy biến áp tăng áp theo giá trị được cài đặt, không phụ thuộc vào sự thay đổi của tần số, trừ trường hợp chế độ điều khiển tần số được kích hoạt.
-
Sai số điều khiển công suất tác dụng của hệ thống pin lưu trữ nằm trong dải ±1 % công suất định mức (nhưng không thấp hơn 0,5MW).
-
Tốc độ thay đổi công suất tác dụng mỗi phút của pin lưu trữ không nhỏ hơn 1% công suất định mức, và không lớn hơn 20% công suất định mức.
8. Chế độ điều khiển tần số
Trong chế độ điều khiển tần số, hệ thống pin lưu trữ phải có khả năng thay đổi công suất tác dụng theo sự thay đổi của tần số theo các chế độ sau:
a) Chế độ điều khiển tần số sơ cấp
-
- Hệ thống pin lưu trữ có công suất từ 3 MW trở lên đấu nối vào hệ thống điện Quốc gia phải có khả năng tham gia vào quá trình điều khiển tần số sơ cấp theo hai chiều phát hoặc thu công suất tác dụng.
- Dải chết hệ thống điều khiển tần số của hệ thống pin lưu trữ phải có thể chỉnh định được với giá trị tối thiểu là ± 0,05Hz, độ phân dải chỉnh định tối thiểu là 0,05Hz.
- Độ dốc tương đối của đường đặc tuyến tĩnh trong dải từ 2% đến 10%. Giá trị cài đặt dải chết và độ dốc tương đối của đường đặc tuyến tĩnh do Đơn vị điều độ hệ thống điện quốc gia tính toán và xác định.
- Dải công suất tác dụng lớn nhất có thể thay đổi nằm trong khoảng 100% công suất định mức của pin lưu trữ. Quá trình đáp ứng tần số thấp phải bắt đầu không muộn hơn 2 giây kể từ thời điểm ghi nhận tần số vượt ra ngoài dải deadband và phải hoàn thành trong vòng 15 giây.
b) Chế độ điều khiển tần số thứ cấp
Hệ thống pin lưu trữ có công suất từ 10 MW trở lên đấu nối vào hệ thống điện Quốc gia phải có khả năng tham gia vào quá trình điều khiển tần số thứ cấp theo hai chiều phát và thu công suất tác dụng. Thời gian đáp ứng công suất điều khiển tần số thứ cấp không lớn hơn 20 giây kể từ khi nhận được tín hiệu điều khiển của đơn vị điều độ.
9. Chế độ điều khiển công suất phản kháng và điều khiển điện áp
a) Phạm vi điều chỉnh công suất phản kháng
Hệ thống pin lưu trữ phải có khả năng điều chỉnh công suất phản kháng bằng hoặc tốt hơn đặc tính được minh họa trong sau như sau:

-
- Trường hợp hệ thống pin lưu trữ đang phát hoặc thu công suất tác dụng lớn hơn hoặc bằng 20% công suất tác dụng định mức và điện áp tại phía cao áp của máy biến áp tăng áp của hệ thống pin lưu trữ hoặc tại điểm đo lường phân tách công suất phản kháng của hệ thống pin lưu trữ trong trường hợp nhiều nhà máy cùng nối vào 01 máy biến áp tăng áp ứng với công suất định mức nằm trong dải ±10% điện áp danh định, hệ thống pin lưu trữ có khả năng điều chỉnh liên tục công suất phản kháng trong dải hệ số công suất 0,95 hoặc thấp hơn (ứng với chế độ phát công suất phản kháng) đến 0,95 hoặc thấp hơn (ứng với chế độ nhận công suất phản kháng) tại phía cao áp của máy biến áp tăng áp của hệ thống pin lưu trữ hoặc tại điểm đo lường phân tách công suất phản kháng của hệ thống pin lưu trữ trong trường hợp nhiều hệ thống pin lưu trữ cùng nối vào 01 máy biến áp tăng áp ứng với công suất định mức.
- Trường hợp hệ thống pin lưu trữ phát hoặc thu công suất tác dụng nhỏ hơn 20% công suất định mức, hệ thống pin lưu trữ có thể giảm khả năng thu hoặc phát công suất phản kháng phù hợp với đặc tính của hệ thống pin lưu trữ.
b) Chế độ điều khiển điện áp và công suất phản kháng
-
- Hệ thống pin lưu trữ năng lượng phải có chế độ điều khiển công suất phản kháng và chế độ điều khiển hệ số công suất.
- Hệ thống pin lưu trữ năng lượng có công suất lớn hơn 1MW phải có chế độ điều khiển điện áp.
10. Hệ thống pin lưu trữ năng lượng không được gây ra sự xâm nhập của dòng điện một chiều tại điểm đấu nối vượt quá 0,5% dòng điện định mức.
11. Hệ thống pin lưu trữ năng lượng có công suất từ 30MW trở lên đấu nối vào hệ thống điện Quốc gia phải được trang bị chức năng ổn định hệ thống điện ((Power System Stabiliser - PSS) có khả năng làm suy giảm các dao động có tần số trong dải từ 0,1 Hz đến 5 Hz góp phần nâng cao ổn định hệ thống điện. Chủ đầu tư phải cài đặt, hiệu chỉnh các thông số của thiết bị PSS để đảm bảo thiết bị PSS có hệ số suy giảm dao động (Damping ratio) không nhỏ hơn 5%.
12. Hệ thống pin lưu trữ đấu nối vào hệ thống điện quốc gia từ cấp 110 kV trở lên phải được trang bị hệ thống giám sát ghi sự cố có chức năng đồng bộ thời gian GPS (Global Positioning System) và hệ thống giám sát chất lượng điện năng PQ.
13. Hệ thống pin lưu trữ năng lượng đấu nối vào lưới điện ở cấp điện áp từ 110 kV trở lên hoặc có công suất từ 10 MW trở lên phải được trang bị hệ thống thông tin và kết nối hệ thống này tương thích với hệ thống thông tin của đơn vị quản lý vận hành lưới điện và cấp điều độ có quyền điều khiển, đảm bảo thông tin liên lạc, truyền dữ liệu (bao gồm dữ liệu của hệ thống SCADA, PMU, giám sát ghi sự cố) đầy đủ, tin cậy và liên tục phục vụ vận hành hệ thống điện và thị trường điện. Các phương tiện thông tin liên lạc tối thiểu phục vụ công tác điều độ, vận hành gồm kênh trực thông, điện thoại phải hoạt động tin cậy và liên tục.
14. Hệ thống pin lưu trữ năng lượng đấu nối vào hệ thống điện quốc gia từ cấp điện áp 110 kV trở lên phải đầu tư các trang thiết bị, hệ thống điều khiển, tự động đảm bảo kết nối ổn định, tin cậy và bảo mật với hệ thống điều khiển công suất tổ máy (AGC) của Đơn vị điều độ hệ thống điện quốc gia phục vụ điều khiển xa công suất phát theo lệnh điều độ của Đơn vị điều độ hệ thống điện quốc gia.
15. Đối với hệ thống BESS trang bị trong nhà máy điện NLTT, nhà máy điện cần trang bị chức năng điều khiển xa giá trị đặt của tổng công suất điện trao đổi với lưới điện của toàn bộ nhà máy điện bao gồm cả công suất của nguồn NLTT và BESS.
16. Chủ đầu tư hệ thống pin lưu trữ năng lượng có trách nhiệm đầu tư, lắp đặt, quản lý vận hành hệ thống thông tin trong phạm vi quản lý. Đơn vị quản lý và vận hành hệ thống pin lưu trữ năng lượng có thể thỏa thuận sử dụng hệ thống thông tin của đơn vị quản lý vận hành lưới điện hoặc của nhà cung cấp khác để kết nối với hệ thống thông tin của cấp điều độ có quyền điều khiển để đảm bảo thông tin liên tục và tin cậy phục vụ vận hành hệ thống điện và thị trường điện.
17. Về bảo vệ hệ thống pin lưu trữ năng lượng
Hệ thống pin lưu trữ năng lượng đấu nối vào lưới điện ở cấp điện áp từ 110 kV trở lên hoặc có công suất từ 10 MW trở lên phải được trang bị hệ thống bảo vệ:
a) Hệ thống bảo vệ phải có cấu hình, các chức năng bảo vệ và thông số cài đặt cần thiết nhằm đảm bảo hệ thống pin lưu trữ được bảo vệ khỏi các sự cố xảy ra bên trong hệ thống pin lưu trữ và sự cố trên lưới điện.
b) Hệ thống bảo vệ đối với hệ thống pin lưu trữ có công suất trên 10MW phải có chức năng điều khiển khẩn cấp công suất tác dụng theo các mức giá trị được cài đặt trước. Các giá trị cài đặt cụ thể được tính toán và quy định bởi Cấp điều độ có quyền điều khiển. Điều khiển khẩn cấp công suất tác dụng đảm bảo không sai lệch quá 1% điểm đặt hệ số công suất trong khoảng thời gian 1 phút.
c) Chủ đầu tư hệ thống pin lưu trữ có trách nhiệm chỉnh định, cấu hình các chức năng bảo vệ và thông số cài đặt cần thiết cho hệ thống pin lưu trữ nhằm bảo vệ các thiết bị và phần tử trong hệ thống pin lưu trữ. Các thiết lập về hệ thống bảo vệ hệ thống pin lưu trữ phải đảm bảo hệ thống pin lưu trữ duy trì thời gian vận hành tối thiểu theo quy định và đáp ứng các yêu cầu trong Thông tư này.
d) Cấp điều độ có quyền điều khiển được phép thay đổi các thông số cài đặt của hệ thống bảo vệ hệ thống pin lưu trữ nhằm phù hợp với điều kiện vận hành của hệ thống điện, tuy nhiên không được gây hỏng hóc hoặc nguy hại cho thiết bị và phần tử trong hệ thống pin lưu trữ.
Mục 6
TRÌNH TỰ THỎA THUẬN ĐẤU NỐI
Điều 45. Trình tự thoả thuận đấu nối vào hệ thống truyền tải điện
- Khi có nhu cầu đấu nối mới hoặc thay đổi điểm đấu nối hiện tại, khách hàng có nhu cầu đấu nối phải gửi hồ sơ đề nghị đấu nối cho Đơn vị truyền tải điện.
- Hồ sơ đề nghị đấu nối bao gồm:
a) Văn bản đề nghị đấu nối, kèm theo các nội dung theo mẫu quy định tại Phụ lục ban hành kèm theo Thông tư này;
b) Các tài liệu kỹ thuật về các trang thiết bị dự định đấu nối hoặc các thay đổi dự kiến tại điểm đấu nối hiện tại;
c) Thời gian dự kiến hoàn thành dự án, số liệu kinh tế - kỹ thuật của dự án đấu nối mới hoặc thay đổi đấu nối hiện tại.
3. Sau khi nhận được hồ sơ đề nghị đấu nối đầy đủ và hợp lệ, Đơn vị truyền tải điện có trách nhiệm:
a) Xem xét sự phù hợp với quy hoạch phát triển điện lực đã được cơ quan nhà nước có thẩm quyền phê duyệt, các yêu cầu liên quan đến thiết bị điện dự kiến tại điểm đấu nối;
b) Chủ trì thực hiện đánh giá ảnh hưởng của việc đấu nối trang thiết bị, lưới điện, nhà máy điện của khách hàng có nhu cầu đấu nối đối với lưới điện truyền tải, bao gồm các nội dung chính sau:
-
- Tính toán các chế độ xác lập cho lưới điện khu vực đề nghị đấu nối trong giai đoạn 10 năm tiếp theo, bao gồm cả kết quả tính toán các phương án và đánh giá khả năng đáp ứng tiêu chí N-1 của lưới điện truyền tải khu vực;
- Tính toán, đánh giá dòng điện ngắn mạch tại các điểm đấu nối và lưới điện khu vực trong giai đoạn 10 năm tiếp theo;
- Xác định cụ thể các ràng buộc, hạn chế do đấu nối mới có thể ảnh hưởng đến việc vận hành an toàn, ổn định hệ thống truyền tải điện;
- Đánh giá khả năng đáp ứng các yêu cầu trong vận hành hệ thống điện quy định tại Chương IIThông tư này, yêu cầu kỹ thuật tại điểm đấu nối quy định tại Chương này.
c) Dự thảo Thỏa thuận đấu nối theo mẫu quy định tại Phụ lục ban hành kèm theo Thông tư này, gửi cho khách hàng có nhu cầu đấu nối và Cấp điều độ có quyền điều khiển;
d) Chậm nhất sau 15 ngày làm việc kể từ khi nhận được hồ sơ đề nghị đấu nối đầy đủ và hợp lệ của khách hàng, gửi văn bản đề nghị Cấp điều độ có quyền điều khiển và các đơn vị có liên quan có ý kiến chính thức về các nội dung chính sau:
-
- Đánh giá ảnh hưởng của đấu nối đối với hệ thống truyền tải điện;
- Các nội dung liên quan đến yêu cầu kỹ thuật đối với thiết bị điện đấu nối, yêu cầu phục vụ vận hành, điều độ đối với các tổ máy phát điện, yêu cầu về trang bị hệ thống cắt tải sự cố, sa thải thải nguồn, liên động đối với khách hàng sử dụng điện để đảm bảo đáp ứng các yêu cầu vận hành và yêu cầu kỹ thuật quy định tại Chương II và Chương V Thông tư này;
- Dự thảo Thỏa thuận đấu nối theo các nội dung được quy định tại Phụ lục ban hành kèm theo Thông tư này.
4. Cấp điều độ có quyền điều khiển có trách nhiệm phối hợp với Đơn vị truyền tải điện để thực hiện đánh giá ảnh hưởng của đấu nối đối với hệ thống truyền tải điện theo các nội dung quy định tại điểm b khoản 3 Điều này và góp ý, bổ sung Dự thảo Thỏa thuận đấu nối quy định tại điểm d khoản 3 Điều này.
5. Khách hàng có nhu cầu đấu nối có trách nhiệm cung cấp đầy đủ các thông tin cần thiết khác cho Đơn vị truyền tải điện và Cấp điều độ có quyền điều khiển để xác định các đặc tính kỹ thuật, yêu cầu kỹ thuật cần thiết khác đảm bảo vận hành an toàn, ổn định và tin cậy hệ thống truyền tải điện.
6. Trong thời hạn 20 ngày làm việc kể từ khi nhận được đề nghị của Đơn vị truyền tải điện, Cấp điều độ có quyền điều khiển và các đơn vị có liên quan có trách nhiệm gửi ý kiến góp ý bằng văn bản đối với các nội dung quy định tại Điểm d khoản 3 và khoản 4 Điều này cho Đơn vị truyền tải điện.
7. Sau khi nhận được ý kiến góp ý của Cấp điều độ có quyền điều khiển và các đơn vị liên quan khác, Đơn vị truyền tải điện có trách nhiệm hoàn thiện dự thảo Thỏa thuận đấu nối, thoả thuận thống nhất với khách hàng có nhu cầu đấu nối các yêu cầu kỹ thuật tại điểm đấu nối và cùng khách hàng ký Thỏa thuận đấu nối.
8. Thoả thuận đấu nối được lập thành 04 bản, mỗi bên giữ 02 bản. Trong thời hạn 05 ngày làm việc kể từ khi Thỏa thuận đấu nối đã được ký kết, Đơn vị truyền tải điện có trách nhiệm gửi 01 bản sao Thỏa thuận đấu nối đã ký (bao gồm cả phần phụ lục) cho Cấp điều độ có quyền điều khiển, và các đơn vị liên quan để phối hợp thực hiện trong quá trình đầu tư xây dựng, đóng điện chạy thử và vận hành chính thức.
9. Thời gian xem xét hồ sơ đề nghị đấu nối, thỏa thuận các nội dung liên quan và ký Thỏa thuận đấu nối thực hiện theo quy định tại Điều 47 Thông tư này.
10. Trường hợp khách hàng có nhu cầu đấu nối vào lưới điện hoặc thiết bị của Khách hàng sử dụng lưới điện truyền tải khác, khách hàng có nhu cầu đấu nối có trách nhiệm thoả thuận trực tiếp với Khách hàng sử dụng lưới điện truyền tải này. Trước khi thoả thuận thống nhất với khách hàng có nhu cầu đấu nối về phương án đấu nối, Khách hàng sử dụng lưới điện truyền tải sở hữu thiết bị có trách nhiệm phối hợp với Đơn vị truyền tải điện, Cấp điều độ có quyền điều khiển để đảm bảo thiết bị của khách hàng có nhu cầu đấu nối đáp ứng đầy đủ các yêu cầu kỹ thuật của thiết bị tại điểm đấu nối quy định tại Thông tư này. Các nội dung phát sinh liên quan đến đấu nối mới với khách hàng có nhu cầu đấu nối, Khách hàng sử dụng lưới điện truyền tải có trách nhiệm cập nhật các nội dung này vào Thỏa thuận đấu nối đã ký với Đơn vị truyền tải điện.
11. Trường hợp đấu nối vào thanh cái cấp điện áp 110 kV hoặc trung áp thuộc các trạm điện 500 kV hoặc 220 kV trong phạm vi quản lý của Đơn vị truyền tải điện, trình tự và thủ tục thỏa thuận đấu nối được thực hiện theo quy định từ khoản 1 đến khoản 9 Điều này.
Điều 46. Trình tự thoả thuận đấu nối vào hệ thống phân phối điện
-
Trường hợp đấu nối vào lưới điện hạ áp 03 (ba) pha, khi có nhu cầu đấu nối mới vào lưới điện phân phối hoặc thay đổi đấu nối hiện có, Khách hàng sử dụng lưới điện phân phối phải gửi cho Đơn vị phân phối điện các tài liệu quy định tại Phụ lục ban hành kèm theo Thông tư này.
-
Trường hợp đấu nối ở cấp điện áp trung áp và 110 kV, khi có nhu cầu đấu nối mới hoặc thay đổi đấu nối hiện có, Khách hàng sử dụng lưới điện phân phối phải gửi cho Đơn vị phân phối điện các tài liệu sau:
a) Thông tin đăng ký đấu nối tương ứng với nhu cầu đấu nối quy định tại các Phụ lục ban hành kèm theo Thông tư này;
b) Sơ đồ nguyên lý các thiết bị điện chính sau điểm đấu nối;
c) Tài liệu kỹ thuật về các trang thiết bị dự định đấu nối hoặc các thay đổi dự kiến tại điểm đấu nối hiện tại, thời gian dự kiến hoàn thành dự án, số liệu kỹ thuật của dự án đấu nối mới hoặc thay đổi đấu nối hiện tại.
3. Trường hợp tại thời điểm làm hồ sơ đề nghị đấu nối vào cấp điện áp trung áp và 110 kV mà chưa có đầy đủ các thông tin, tài liệu quy định tại khoản 13 Điều này, Khách hàng sử dụng lưới điện phân phối có trách nhiệm thỏa thuận với Đơn vị phân phối điện về việc cung cấp thông tin, tài liệu và ghi rõ trong thỏa thuận đấu nối.
4. Khi nhận được hồ sơ đề nghị đấu nối, Đơn vị phân phối điện có trách nhiệm kiểm tra và thông báo bằng văn bản về tính đầy đủ và hợp lệ của hồ sơ.
5. Sau khi nhận được hồ sơ đề nghị đấu nối đầy đủ và hợp lệ, Đơn vị phân phối điện có trách nhiệm thực hiện các công việc sau đây:
a) Xem xét sự phù hợp với quy hoạch phát triển điện lực đã được cơ quan nhà nước có thẩm quyền phê duyệt, các yêu cầu liên quan đến thiết bị điện dự kiến tại điểm đấu nối;
b) Chủ trì đánh giá ảnh hưởng của việc đấu nối trang thiết bị, lưới điện, nhà máy điện của khách hàng đề nghị đấu nối đối với lưới điện phân phối về khả năng mang tải của các đường dây, trạm điện hiện có; sự ảnh hưởng đến dòng ngắn mạch, ảnh hưởng đến chất lượng điện năng của lưới điện phân phối sau khi thực hiện đấu nối; công tác phối hợp các hệ thống bảo vệ;
c) Lấy ý kiến của Cấp điều độ có quyền điều khiển và các đơn vị có liên quan đến đấu nối về ảnh hưởng của việc đấu nối đối với hệ thống điện, lưới điện khu vực, yêu cầu kết nối với hệ thống thông tin và hệ thống SCADA của Cấp điều độ có quyền điều khiển, các yêu cầu về rơ le bảo vệ, tự động hóa, phương án đo đếm điện năng và các nội dung liên quan đến yêu cầu kỹ thuật với thiết bị tại điểm đấu nối;
d) Lập và thỏa thuận sơ đồ một sợi có các thông số kỹ thuật các thiết bị và sơ đồ mặt bằng điểm đấu nối lưới điện của khách hàng vào lưới điện phân phối làm sơ đồ chính thức sử dụng trong Thỏa thuận đấu nối;
đ) Dự thảo Thỏa thuận đấu nối theo các nội dung được quy định tại Phụ lục ban hành kèm theo Thông tư này và gửi cho khách hàng đề nghị đấu nối.
6. Khách hàng đề nghị đấu nối có trách nhiệm cung cấp cho Đơn vị phân phối điện các thông tin cần thiết phục vụ cho việc xem xét, thỏa thuận thực hiện phương án đấu nối và ký Thỏa thuận đấu nối với Đơn vị phân phối điện.
7. Thoả thuận đấu nối được lập thành 04 bản, mỗi bên giữ 02 bản. Trong thời hạn 05 ngày làm việc kể từ khi Thỏa thuận đấu nối đã được ký kết, Đơn vị phân phối điện có trách nhiệm gửi 01 bản sao Thỏa thuận đấu nối đã ký (bao gồm cả phần phụ lục) cho Cấp điều độ có quyền điều khiển, và các đơn vị liên quan để phối hợp thực hiện trong quá trình đầu tư xây dựng, đóng điện chạy thử và vận hành chính thức.
8. Trường hợp không thỏa thuận được phương án đấu nối, Đơn vị phân phối điện có trách nhiệm thông báo bằng văn bản cho khách hàng và báo cáo Bộ Công Thương về lý do không thống nhất phương án đấu nối.
Điều 47. Thời hạn xem xét và ký thoả thuận đấu nối
- Thời hạn để thực hiện các bước đàm phán và ký Thỏa thuận đấu nối được quy định tại Bảng 18 như sau:
Bảng 18
Thời hạn xem xét và ký Thỏa thuận đấu nối
| Các nội dung thực hiện | Thời gian thực hiện | Trách nhiệm thực hiện |
|---|---|---|
| Thời hạn để thực hiện các bước đàm phán và ký Thỏa thuận đấu nối vào lưới điện truyền tải | ||
| Gửi hồ sơ đề nghị đấu nối đầy đủ và hợp lệ | Khách hàng có nhu cầu đấu nối | |
| Xem xét hồ sơ đề nghị đấu nối, chuẩn bị dự thảo Thỏa thuận đấu nối và gửi lấy ý kiến các đơn vị | Không quá 35 ngày làm việc kể từ khi nhận hồ sơ đầy đủ và hợp lệ | Đơn vị truyền tải điện chủ trì, phối hợp với Cấp điều độ có quyền điều khiển và các đơn vị liên quan |
| Hoàn thiện dự thảo Thỏa thuận đấu nối, thỏa thuận thống nhất và ký kết Thỏa thuận đấu nối | Không quá 20 ngày làm việc kể từ khi nhận được ý kiến góp ý của các đơn vị liên quan | Đơn vị truyền tải điện và khách hàng có nhu cầu đấu nối |
| Thời hạn xem xét và ký Thoả thuận đấu nối với Khách hàng sử dụng lưới điện phân phối có đề nghị đấu nối ở cấp điện áp 110 kV và khách hàng sở hữu tổ máy phát điện có đề nghị đấu nối vào lưới điện trung áp | ||
| Gửi hồ sơ đề nghị đấu nối | Khách hàng đề nghị đấu nối | |
| Xem xét hồ sơ đề nghị đấu nối | Không quá 15 ngày làm việc | Đơn vị phân phối điện, cấp điều độ có quyền điều khiển |
| Chuẩn bị dự thảo Thỏa thuận đấu nối | Không quá 03 ngày làm việc | Đơn vị phân phối điện |
| Thực hiện đàm phán và ký Thỏa thuận đấu nối | Không quá 07 ngày làm việc | Đơn vị phân phối điện và khách hàng đề nghị đấu nối |
- Đối với khách hàng sử dụng điện có trạm điện riêng đấu nối vào lưới điện trung áp: Trong thời hạn 02 ngày làm việc kể từ khi nhận đầy đủ hồ sơ hợp lệ của khách hàng, Đơn vị phân phối điện có trách nhiệm khảo sát hiện trường, thỏa thuận và ký Thỏa thuận đấu nối với khách hàng sử dụng điện có trạm điện riêng đấu nối vào lưới điện trung áp.
Mục 7
THỰC HIỆN THỎA THUẬN ĐẤU NỐI TRÊN LƯỚI ĐIỆN TRUYỀN TẢI
Điều 48. Quyền tiếp cận thiết bị tại điểm đấu nối
- Đơn vị truyền tải điện và khách hàng có nhu cầu đấu nối có quyền tiếp cận các thiết bị của các bên tại điểm đấu nối trong quá trình khảo sát để lập phương án đấu nối, thiết kế, thi công, lắp đặt, thử nghiệm, kiểm tra, thay thế, tháo dỡ, vận hành và bảo dưỡng các thiết bị đấu nối.
- Đơn vị truyền tải điện, khách hàng sử dụng lưới điện có trách nhiệm tạo điều kiện để các bên thực hiện các quyền quy định tại khoản 1 Điều này.
Điều 49. Cung cấp hồ sơ cho kiểm tra điều kiện đóng điện điểm đấu nối để chạy thử, nghiệm thu trên lưới điện truyền tải
- Hồ sơ phục vụ kiểm tra tổng thể điều kiện đóng điện điểm đấu nối (các tài liệu kỹ thuật có xác nhận của khách hàng có nhu cầu đấu nối và bản sao các tài liệu pháp lý được chứng thực theo quy định), bao gồm:
a) Các biên bản nghiệm thu từng phần và toàn phần các thiết bị đấu nối của nhà máy điện, đường dây và trạm điện vào lưới điện truyền tải tuân thủ các tiêu chuẩn kỹ thuật Việt Nam hoặc tiêu chuẩn quốc tế được Việt Nam cho phép áp dụng và đáp ứng các yêu cầu kỹ thuật của thiết bị đấu nối quy định tại Chương này.
b) Tài liệu thiết kế kỹ thuật được phê duyệt và sửa đổi, bổ sung (nếu có) so với thiết kế ban đầu, bao gồm các tài liệu sau:
-
-
Thuyết minh chung, mặt bằng bố trí thiết bị điện;
-
Sơ đồ nối điện chính, sơ đồ nhất thứ một sợi phần điện thể hiện đầy đủ thiết bị đấu nối từ cấp điện áp trung áp trở lên từ điểm đấu nối về phía khách hàng, dự thảo sơ đồ đánh số thiết bị;
-
Sơ đồ nguyên lý, thiết kế của hệ thống bảo vệ, tự động hoá và điều khiển thể hiện rõ các máy cắt, máy biến dòng, máy biến điện áp, chống sét, dao cách ly, mạch logic thao tác đóng cắt liên động theo trạng thái máy cắt;
-
Sơ đồ nhị thứ của hệ thống bảo vệ, tự động hóa và điều khiển;
-
Sơ đồ thể hiện chi tiết phương án đấu nối công trình điện của khách hàng với lưới điện truyền tải và thông số của đường dây đấu nối;
-
Các sơ đồ có liên quan khác (nếu có).
-
c) Các tài liệu về thông số kỹ thuật và quản lý vận hành bao gồm các tài liệu sau:
-
-
Tài liệu thông số kỹ thuật của thiết bị lắp đặt bao gồm cả thông số của đường dây đấu nối.
-
Tài liệu về hệ thống năng lượng sơ cấp, tài liệu kỹ thuật về hệ thống kích từ, điều tốc, mô hình mô phỏng và tài liệu hướng dẫn mô phỏng của hệ thống kích từ, điều tốc, hệ thống PSS, sơ đồ hàm truyền Laplace cùng các giá trị cài đặt (đối với công trình mới là nhà máy thủy điện, nhiệt điện, tua bin khí);
-
Tài liệu về hệ thống năng lượng sơ cấp, các tài liệu kỹ thuật về mô hình tính toán quá độ (RMS và EMT) thể hiện toàn bộ phản ứng của tất cả các thiết bị, các chế độ điều khiển, cũng như phản ứng của toàn bộ nhà máy tại điểm đấu nối và tài liệu hướng dẫn sử dụng, khai thác các mô hình này trên các phần mềm tính toán. Mô hình tính toán quá độ cung cấp phải đảm bảo tương thích với hạ tầng hiện tại của cấp điều độ có quyền điều khiển (đối với công trình mới là nhà máy điện gió, mặt trời).
-
Tài liệu hướng dẫn chỉnh định rơ le bảo vệ, tự động hoá, phần mềm chuyên dụng để giao tiếp và chỉnh định rơ le bảo vệ, các trị số chỉnh định rơ le bảo vệ từ điểm đấu nối về phía khách hàng;
-
Tài liệu hướng dẫn vận hành thiết bị của nhà chế tạo và các tài liệu kỹ thuật có liên quan khác.
-
d) Tài liệu tính toán khởi động, kế hoạch chạy thử; đề xuất phương án đóng điện và vận hành.
2. Trừ trường hợp có thỏa thuận khác, khách hàng có nhu cầu đấu nối có trách nhiệm cung cấp đầy đủ các nội dung, tài liệu theo quy định tại các Điểm b, c, d khoản 1 Điều này cho Cấp điều độ có quyền điều khiển và cấp các tài liệu quy định tại Điểm a, b, c, d khoản 1 Điều này cho Đơn vị truyền tải điện phục vụ lập phương thức đóng điện theo thời hạn sau:
a) Chậm nhất 03 tháng trước ngày dự kiến đưa nhà máy điện vào vận hành thử lần đầu;
b) Chậm nhất 02 tháng trước ngày dự kiến đưa đường dây, trạm điện vào vận hành thử lần đầu.
3. Trên cơ sở tài liệu do Khách hàng có nhu cầu đấu nối cung cấp, Cấp điều độ có quyền điều khiển có trách nhiệm lập phương thức đóng điện đưa công trình mới vào vận hành để đảm bảo an toàn, tin cậy cho thiết bị trong hệ thống điện quốc gia. Khách hàng có nhu cầu đấu nối có trách nhiệm phối hợp với Cấp điều độ có quyền điều khiển trong quá trình lập phương thức đóng điện.
4. Chậm nhất 20 ngày làm việc kể từ khi nhận đủ tài liệu, Cấp điều độ có quyền điều khiển có trách nhiệm gửi cho khách hàng có nhu cầu đấu nối các tài liệu sau:
a) Sơ đồ đánh số thiết bị sau khi đã thống nhất với Khách hàng có nhu cầu đấu nối;
b) Các yêu cầu đối với chỉnh định rơ le bảo vệ, tự động hoá của khách hàng từ điểm đấu nối về phía khách hàng; phiếu chỉnh định rơ le bảo vệ, tự động hoá hoặc văn bản thông qua trị số chỉnh định liên quan đến lưới điện truyền tải đối với các thiết bị rơ le bảo vệ, tự động hoá của khách hàng có nhu cầu đấu nối;
c) Các góp ý về phương án đóng điện của khách hàng có nhu cầu đấu nối;
d) Các yêu cầu về thử nghiệm, hiệu chỉnh thiết bị;
đ) Các yêu cầu về thiết lập hệ thống thông tin liên lạc phục vụ điều độ;
g) Các yêu cầu về kết nối và vận hành đối với hệ thống SCADA, thiết bị giám sát ghi sự cố, hệ thống PMU và hệ thống PSS;
h) Các yêu cầu về trang bị hệ thống công nghệ thông tin, cơ sở hạ tầng cần thiết khác phục vụ vận hành thị trường điện;
i) Danh sách các cán bộ liên quan và điều độ viên kèm theo số điện thoại và các phương thức liên lạc, trao đổi thông tin.
5. Chậm nhất 20 ngày làm việc trước ngày đóng điện điểm đấu nối, khách hàng có nhu cầu đấu nối phải thỏa thuận thống nhất với Cấp điều độ có quyền điều khiển lịch chạy thử, phương thức đóng điện và vận hành các trang thiết bị điện.
6. Chậm nhất 15 ngày làm việc trước ngày đóng điện điểm đấu nối, khách hàng có nhu cầu đấu nối phải cung cấp cho Đơn vị truyền tải điện các nội dung sau:
a) Lịch chạy thử, phương thức đóng điện và vận hành các trang thiết bị điện đã thoả thuận thống nhất với Cấp điều độ có quyền điều khiển;
b) Thỏa thuận phân định trách nhiệm mỗi bên về quản lý, vận hành trang thiết bị đấu nối;
c) Các quy định nội bộ về vận hành an toàn thiết bị đấu nối;
d) Danh sách các nhân viên vận hành đã được đào tạo đủ năng lực theo quy định tại Quy định điều độ, vận hành, thao tác, xử lý sự cố, khởi động đen và khôi phục hệ thống điện quốc gia do Bộ trưởng Bộ Công Thương ban hành, bao gồm họ tên, chức danh chuyên môn, trách nhiệm, số điện thoại và các phương thức liên lạc, trao đổi thông tin khác.
7. Chậm nhất 15 ngày làm việc trước ngày đóng điện điểm đấu nối, khách hàng có nhu cầu đấu nối phải cung cấp cho Cấp điều độ có quyền điều khiển các nội dung quy định tại các điểm b, c, d khoản 6 Điều này và cung cấp cho Đơn vị bán buôn điện nội dung quy định tại Điểm a khoản 6 Điều này.
Điều 50. Kiểm tra điều kiện đóng điện điểm đấu nối để chạy thử, nghiệm thu trên lưới điện truyền tải
- Chậm nhất 05 ngày làm việc trước ngày dự kiến thực hiện đóng điện điểm đấu nối, khách hàng có nhu cầu đấu nối và Đơn vị truyền tải điện phải thực hiện kiểm tra thực tế và nghiệm thu điểm đấu nối.
- Đơn vị truyền tải điện có trách nhiệm thỏa thuận với khách hàng có nhu cầu đấu nối về trình tự kiểm tra hồ sơ, biên bản nghiệm thu và thực tế lắp đặt trang thiết bị theo Thỏa thuận đấu nối.
- Trường hợp Đơn vị truyền tải điện thông báo điểm đấu nối hoặc trang thiết bị liên quan đến điểm đấu nối của khách hàng có nhu cầu đấu nối chưa đủ điều kiện đóng điện thì khách hàng có trách nhiệm hiệu chỉnh, bổ sung hoặc thay thế trang thiết bị theo yêu cầu và thoả thuận lại với Đơn vị truyền tải điện thời gian tiến hành kiểm tra lần sau.
- Trường hợp Cấp điều độ có quyền điều khiển cảnh báo việc đóng điện có nguy cơ ảnh hưởng đến vận hành an toàn, ổn định, tin cậy của hệ thống truyền tải điện hoặc thiết bị của khách hàng thì khách hàng có trách nhiệm phối hợp với Cấp điều độ có quyền điều khiển và Đơn vị truyền tải điện để kiểm tra lại nội dung liên quan đến cảnh báo, thống nhất phương án giải quyết và thoả thuận lại với Đơn vị truyền tải điện thời gian tiến hành kiểm tra lần sau.
- Trường hợp khách hàng có nhu cầu đấu nối nhận thấy việc thực hiện đóng điện công trình điện có khả năng ảnh hưởng đến vận hành ổn định, an toàn thiết bị của khách hàng, khách hàng có trách nhiệm đề xuất với đơn vị có liên quan để phối hợp xử lý và thoả thuận lại với Đơn vị truyền tải điện thời gian tiến hành kiểm tra lần sau.
- Đơn vị truyền tải điện, khách hàng có nhu cầu đấu nối có trách nhiệm ký vào Biên bản kiểm tra điều kiện đóng điện điểm đấu nối.
- Sau khi có biên bản kiểm tra điều kiện đóng điện điểm đấu nối và xác nhận đủ điều kiện đóng điện, Đơn vị truyền tải điện có trách nhiệm thông báo bằng văn bản cho Khách hàng có nhu cầu đấu nối và Cấp điều độ có quyền điều khiển về việc chính thức chấp thuận đóng điện công trình điện của Khách hàng có nhu cầu đấu nối, đảm bảo công trình đã được kiểm tra đáp ứng đầy đủ yêu cầu kỹ thuật tại Thỏa thuận đấu nối, quy định tại Thông tư này và sự phù hợp với quy hoạch phát triển điện lực, kế hoạch thực hiện quy hoạch được cơ quan nhà nước có thẩm quyền phê duyệt.
Điều 51. Đóng điện điểm đấu nối để chạy thử, nghiệm thu
-
Sau khi có văn bản thông báo về việc chính thức chấp thuận đóng điện của đơn vị truyền tải điện, khách hàng có nhu cầu đấu nối có trách nhiệm gửi cho Cấp điều độ có quyền điều khiển và Đơn vị truyền tải điện văn bản đăng ký đóng điện điểm đấu nối kèm theo các tài liệu sau:
a) Các tài liệu xác nhận công trình đủ các thủ tục về pháp lý và kỹ thuật:
-
- Văn bản xác nhận của chủ đầu tư khẳng định các thiết bị trong phạm vi đóng điện đã được thử nghiệm, kiểm tra đáp ứng các yêu cầu vận hành và yêu cầu kỹ thuật tại điểm đấu nối và tuân thủ đầy đủ quy định pháp luật;
- Văn bản thông báo về việc chính thức chấp thuận đóng điện của đơn vị truyền tải điện;
- Biên bản nghiệm thu lắp đặt Hệ thống đo đếm điện năng đủ điều kiện để phục vụ công tác đóng điện chạy thử, nghiệm thu đã chốt chỉ số các công tơ giao nhận điện năng;
- Hợp đồng mua bán điện đã ký hoặc thoả thuận về mua bán điện;
b) Các tài liệu xác nhận công trình đủ điều kiện về vận hành và điều độ bao gồm:
-
- Thiết bị nhất thứ đã được đánh số đúng theo sơ đồ nhất thứ do Cấp điều độ có quyền điều khiển ban hành;
- Hệ thống rơ le bảo vệ, tự động hoá, hệ thống điều khiển, kích từ và điều tốc đã được cài đặt, chỉnh định đúng theo các yêu cầu quy định tại Thông tư này và của Cấp điều độ có quyền điều khiển;
- Danh sách nhân viên vận hành đã được đào tạo đủ năng lực, trình độ theo quy định điều độ, vận hành, thao tác, xử lý sự cố, khởi động đen và khôi phục hệ thống điện quốc gia do Bộ trưởng Bộ Công Thương ban hành, bao gồm họ tên, chức danh chuyên môn, trách nhiệm, số điện thoại và thông tin liên lạc;
- Phương tiện thông tin điều độ theo quy định điều độ, vận hành, thao tác, xử lý sự cố, khởi động đen và khôi phục hệ thống điện quốc gia do Bộ trưởng Bộ Công Thương ban hành;
- Hoàn thiện kết nối thông tin, tín hiệu đầy đủ với hệ thống SCADA, hệ thống giám sát ghi sự cố, hệ thống PMU và hệ thống thông tin của Cấp điều độ có quyền điều khiển theo quy định;
- Quy trình phối hợp vận hành đã được thống nhất giữa Đơn vị phát điện với Cấp điều độ có quyền điều khiển.
2. Trường hợp việc đóng điện điểm đấu nối của khách hàng có ảnh hưởng đến chế độ vận hành hoặc phải tách thiết bị trên lưới điện ra khỏi vận hành, Đơn vị truyền tải điện có trách nhiệm đăng ký với Cấp điều độ có quyền điều khiển kế hoạch tách thiết bị thuộc phạm vi quản lý của mình để phối hợp đóng điện điểm đấu nối.
3. Trong thời hạn 05 ngày làm việc kể từ ngày nhận được văn bản đăng ký đóng điện, Cấp điều độ có quyền điều khiển có trách nhiệm thông báo cho Đơn vị truyền tải và khách hàng có nhu cầu đấu nối lưới điện truyền tải về thời gian và phương thức đóng điện điểm đấu nối.
4. Đơn vị truyền tải điện và khách hàng có nhu cầu đấu nối có trách nhiệm phối hợp thực hiện đóng điện điểm đấu nối theo phương thức đã được Cấp điều độ có quyền điều khiển thông báo.
Điều 52. Chạy thử, thử nghiệm, nghiệm thu để đưa vào vận hành thiết bị sau điểm đấu nối
- Các thử nghiệm tối thiểu cần phải thực hiện đối với nhà máy thủy điện và nhiệt điện sau khi đóng điện lần đầu:
a) Thử nghiệm đối với tổ máy phát gồm: thử nghiệm đo hằng số quán tính của cả khối quay (bao gồm tua bin, rô to máy phát, và máy phát kích từ nếu có); thử nghiệm đặc tính P-Q của tổ máy phát; thử nghiệm đo đặc tính bão hòa hở mạch; thử nghiệm đo các thành phần điện kháng và các hằng số thời gian của máy phát điện (Trường hợp nhà máy cung cấp được các tài liệu xuất xưởng, báo cáo thử nghiệm của nhà sản xuất cung cấp đủ các thông số trên thì không cần thực hiện thử nghiệm đo các thành phần điện kháng và các hằng số thời gian của máy phát điện).
b) Thử nghiệm đối với hệ thống kích từ gồm: thử nghiệm sa thải công suất phản kháng, xác định định hệ số khuếch đại và hằng số thời gian của hệ thống AVR; thử nghiệm đáp ứng bước nhảy (step response) khi máy phát không nối lưới để đánh giá khả năng đáp ứng của hệ thống AVR; Thử nghiệm đáp ứng tần số của hệ thống kích từ khi máy phát điện không nối lưới để kiểm tra độ ổn định của hệ thống AVR; thử nghiệm đáp ứng tần số của hệ thống kích từ khi tổ máy phát điện nối lưới và chưa kích hoạt bộ PSS để kiểm tra hàm truyền hệ thống kích từ; thử nghiệm đáp ứng tần số của hệ thống kích từ khi tổ máy phát điện nối lưới và kích hoạt bộ PSS để kiểm tra độ bù pha của bộ PSS với hàm truyền hệ thống kích từ; thử nghiệm kiểm tra độ dự trữ hệ số khuếch đại của bộ PSS để xác định hệ số khuếch đại tối ưu của bộ PSS; thử nghiệm đáp ứng tần số của hệ thống kích từ khi tổ máy phát điện nối lưới trong các trường hợp kích hoạt và không kích hoạt bộ PSS để kiểm tra khả năng dập dao động của bộ PSS đối với các dao động liên vùng; thử nghiệm đáp ứng bước nhảy khi tổ máy phát điện nối lưới để kiểm tra tác dụng của bộ PSS dập các dao động nội vùng của tổ máy phát điện; thử nghiệm đáp ứng xung (impulse test) để kiểm tra đáp ứng tổ máy phát điện với các sự cố lớn trên hệ thống.
c) Thử nghiệm đối với hệ thống điều tốc gồm: thử nghiệm đáp ứng bước nhảy (step response) công suất, xác định phản ứng của hệ thống điều tốc tổ máy phát điện khi có yêu cầu thay đổi công suất phát; thử nghiệm xác định hệ số tĩnh của đặc tính điều chỉnh tốc độ (speed drop) và điều chỉnh tần số sơ cấp; thử nghiệm khả năng đáp ứng tần số.
d) Các thử nghiệm kết nối SCADA, AGC, FRS/PQ/PMU.
2. Các thử nghiệm tối thiểu cần phải thực hiện đối với nhà máy điện gió, nhà máy điện mặt trời, BESS sau khi đóng điện lần đầu, trừ trường hợp nguồn năng lượng sơ cấp không sẵn sàng đối với các thử nghiệm ở điểm a, b, c, d, đ :
a) Thử nghiệm khả năng phát, nhận công suất phản kháng.
b) Thử nghiệm khả năng điều khiển điện áp.
c) Thử nghiệm khả năng đáp ứng tần số.
d) Các thử nghiệm kết nối SCADA, AGC, FRS/PQ/PMU.
đ) Thử nghiệm đo đạc chất lượng điện năng.
3. Ngoài các thử nghiệm quy định tại khoản 1, khoản 2 điều này, khách hàng có nhu cầu đấu nối có trách nhiệm thực hiện các thử nghiệm khác để đáp ứng các yêu cầu kỹ thuật đã thỏa thuận thống nhất trong Thỏa thuận đấu nối và Hợp đồng mua bán điện.
4. Trình tự thử nghiệm và giám sát thử nghiệm đối với các nội dung quy định tại khoản 1, khoản 2 Điều này thực hiện theo quy trình hướng dẫn của nhà chế tạo và theo hướng dẫn của Đơn vị điều độ hệ thống điện quốc gia.
5. Trong thời gian chạy thử, thử nghiệm, nghiệm thu để đưa vào vận hành các thiết bị sau điểm đấu nối của khách hàng có nhu cầu đấu nối, khách hàng có nhu cầu đấu nối phải cử nhân viên vận hành, cán bộ có thẩm quyền trực 24/24h và thông báo danh sách cán bộ trực kèm theo số điện thoại, để liên hệ với Đơn vị truyền tải điện và Cấp điều độ có quyền điều khiển khi cần thiết.
6.Trong quá trình chạy thử, thử nghiệm, nghiệm thu, khách hàng có nhu cầu đấu nối có trách nhiệm phối hợp với Đơn vị truyền tải điện, Cấp điều độ có quyền điều khiển và các đơn vị có liên quan khác thực hiện thử nghiệm thiết bị đảm bảo tuân thủ các quy định của pháp luật về thử nghiệm, thỏa thuận đấu nối và hợp đồng mua bán điện đã ký, giảm thiểu ảnh hưởng của các thiết bị mới đang được chạy thử, nghiệm thu đến vận hành an toàn, tin cậy hệ thống truyền tải điện quốc gia.
7. Trong quá trình thử nghiệm, Cấp điều độ có quyền điều khiển có trách nhiệm bố trí phương thức vận hành hợp lý, phối hợp và tạo điều kiện cho khách hàng có nhu cầu đấu nối thử nghiệm theo đúng lịch thử nghiệm đã được duyệt.
8. Trong quá trình thử nghiệm, bên mua điện và Đơn vị quản lý lưới điện có trách nhiệm phối hợp với Cấp điều độ có quyền điều khiển, khách hàng có nhu cầu đấu nối và các đơn vị liên quan khác giám sát quá trình thử nghiệm, xác nhận kết quá thử nghiệm, đảm bảo tuân thủ các quy định của pháp luật về thử nghiệm, thỏa thuận đấu nối và hợp đồng mua bán điện đã ký.
9. Kết thúc quá trình chạy thử, thử nghiệm, nghiệm thu, khách hàng có nhu cầu đấu nối có trách nhiệm xác nhận và cung cấp đầy đủ các thông tin sau cho Cấp điều độ có quyền điều khiển và Đơn vị truyền tải điện:
a) Thông số kỹ thuật thực tế của các thiết bị điện, đường dây, trạm điện, tổ máy phát điện;
b) Kết quả thử nghiệm và thông số cài đặt thực tế của các hệ thống thiết bị (kích từ, hệ thống điều tốc…) và các yêu cầu thử nghiệm đã được thống nhất trong Thỏa thuận đấu nối, hợp đồng mua bán điện (nếu có);
c) Các yêu cầu kỹ thuật khác đã được thống nhất trong Thoả thuận đấu nối.
Trường hợp các thiết bị của khách hàng có nhu cầu đấu nối không đáp ứng các yêu cầu quy định tại Thông tư này và Thỏa thuận đấu nối đã ký, Đơn vị truyền tải điện hoặc Cấp điều độ có quyền điều khiển có quyền tách đấu nối tạm thời hoặc cô lập thiết bị hoặc lưới điện của khách hàng ra khỏi lưới điện truyền tải và yêu cầu khách hàng có nhu cầu đấu nối thực hiện các biện pháp bổ sung và khắc phục.
10. Khách hàng có nhu cầu đấu nối lưới điện, nhà máy điện và các thiết bị điện sau điểm đấu nối chỉ được chính thức đưa vào vận hành sau khi đã có đầy đủ biên bản thử nghiệm, chạy thử, nghiệm thu đáp ứng đầy đủ các yêu cầu quy định tại Thông tư này và có văn bản chấp nhận nghiệm thu đưa công trình vào vận hành của cơ quan nhà nước có thẩm quyền. Khách hàng có nhu cầu đấu nối có trách nhiệm thông báo cho Đơn vị truyền tải điện và Cấp điều độ có quyền điều khiển thời điểm đưa công trình vào vận hành chính thức. Đối với các thử nghiệm chưa thực hiện được do nguồn năng lượng sơ cấp không sẵn sàng quy định tại điểm a, b, c, d, đ khoản 2 Điều này, khách hàng có nhu cầu đấu nối phải hoàn thiện trong thời gian tối đa không quá thời hạn 01 năm kể từ ngày hòa lưới lần đầu.
11. Đơn vị điều độ hệ thống điện quốc gia có trách nhiệm tổ chức xây dựng và ban hành các yêu cầu kỹ thuật chi tiết về thử nghiệm và giám sát thử nghiệm, báo cáo Bộ Công Thương trước khi áp dụng.
Điều 53. Kiểm tra và giám sát vận hành các thiết bị sau khi chính thức đưa vào vận hành
-
Trong quá trình vận hành, Đơn vị truyền tải điện hoặc Cấp điều độ có quyền điều khiển (sau đây gọi là bên có yêu cầu kiểm tra bổ sung) có quyền yêu cầu Khách hàng sử dụng lưới điện truyền tải thực hiện kiểm tra, thử nghiệm, thử nghiệm bổ sung các thiết bị trong phạm vi quản lý của khách hàng cho các mục đích sau:
a) Kiểm tra sự đáp ứng của các thiết bị trong lưới điện, nhà máy điện và tại điểm đấu nối với các quy định tại Thông tư này, quy chuẩn kỹ thuật được phép áp dụng tại Việt Nam và các yêu cầu cụ thể trong Thoả thuận đấu nối đã ký;
b) Kiểm tra sự tuân thủ các thỏa thuận trong hợp đồng mua bán điện và Thoả thuận đấu nối đã ký đối với các thiết bị điện của Khách hàng sử dụng lưới điện truyền tải;
c) Đánh giá ảnh hưởng của lưới điện, nhà máy điện của Khách hàng sử dụng lưới điện truyền tải đến sự vận hành an toàn, ổn định và tin cậy của hệ thống điện quốc gia;
d) Chuẩn xác và hiệu chỉnh lại các thông số kỹ thuật của các tổ máy phát điện và lưới điện của Khách hàng sử dụng lưới điện truyền tải phục vụ tính toán, vận hành an toàn, ổn định và tin cậy hệ thống điện quốc gia.
2. Chi phí thực hiện kiểm tra, thử nghiệm và thử nghiệm bổ sung phải được hai bên thoả thuận và quy định trong Thoả thuận đấu nối hoặc hợp đồng mua bán điện. Trường hợp chưa quy định trong Thoả thuận đấu nối hoặc hợp đồng mua bán điện, thực hiện như sau:
a) Trường hợp kết quả kiểm tra cho thấy các thiết bị của Khách hàng sử dụng lưới điện truyền tải không tuân thủ các quy định tại Thông tư này và quy chuẩn kỹ thuật được áp dụng cho các thiết bị thì Khách hàng sử dụng lưới điện truyền tải phải chịu toàn bộ các chi phí kiểm tra và thử nghiệm bổ sung;
b) Trường hợp kết quả kiểm tra không phát hiện vi phạm, bên có yêu cầu kiểm tra bổ sung phải chịu toàn bộ các chi phí kiểm tra và thử nghiệm bổ sung. Đối với yêu cầu kiểm tra theo quy định tại điểm c và điểm d khoản 1 Điều này, Cấp điều độ có quyền điều khiển phải báo cáo và được sự cho phép của Bộ Công Thương trước khi thực hiện kiểm tra.
3. Trước khi kiểm tra và thử nghiệm bổ sung lưới điện và thiết bị điện của Khách hàng sử dụng lưới điện truyền tải, bên có yêu cầu kiểm tra bổ sung phải thông báo trước ít nhất 15 ngày cho Khách hàng sử dụng lưới điện truyền tải về nội dung, thời điểm, thời gian kiểm tra và danh sách các cán bộ tham gia kiểm tra. Khách hàng sử dụng lưới điện truyền tải có trách nhiệm phối hợp và tạo điều kiện thuận lợi để bên có yêu cầu kiểm tra bổ sung thực hiện công tác kiểm tra.
4. Trong quá trình kiểm tra, bên có yêu cầu kiểm tra bổ sung được phép lắp đặt các thiết bị giám sát và kiểm tra trong lưới điện và thiết bị điện của Khách hàng sử dụng lưới điện truyền tải nhưng không được làm ảnh hưởng đến hiệu suất của thiết bị và an toàn vận hành của nhà máy điện, lưới điện và thiết bị điện của Khách hàng sử dụng lưới điện truyền tải.
5. Trong quá trình vận hành, trường hợp thiết bị của Khách hàng sử dụng lưới điện truyền tải tại điểm đấu nối phát sinh các vấn đề kỹ thuật không đảm bảo vận hành an toàn, tin cậy cho hệ thống truyền tải điện, Cấp điều độ có quyền điều khiển phải thông báo cho Khách hàng sử dụng lưới điện truyền tải và Đơn vị truyền tải điện về nguy cơ vận hành không đảm bảo an toàn cho hệ thống truyền tải điện và yêu cầu thời gian khắc phục các vấn đề kỹ thuật không đảm bảo. Khách hàng sử dụng lưới điện truyền tải phải tiến hành các biện pháp khắc phục và thử nghiệm lại để đưa thiết bị sau điểm đấu nối vào vận hành trở lại theo quy định tại Điều 52Thông tư này. Trường hợp sau thời gian khắc phục mà vẫn chưa giải quyết được các vấn đề kỹ thuật thì Cấp điều độ có quyền điều khiển hoặc Đơn vị truyền tải điện có quyền tách điểm đấu nối và thông báo cho Khách hàng sử dụng lưới điện truyền tải.
6. Đối với mỗi tổ máy phát điện, Cấp điều độ có quyền điều khiển có thể yêu cầu Đơn vị phát điện tiến hành thử nghiệm vào bất kỳ thời gian nào để kiểm chứng một hoặc tổ hợp các đặc tính vận hành mà Đơn vị phát điện đã đăng ký, nhưng không được thử nghiệm một tổ máy phát điện quá 03 (ba) lần trong 01 năm, trừ các trường hợp sau:
a) Kết quả thử nghiệm và kiểm tra chỉ ra rằng một hoặc nhiều đặc tính vận hành không đúng với các thông số mà Đơn vị phát điện đã công bố;
b) Khi Cấp điều độ có quyền điều khiển và Đơn vị phát điện không thống nhất ý kiến về đặc tính vận hành của tổ máy phát điện;
c) Thử nghiệm, kiểm tra theo yêu cầu của Đơn vị phát điện;
d) Thử nghiệm về chuyển đổi nhiên liệu.
7. Đơn vị phát điện có quyền tiến hành kiểm tra và thử nghiệm các tổ máy phát điện của mình với mục đích xác định lại các đặc tính vận hành của mỗi tổ máy phát điện sau khi sửa chữa, thay thế, cải tiến hoặc lắp ráp lại. Thời gian tiến hành các thử nghiệm phải thống nhất với Cấp điều độ có quyền điều khiển.
8. Đơn vị phát điện có trách nhiệm thực hiện kiểm tra, thử nghiệm lại đối với hệ thống kích từ, hệ thống điều tốc của tổ máy phát khi đại tu tổ máy hoặc khi thay thế, nâng cấp các hệ thống kích từ, điều tốc. Sau khi hoàn thành thử nghiệm, phải thông báo bằng văn bản cho bên có liên quan về kết quả thử nghiệm, các đánh giá và yêu cầu, kiến nghị cần thiết. Cấp điều độ có quyền điều khiển có trách nhiệm kiểm tra và gửi văn bản về việc xác nhận kết quả thử nghiệm đáp ứng hoặc không đáp ứng các yêu cầu về vận hành và điều độ theo quy định. Trong trường hợp có hạng mục không đáp ứng yêu cầu theo quy định, Cấp điều độ có quyền điều khiển thông báo trong văn bản các hạng mục không đạt yêu cầu để Đối tác thực hiện cài đặt, hiệu chỉnh và thử nghiệm lại.
9. Trong quá trình vận hành, Khách hàng sử dụng lưới điện truyền tải có trách nhiệm đảm bảo kết nối liên tục và truyền đầy đủ tín hiệu SCADA, kết nối hệ thống thông tin từ Trung tâm điều khiển, nhà máy điện hoặc trạm điện đến hệ thống SCADA trung tâm của Cấp điều độ có quyền điều khiển.
Điều 54. Thay thế thiết bị tại điểm đấu nối
- Trong quá trình vận hành, để đảm bảo vận hành an toàn, ổn định và tin cậy hệ thống truyền tải điện, phân phối điện, Cấp điều độ có quyền điều khiển hoặc Đơn vị truyền tải điện có quyền yêu cầu Khách hàng sử dụng lưới điện đầu tư, nâng cấp, thay thế hoặc điều chỉnh các trị số chỉnh định của các thiết bị tại điểm đấu nối và phải thông báo, thống nhất với khách hàng trước khi thực hiện.
- Trường hợp Khách hàng sử dụng lưới điện có nhu cầu thay thế, nâng cấp các thiết bị tại điểm đấu nối hoặc lắp đặt bổ sung các thiết bị điện mới có khả năng ảnh hưởng đến chế độ làm việc bình thường của lưới điện, Khách hàng sử dụng lưới điện phải thông báo bằng văn bản và thỏa thuận với Đơn vị truyền tải điện về các thay đổi này. Trong thời hạn 10 ngày làm việc kể từ khi nhận được thông báo bằng văn bản của Khách hàng sử dụng lưới điện, Đơn vị truyền tải điện có trách nhiệm trả lời bằng văn bản về các đề nghị thay thế, nâng cấp thiết bị tại điểm đấu nối của khách hàng.
- Trường hợp đề xuất của Khách hàng sử dụng lưới điện không được chấp thuận, Đơn vị truyền tải điện có trách nhiệm thông báo cho Khách hàng sử dụng lưới điện lý do không chấp thuận đề xuất hoặc các yêu cầu sửa đổi, bổ sung cần thiết đối với các thiết bị mới dự kiến thay đổi.
- Toàn bộ thiết bị thay thế, bổ sung tại điểm đấu nối phải được thực hiện kiểm tra, thử nghiệm và nghiệm thu theo quy trình quy định từ Điều 48 đến Điều 54 Thông tư này. Các nội dung về nâng cấp, thay thế hoặc điều chỉnh các trị số chỉnh định của các thiết bị tại điểm đấu nối phải được bổ sung vào Thỏa thuận đấu nối đã ký.
Mục 8
THỰC HIỆN ĐẤU NỐI ĐỐI VỚI KHÁCH HÀNG SỬ DỤNG LƯỚI ĐIỆN PHÂN PHỐI
Điều 55. Quyền tiếp cận thiết bị tại điểm đấu nối
- Đơn vị phân phối điện và khách hàng có nhu cầu đấu nối có quyền tiếp cận các thiết bị của các bên tại điểm đấu nối trong quá trình khảo sát để lập phương án đấu nối, thiết kế, thi công, lắp đặt, thử nghiệm, kiểm tra, thay thế, tháo dỡ, vận hành và bảo dưỡng các thiết bị đấu nối.
- Đơn vị phân phối điện, khách hàng sử dụng lưới điện có trách nhiệm tạo điều kiện để các bên thực hiện các quyền quy định tại khoản 1 Điều này.
Điều 56. Cung cấp hồ sơ kiểm tra điều kiện đóng điện điểm đấu nối để chạy thử, nghiệm thu đối với khách hàng sử dụng lưới điện phân phối đấu nối cấp điện áp 110kV và khách hàng có tổ máy phát điện đấu nối ở cấp điện áp trung áp
-
Trước ngày dự kiến đóng điện điểm đấu nối, khách hàng đề nghị đấu nối phải cung cấp cho Đơn vị phân phối điện 01 (một) bộ hồ sơ và Cấp điều độ có quyền điều khiển 01 (một) bộ hồ sơ phục vụ kiểm tra tổng thể điều kiện đóng điện điểm đấu nối (các tài liệu kỹ thuật có xác nhận của khách hàng đề nghị đấu nối và bản sao các tài liệu pháp lý được chứng thực), bao gồm:
a) Các biên bản nghiệm thu từng phần và toàn phần các thiết bị đấu nối của nhà máy điện, đường dây và trạm điện vào lưới điện phân phối tuân thủ các TCVN hoặc tiêu chuẩn quốc tế được Việt Nam công nhận và đáp ứng các yêu cầu kỹ thuật của thiết bị đấu nối quy định Mục 2 Chương này;
b) Tài liệu thiết kế kỹ thuật được phê duyệt và sửa đổi, bổ sung (nếu có) so với thiết kế ban đầu, bao gồm các tài liệu sau:
- Thuyết minh chung, mặt bằng bố trí thiết bị điện;
- Sơ đồ nối điện chính, sơ đồ nhất thứ một sợi phần điện, dự thảo sơ đồ đánh số thiết bị;
- Sơ đồ nguyên lý, thiết kế của hệ thống bảo vệ và điều khiển thể hiện rõ các máy cắt, biến dòng, biến điện áp, chống sét, dao cách ly, mạch logic thao tác đóng cắt liên động theo trạng thái máy cắt;
- Các sơ đồ có liên quan khác (nếu có).
c) Các tài liệu về thông số kỹ thuật và quản lý vận hành bao gồm các tài liệu sau:
- Thông số kỹ thuật của thiết bị lắp đặt bao gồm cả thông số của đường dây đấu nối;
- Tài liệu kỹ thuật của hệ thống kích từ, điều tốc của tổ máy phát điện;
- Tài liệu hướng dẫn chỉnh định rơ le bảo vệ và tự động, phần mềm chuyên dụng để giao tiếp và chỉnh định rơ le, các trị số chỉnh định rơ le bảo vệ từ điểm đấu nối về phía khách hàng;
- Tài liệu hướng dẫn vận hành thiết bị của nhà chế tạo và các tài liệu kỹ thuật có liên quan khác.
d) Dự kiến kế hoạch chạy thử, đề xuất phương án đóng điện và vận hành.
2. Trừ trường hợp có thỏa thuận khác, khách hàng đề nghị đấu nối có trách nhiệm cung cấp đầy đủ các tài liệu quy định tại khoản 1 Điều này trong thời hạn sau:
a) Chậm nhất 02 tháng trước ngày dự kiến đưa nhà máy điện vào vận hành thử lần đầu;
b) Chậm nhất 01 tháng trước ngày dự kiến đưa đường dây, trạm điện vào vận hành thử lần đầu (trừ biên bản nghiệm thu toàn phần đường dây và trạm điện).
3. Trên cơ sở tài liệu do Khách hàng có nhu cầu đấu nối cung cấp, Cấp điều độ có quyền điều khiển có trách nhiệm lập phương thức đóng điện đưa công trình mới vào vận hành để đảm bảo an toàn, tin cậy cho thiết bị trong hệ thống điện quốc gia. Khách hàng có nhu cầu đấu nối có trách nhiệm phối hợp với Cấp điều độ có quyền điều khiển trong quá trình lập phương thức đóng điện
4. Chậm nhất 20 ngày làm việc kể từ khi nhận đủ tài liệu đối với hồ sơ đóng điện tổ máy phát điện hoặc chậm nhất 15 ngày làm việc kể từ khi nhận đủ tài liệu đối với hồ sơ đóng điện đường dây, trạm điện, Đơn vị phân phối điện và Cấp điều độ có quyền điều khiển có trách nhiệm gửi cho khách hàng đề nghị đấu nối các tài liệu sau:
a) Sơ đồ đánh số thiết bị sau khi đã thống nhất với Khách hàng đề nghị đấu nối;
b) Các yêu cầu đối với chỉnh định rơ le bảo vệ của khách hàng từ điểm đấu nối về phía khách hàng; phiếu chỉnh định rơ le và các trị số chỉnh định liên quan đối với các thiết bị bảo vệ rơ le của khách hàng đề nghị đấu nối được Cấp điều độ có quyền điều khiển ban hành hoặc thông qua;
c) Các yêu cầu về thử nghiệm, hiệu chỉnh thiết bị;
d) Các yêu cầu về phương thức nhận lệnh điều độ;
đ) Các yêu cầu về thiết lập hệ thống thông tin liên lạc phục vụ điều độ;
e) Các yêu cầu về thu thập và truyền dữ liệu hệ thống SCADA (nếu có);
g) Phương thức điều khiển tự động (nếu có);
h) Các góp ý về phương án đóng điện của khách hàng đề nghị đấu nối;
i) Danh sách các cán bộ liên quan và Nhân viên vận hành kèm theo số điện thoại và các phương thức liên lạc, trao đổi thông tin.
5. Chậm nhất 10 ngày làm việc trước ngày dự kiến đóng điện điểm đấu nối, khách hàng đề nghị đấu nối phải cung cấp cho Đơn vị phân phối điện và Cấp điều độ có quyền điều khiển các nội dung sau:
a) Lịch chạy thử (đối với các nhà máy điện), phương thức đóng điện và vận hành các trang thiết bị điện;
b) Thỏa thuận phân định trách nhiệm mỗi bên về quản lý, vận hành trang thiết bị đấu nối;
c) Các quy định nội bộ về an toàn vận hành thiết bị đấu nối;
d) Danh sách các Nhân viên vận hành của khách hàng bao gồm họ tên, chức danh chuyên môn, trách nhiệm kèm theo số điện thoại và các phương thức liên lạc, trao đổi thông tin.
Điều 57. Cung cấp hồ sơ kiểm tra điều kiện đóng điện điểm đấu nối để chạy thử, nghiệm thu đối với khách hàng sử dụng điện có trạm riêng đấu nối vào lưới điện trung áp
- Trước ngày dự kiến đóng điện điểm đấu nối, khách hàng đề nghị đấu nối phải cung cấp cho Đơn vị phân phối điện 01 (một) bộ hồ sơ phục vụ kiểm tra điều kiện đóng điện điểm đấu nối (các tài liệu kỹ thuật có xác nhận của khách hàng đề nghị đấu nối và bản sao các tài liệu pháp lý được chứng thực), bao gồm:
a) Tài liệu thiết kế kỹ thuật được phê duyệt và sửa đổi, bổ sung (nếu có) so với thiết kế ban đầu bao gồm thuyết minh chung, sơ đồ nối điện chính, mặt bằng bố trí thiết bị điện, sơ đồ nguyên lý của hệ thống bảo vệ và điều khiển, các sơ đồ có liên quan khác và thông số kỹ thuật của thiết bị điện chính;
b) Tài liệu hướng dẫn vận hành và quản lý thiết bị của nhà chế tạo;
c) Các biên bản nghiệm thu từng phần và toàn phần các thiết bị đấu nối của đường dây và trạm điện vào lưới điện phân phối tuân thủ các TCVN hoặc tiêu chuẩn quốc tế được Việt Nam công nhận và đáp ứng các yêu cầu kỹ thuật của thiết bị đấu nối quy định tại Mục 2 Chương này;
d) Dự kiến lịch đóng điện chạy thử và vận hành.
2. Sau khi nhận đủ tài liệu, Đơn vị phân phối điện có trách nhiệm chuyển cho khách hàng đề nghị đấu nối các tài liệu sau:
a) Sơ đồ đánh số thiết bị;
b) Các yêu cầu đối với chỉnh định rơ le bảo vệ của khách hàng từ điểm đấu nối về phía khách hàng; phiếu chỉnh định rơ le và các trị số chỉnh định liên quan đối với các thiết bị bảo vệ rơ le của khách hàng đề nghị đấu nối được Cấp điều độ có quyền điều khiển ban hành hoặc thông qua;
c) Các yêu cầu về thử nghiệm, hiệu chỉnh thiết bị;
d) Các yêu cầu về phương thức nhận lệnh điều độ;
đ) Các yêu cầu về thiết lập hệ thống thông tin liên lạc phục vụ điều độ;
e) Các yêu cầu về thu thập và truyền dữ liệu hệ thống SCADA (nếu có);
g) Phương thức điều khiển tự động (nếu có);
h) Phương thức đóng điện dự kiến;
i) Danh mục các quy trình liên quan đến vận hành, điều độ hệ thống điện quốc gia, hệ thống phân phối điện và quy trình phối hợp vận hành;
k) Danh sách các cán bộ liên quan và nhân viên vận hành kèm theo số điện thoại các phương thức liên lạc, trao đổi thông tin.
3. Trước ngày dự kiến đóng điện lần đầu và chạy thử, khách hàng đề nghị đấu nối phải cung cấp cho Đơn vị phân phối điện các nội dung sau:
a) Lịch chạy thử và đóng điện vận hành các trang thiết bị điện;
b) Thỏa thuận phân định trách nhiệm mỗi bên về quản lý, vận hành trang thiết bị đấu nối;
c) Các quy định nội bộ về an toàn vận hành thiết bị đấu nối;
d) Danh sách các nhân viên vận hành của khách hàng bao gồm họ tên, chức danh chuyên môn, trách nhiệm kèm theo số điện thoại và các phương thức liên lạc, trao đổi thông tin.
Điều 58. Kiểm tra điều kiện đóng điện điểm đấu nối để chạy thử, nghiệm thu trên lưới điện phân phối
-
Khách hàng đề nghị đấu nối có trách nhiệm thoả thuận với Đơn vị phân phối điện ngày thực hiện kiểm tra thực tế tại điểm đấu nối.
-
Trường hợp Đơn vị phân phối điện thông báo điểm đấu nối hoặc trang thiết bị liên quan tại điểm đấu nối của khách hàng chưa đủ điều kiện đóng điện thì khách hàng đề nghị đấu nối phải hiệu chỉnh, bổ sung hoặc thay thế trang thiết bị theo yêu cầu và thoả thuận lại với Đơn vị phân phối điện thời gian tiến hành kiểm tra lần sau.
-
Đơn vị phân phối điện có trách nhiệm thỏa thuận với Khách hàng có nhu cầu đấu nối về trình tự kiểm tra hồ sơ, biên bản nghiệm thu và thực tế lắp đặt trang thiết bị theo Thỏa thuận đấu nối.
-
Trường hợp Cấp điều độ có quyền điều khiển cảnh báo việc đóng điện có nguy cơ ảnh hưởng đến vận hành an toàn, ổn định, tin cậy của hệ thống phân phối điện hoặc thiết bị của khách hàng thì khách hàng có trách nhiệm phối hợp với Cấp điều độ có quyền điều khiển và Đơn vị phân phối điện kiểm tra lại nội dung liên quan đến cảnh báo, thống nhất phương án giải quyết và thỏa thuận lại với Đơn vị phân phối điện thời gian tiến hành kiểm tra lần sau.
-
Trường hợp khách hàng có nhu cầu đấu nối nhận thấy việc thực hiện đóng điện công trình điện có khả năng ảnh hưởng đến vận hành an toàn thiết bị của khách hàng, khách hàng có trách nhiệm đề xuất với đơn vị có liên quan để phối hợp xử lý và thỏa thuận lại với Đơn vị phân phối điện thời gian tiến hành kiểm tra lần sau.
-
Đơn vị phân phối điện và khách hàng đề nghị đấu nối có trách nhiệm ký vào Biên bản kiểm tra điều kiện đóng điện điểm đấu nối.
-
Sau khi có biên bản kiểm tra điều kiện đóng điện điểm đấu nối và xác nhận đủ điều kiện đóng điện, Đơn vị phân phối điện có trách nhiệm thông báo bằng văn bản cho Khách hàng đề nghị đấu nối và Cấp điều độ có quyền điều khiển về việc chính thức chấp thuận đóng điện công trình điện của Khách hàng đề nghị đấu nối, đảm bảo công trình đã được kiểm tra đáp ứng đầy đủ yêu cầu kỹ thuật tại Thỏa thuận đấu nối, quy định tại Thông tư này và sự phù hợp với quy hoạch phát triển điện lực, kế hoạch thực hiện quy hoạch được cơ quan nhà nước có thẩm quyền phê duyệt.
Điều 59. Đóng điện điểm đấu nối để chạy thử nghiệm thu
-
Sau khi có văn bản thông báo về việc chính thức chấp thuận đóng điện của đơn vị phân phối điện, khách hàng đề nghị đấu nối có trách nhiệm gửi Đơn vị phân phối điện và Cấp điều độ có quyền điều khiển văn bản đăng ký đóng điện điểm đấu nối kèm theo các tài liệu sau:
a) Các tài liệu pháp lý và kỹ thuật:
- Văn bản xác nhận và cam kết của Khách hàng có nhu cầu đấu nối khẳng định các thiết bị trong phạm vi đóng điện đã được thử nghiệm, kiểm tra đáp ứng các yêu cầu vận hành, yêu cầu kỹ thuật tại điểm đấu nối và tuân thủ đầy đủ quy định pháp luật;
- Văn bản thông báo về việc chính thức chấp thuận đóng điện của đơn vị phân phối điện;
- Biên bản nghiệm thu lắp đặt Hệ thống đo đếm điện năng đủ điều kiện để phục vụ công tác đóng điện chạy thử, nghiệm thu, đã chốt chỉ số công tơ giao nhận điện năng;
- Hợp đồng mua bán điện đã ký hoặc thoả thuận về mua bán, giao nhận điện;
b) Các tài liệu xác nhận công trình đủ điều kiện về điều độ, vận hành:
- Thiết bị nhất thứ đã được đánh số đúng theo sơ đồ nhất thứ do Cấp điều độ có quyền điều khiển ban hành;
- Hệ thống bảo vệ rơ le đã được chỉnh định đúng theo các yêu cầu của Cấp điều độ có quyền điều khiển;
- Nhân viên vận hành đã được đào tạo, kiểm tra, cấp Chứng nhận vận hành và công nhận chức danh theo Quy định điều độ, vận hành, thao tác, xử lý sự cố, khởi động đen và khôi phục hệ thống điện quốc gia do Bộ trưởng Bộ Công Thương ban hành, số điện thoại và thông tin liên lạc;
- Phương tiện thông tin điều độ theo Quy định điều độ, vận hành, thao tác, xử lý sự cố, khởi động đen và khôi phục hệ thống điện quốc gia do Bộ trưởng Bộ Công Thương ban hành ;
- Hoàn thiện kết nối thông tin, tín hiệu đầy đủ với hệ thống SCADA, hệ thống thông tin của Cấp điều độ có quyền điều khiển (nếu có);
- Quy trình phối hợp vận hành đã được thống nhất giữa Đơn vị phát điện với Cấp điều độ có quyền điều khiển.
2. Trong thời hạn 03 ngày làm việc kể từ ngày nhận được văn bản đăng ký đóng điện, Cấp điều độ có quyền điều khiển có trách nhiệm chủ trì, phối hợp với Đơn vị phân phối điện thông báo cho khách hàng đề nghị đấu nối về thời gian và phương thức đóng điện điểm đấu nối.
3. Đơn vị phân phối điện và Khách hàng sử dụng lưới điện phân phối có trách nhiệm thực hiện đóng điện điểm đấu nối theo phương thức đã được Cấp điều độ có quyền điều khiển thông báo.
4. Đối với khách hàng sử dụng điện đấu nối vào lưới điện trung áp cho phép đóng điện điểm đấu nối ngay sau khi có Biên bản kiểm tra điều kiện đóng điện điểm đấu nối khẳng định tuân thủ đúng các yêu cầu tại Thỏa thuận đấu nối, đáp ứng đầy đủ các yêu cầu về pháp lý, kỹ thuật, điều độ, vận hành quy định tại khoản 1 Điều này và an toàn điện.
Điều 60. Trình tự thử nghiệm, nghiệm thu để đưa vào vận hành thiết bị sau điểm đấu nối
- Đối với Khách hàng sử dụng lưới điện phân phối đấu nối ở cấp điện áp 110 kV và Đơn vị phát điện có tổ máy phát điện đấu nối ở cấp điện áp trung áp:
a) Trong thời gian thử nghiệm để đưa vào vận hành các thiết bị sau điểm đấu nối, khách hàng đề nghị đấu nối phải cử nhân viên vận hành trực và thông báo danh sách nhân viên trực kèm theo số điện thoại, thông tin liên lạc cho Đơn vị phân phối điện và Cấp điều độ có quyền điều khiển để phối hợp vận hành khi cần thiết;
b) Trong thời gian nghiệm thu chạy thử, khách hàng đề nghị đấu nối có trách nhiệm phối hợp với Đơn vị phân phối điện và Cấp điều độ có quyền điều khiển để đảm bảo các thông số vận hành đáp ứng các yêu cầu kỹ thuật tại điểm đấu nối trong giới hạn cho phép quy định tại Mục 2 Chương này;
c) Kết thúc quá trình nghiệm thu chạy thử, khách hàng đề nghị đấu nối phải xác nhận thông số vận hành thực tế tại điểm đấu nối của các thiết bị điện, đường dây, trạm điện và tổ máy phát điện. Trường hợp các thông số vận hành tại điểm đấu nối không đáp ứng được các yêu cầu kỹ thuật quy định tại Mục 2 Chương này do lưới điện hoặc thiết bị điện của khách hàng gây ra, Đơn vị phân phối điện có quyền tách nhà máy điện hoặc lưới điện của khách hàng ra khỏi hệ thống phân phối điện và yêu cầu khách hàng tiến hành các biện pháp khắc phục;
d) Khách hàng có nhu cầu đấu nối chỉ được đưa lưới điện, nhà máy điện và các thiết bị điện sau điểm đấu nối chính thức vào vận hành sau khi đã có đầy đủ biên bản thử nghiệm, chạy thử, nghiệm thu từng phần, toàn phần, đáp ứng đầy đủ các yêu cầu quy định tại Thông tư này, các quy định về quy hoạch, đất đai, xây dựng, phòng cháy chữa cháy, môi trường và các quy định pháp luật có liên quan. Khách hàng đề nghị đấu nối có trách nhiệm thông báo cho Đơn vị phân phối điện và Cấp điều độ có quyền điều khiển thời điểm đưa công trình vào vận hành chính thức.
2. Đối với Khách hàng sử dụng điện có trạm điện riêng đấu nối vào lưới điện trung áp: Trong thời hạn 05 ngày làm việc kể từ ngày nhận đầy đủ hồ sơ đóng điện điểm đấu nối hợp lệ của Khách hàng sử dụng điện có trạm điện riêng đấu nối vào lưới điện trung áp theo quy định tại Điều 57 Thông tư này, Đơn vị phân phối điện có trách nhiệm phối hợp với khách hàng hoàn thành đóng điện chạy thử, nghiệm thu và đóng điện vận hành chính thức cho khách hàng có đề nghị đấu nối.
Điều 61. Kiểm tra và giám sát vận hành các thiết bị đấu nối
-
Khách hàng sử dụng lưới điện phân phối có trách nhiệm vận hành thiết bị đảm bảo các yêu cầu kỹ thuật vận hành và yêu cầu kỹ thuật tại điểm đấu nối trong giới hạn quy định tại Thông tư này. Trường hợp thông số vận hành thiết bị điện của khách hàng không đáp ứng các yêu cầu kỹ thuật vận hành và yêu cầu kỹ thuật tại điểm đấu nối, Đơn vị phân phối điện có quyền yêu cầu khách hàng tiến hành kiểm tra, thử nghiệm lại các thiết bị thuộc phạm vi quản lý của khách hàng để xác định nguyên nhân và thực hiện các biện pháp khắc phục.
-
Trường hợp hai bên không thống nhất về kết quả kiểm tra và nguyên nhân gây ra vi phạm, hai bên phải thỏa thuận về phạm vi kiểm tra để khách hàng thuê Đơn vị thử nghiệm độc lập tiến hành kiểm tra, thử nghiệm lại. Trường hợp kết quả kiểm tra của Đơn vị thử nghiệm độc lập cho thấy các vi phạm gây ra do thiết bị của khách hàng mà khách hàng không chấp nhận các giải pháp khắc phục hoặc không hoàn thành việc khắc phục theo thời gian đã cam kết với Đơn vị phân phối điện, Đơn vị phân phối điện có quyền tách đấu nối các thiết bị của khách hàng ra khỏi lưới điện phân phối. Thời gian khắc phục do hai bên thỏa thuận, trường hợp hai bên không thống nhất được thời gian khắc phục, các bên giải quyết tranh chấp theo quy định.
-
Khách hàng sử dụng lưới điện phân phối phải chịu chi phí thực hiện kiểm tra và thử nghiệm bổ sung trong trường hợp kết quả kiểm tra cho thấy thiết bị của khách hàng vi phạm các yêu cầu kỹ thuật vận hành và yêu cầu kỹ thuật tại điểm đấu nối. Đơn vị phân phối điện phải chịu chi phí thực hiện kiểm tra và thử nghiệm bổ sung trong trường hợp kết quả kiểm tra cho thấy thiết bị của khách hàng không vi phạm các yêu cầu kỹ thuật vận hành và yêu cầu kỹ thuật tại điểm đấu nối.
-
Trước khi kiểm tra thiết bị đấu nối để xác định các vi phạm yêu cầu kỹ thuật tại điểm đấu nối, Đơn vị phân phối điện phải thông báo trước cho Khách hàng sử dụng lưới điện phân phối và Cấp điều độ có quyền điều khiển thời gian kiểm tra, danh sách người kiểm tra. Trường hợp kiểm tra có thể gây mất điện của khách hàng, Đơn vị phân phối điện phải thông báo trước ít nhất 05 ngày cho Khách hàng sử dụng lưới điện phân phối và Cấp điều độ có quyền điều khiển. Khách hàng sử dụng lưới điện phân phối có trạm điện riêng có trách nhiệm phối hợp và tạo mọi điều kiện cần thiết để thực hiện công tác kiểm tra.
-
Trong quá trình kiểm tra, Đơn vị phân phối điện được phép lắp đặt các thiết bị đo đếm điện và kiểm tra tại thiết bị đấu nối nhưng không được làm ảnh hưởng đến an toàn vận hành của nhà máy điện, lưới điện và thiết bị điện của Khách hàng sử dụng lưới điện phân phối.
-
Trong quá trình vận hành, nếu tại điểm đấu nối phát hiện nguy cơ không đảm bảo vận hành an toàn cho hệ thống điện do các thiết bị thuộc sở hữu của khách hàng gây ra, Đơn vị phân phối điện phải thông báo ngay cho Cấp điều độ có quyền điều khiển, Khách hàng sử dụng lưới điện phân phối có trạm điện riêng để khắc phục, loại trừ nguy cơ không đảm bảo vận hành an toàn cho hệ thống điện. Trường hợp nguyên nhân kỹ thuật không khắc phục được hoặc có nghi ngờ thiết bị của Khách hàng sử dụng lưới điện phân phối gây ảnh hưởng xấu đến lưới điện phân phối, Đơn vị phân phối điện có quyền yêu cầu khách hàng tiến hành kiểm tra, thử nghiệm lại các thiết bị thuộc phạm vi quản lý của khách hàng theo quy định tại khoản 1 và khoản 2 Điều này.
Điều 62. Thay thế, lắp đặt thêm thiết bị tại điểm đấu nối
- Trường hợp Khách hàng sử dụng lưới điện phân phối có trạm điện riêng dự định thay thế, nâng cấp các thiết bị đấu nối, lắp đặt thêm các thiết bị điện mới có khả năng ảnh hưởng đến cung cấp điện an toàn, tin cậy và liên tục của lưới điện phân phối, khách hàng phải thông báo, thỏa thuận với Đơn vị phân phối điện về các thay đổi này và nội dung thay đổi phải được bổ sung trong Thỏa thuận đấu nối.
- Trường hợp không chấp thuận đề xuất của Khách hàng sử dụng lưới điện phân phối có trạm điện riêng thì Đơn vị phân phối điện phải thông báo bằng văn bản cho khách hàng các yêu cầu bổ sung cần thiết khác đối với các thiết bị mới dự kiến thay đổi.
- Toàn bộ thiết bị thay thế tại điểm đấu nối phải được kiểm tra, thử nghiệm và nghiệm thu theo quy định từ Điều 55 đến Điều 63 Thông tư này.
Điều 63. Thực hiện đấu nối vào lưới hạ áp đối với Khách hàng sử dụng điện
1.Trường hợp sử dụng điện phục vụ mục đích sinh hoạt
Trong thời hạn 07 ngày làm việc kể từ khi nhận đủ hồ sơ hợp lệ của khách hàng, Đơn vị phân phối điện hoặc Đơn vị bán lẻ điện có trách nhiệm ký hợp đồng và cung cấp điện cho khách hàng sử dụng điện.
2. Trường hợp sử dụng điện ngoài mục đích sinh hoạt
a) Trong thời hạn 03 ngày làm việc kể từ khi nhận đủ hồ sơ hợp lệ của khách hàng, Đơn vị phân phối điện hoặc Đơn vị bán lẻ điện có trách nhiệm kiểm tra, khảo sát và lập phương án cấp điện cho khách hàng đề nghị cung cấp điện;
b) Trong thời hạn 05 ngày làm việc kể từ ngày thực hiện khảo sát và lập phương án cấp điện, Đơn vị phân phối điện hoặc Đơn vị bán lẻ điện có trách nhiệm ký hợp đồng và cung cấp điện cho khách hàng.
3. Trường hợp không cung cấp được điện cho khách hàng, Đơn vị phân phối điện hoặc Đơn vị bán lẻ điện có trách nhiệm thông báo cho khách hàng, trong đó phải ghi rõ lý do và có xác nhận của Sở Công Thương địa phương.
Mục 9
CHUẨN BỊ ĐÓNG ĐIỆN ĐIỂM ĐẤU NỐI
ĐỐI VỚI THIẾT BỊ ĐIỆN CỦA ĐƠN VỊ TRUYỀN TẢI ĐIỆN
Điều 64. Cung cấp hồ sơ cho kiểm tra điều kiện đóng điện điểm đấu nối các thiết bị của Đơn vị truyền tải điện
- Hồ sơ phục vụ kiểm tra tổng thể điều kiện đóng điện điểm đấu nối (các tài liệu kỹ thuật có xác nhận của Đơn vị truyền tải điện và bản sao các tài liệu pháp lý được chứng thực theo quy định), bao gồm:
a) Sơ đồ nối điện chính, sơ đồ nhất thứ một sợi phần điện, mặt bằng bố trí thiết bị điện; sơ đồ nguyên lý, thiết kế của hệ thống rơ le bảo vệ, tự động hoá và điều khiển thể hiện rõ các máy cắt, máy biến dòng, máy biến điện áp, chống sét, dao cách ly, mạch logic thao tác đóng cắt liên động theo trạng thái máy cắt, dự thảo sơ đồ đánh số thiết bị;
b) Tài liệu hướng dẫn chỉnh định rơ le bảo vệ, tự động hoá, phần mềm chuyên dụng để giao tiếp và chỉnh định rơ le, các trị số chỉnh định rơ le bảo vệ tại điểm đấu nối;
c) Tài liệu về thông số kỹ thuật của các thiết bị được lắp đặt và tài liệu/quy trình hướng dẫn vận hành thiết bị;
d) Sơ đồ nhị thứ của hệ thống bảo vệ, tự động hóa và điều khiển;
đ) Sơ đồ thể hiện chi tiết phương án đấu nối công trình điện của Đơn vị truyền tải điện và thông số của đường dây đấu nối;
e) Các sơ đồ có liên quan khác (nếu có);
g) Dự kiến kế hoạch đóng điện các hạng mục công trình, lịch chạy thử, đề xuất phương án đóng điện và vận hành.
2. Chậm nhất 02 tháng trước ngày dự kiến đưa đường dây, trạm điện vào vận hành thử nghiệm lần đầu, Đơn vị truyền tải điện có trách nhiệm cung cấp đầy đủ các tài liệu theo quy định tại khoản 1 Điều này cho Cấp điều độ có quyền điều khiển.
3. Chậm nhất 20 ngày làm việc kể từ khi nhận đủ tài liệu, Cấp điều độ có quyền điều khiển có trách nhiệm gửi cho Đơn vị truyền tải điện các tài liệu sau:
a) Các góp ý về Lịch chạy thử, phương án đóng điện và vận hành các trang thiết bị điện;
b) Sơ đồ đánh số thiết bị sau khi đã thống nhất với Đơn vị truyền tải điện;
c) Các yêu cầu về phương thức nhận lệnh điều độ;
d) Phiếu chỉnh định rơ le cho các thiết bị rơ le bảo vệ của Đơn vị truyền tải điện;
đ) Các yêu cầu về thử nghiệm, hiệu chỉnh thiết bị;
e) Các yêu cầu về thiết lập hệ thống thông tin liên lạc phục vụ điều độ;
g) Các yêu cầu về kết nối và vận hành đối với hệ thống SCADA;
i) Danh sách các cán bộ liên quan và Điều độ viên, kèm theo số điện thoại và các phương thức liên lạc, trao đổi thông tin.
4. Chậm nhất 20 ngày trước ngày đóng điện điểm đấu nối, Đơn vị truyền tải điện phải thỏa thuận được với Cấp điều độ có quyền điều khiển kế hoạch đóng điện các hạng mục công trình, lịch chạy thử, phương thức đóng điện và vận hành.
Điều 65. Đóng điện công trình mới của Đơn vị truyền tải điện để thử nghiệm, nghiệm thu
-
Đơn vị truyền tải điện có trách nhiệm gửi cho Cấp điều độ có quyền điều khiển văn bản đăng ký đóng điện điểm đấu nối kèm theo các tài liệu sau:
a) Các tài liệu xác nhận công trình đủ các thủ tục về pháp lý và kỹ thuật:
-
- Văn bản xác nhận của chủ đầu tư khẳng định các thiết bị trong phạm vi đóng điện đã được thử nghiệm, kiểm tra đáp ứng các yêu cầu vận hành, yêu cầu kỹ thuật tại điểm đấu nối và tuân thủ đầy đủ quy định pháp luật;
-
- Biên bản nghiệm thu lắp đặt Hệ thống đo đếm điện năng đủ điều kiện để phục vụ công tác đóng điện chạy thử, nghiệm thu, đã chốt chỉ số các công tơ giao nhận điện năng.
b) Các tài liệu xác nhận công trình đủ điều kiện về vận hành và điều độ:
-
- Các thiết bị nhất thứ trong phạm vi đóng điện đã được đánh số đúng theo sơ đồ nhất thứ do Cấp điều độ có quyền điều khiển ban hành;
- Hệ thống rơ le bảo vệ và tự động hoá đã được chỉnh định đúng theo yêu cầu quy định tại Thông tư này và của Cấp điều độ có quyền điều khiển ban hành;
- Danh sách nhân viên vận hành đã được đào tạo đủ năng lực, trình độ theo quy định tại Quy định điều độ, vận hành, thao tác, xử lý sự cố, khởi động đen và khôi phục hệ thống điện quốc gia do Bộ trưởng Bộ Công Thương ban hành, bao gồm họ tên, chức danh chuyên môn, trách nhiệm, số điện thoại và thông tin liên lạc;
- Phương tiện thông tin điều độ theo quy định tại Quy định điều độ, vận hành, thao tác, xử lý sự cố, khởi động đen và khôi phục hệ thống điện quốc gia do Bộ trưởng Bộ Công Thương ban hành;
- Hoàn thiện kết nối thông tin, tín hiệu đầy đủ với hệ thống SCADA, hệ thống giám sát ghi sự cố, hệ thống PMU và hệ thống thông tin của Cấp điều độ có quyền điều khiển.
2. Đơn vị truyền tải điện có trách nhiệm lưu trữ các hồ sơ tài liệu có liên quan và hoàn toàn chịu trách nhiệm về tính chính xác, đầy đủ của các nội dung cam kết và xác nhận tại khoản 1 Điều này và tuân thủ các quy định của pháp luật.
3. Trường hợp việc đóng điện điểm đấu nối công trình lưới điện của Đơn vị truyền tải điện có ảnh hưởng đến chế độ vận hành lưới điện, nhà máy điện của Khách hàng sử dụng lưới điện, Đơn vị truyền tải điện có trách nhiệm đăng ký với Cấp điều độ có quyền điều khiển kế hoạch tách thiết bị thuộc phạm vi quản lý của mình. Cấp điều độ có quyền điều khiển có trách nhiệm thông báo cho Khách hàng sử dụng lưới điện bị ảnh hưởng để phối hợp đóng điện điểm đấu nối.
4. Trong thời hạn 05 ngày làm việc kể từ ngày nhận được văn bản đăng ký đóng điện, Cấp điều độ có quyền điều khiển có trách nhiệm thông báo cho Đơn vị truyền tải điện về thời gian và phương thức đóng điện điểm đấu nối.
5. Đơn vị truyền tải điện có trách nhiệm thực hiện đóng điện điểm đấu nối theo phương thức đã được Cấp điều độ có quyền điều khiển thông báo.
Điều 66. Chạy thử, nghiệm thu để đưa vào vận hành đối với thiết bị đấu nối của Đơn vị truyền tải điện
- Trong thời gian chạy thử, nghiệm thu để đưa vào vận hành đối với các thiết bị đấu nối, Đơn vị truyền tải điện phải cử nhân viên vận hành, cán bộ có thẩm quyền trực 24/24h và thông báo danh sách cán bộ trực kèm theo số điện thoại để liên hệ với Cấp điều độ có quyền điều khiển khi cần thiết.
- Trong thời gian chạy thử, nghiệm thu, Đơn vị truyền tải điện có trách nhiệm phối hợp với Cấp điều độ có quyền điều khiển và các đơn vị liên quan khác để giảm thiểu ảnh hưởng của các thiết bị mới đang được chạy thử, nghiệm thu đến vận hành an toàn, tin cậy hệ thống truyền tải điện quốc gia.
- Đơn vị truyền tải điện chỉ được đưa lưới điện và các thiết bị đấu nối mới chính thức vào vận hành sau khi đã có đầy đủ biên bản thử nghiệm, nghiệm thu, đáp ứng đầy đủ các yêu cầu quy định tại Thông tư này và có văn bản chấp thuận kết quả nghiệm thu đưa công trình vào sử dụng của cơ quan nhà nước có thẩm quyền theo quy định của pháp luật về xây dựng.
- Đơn vị truyền tải điện có trách nhiệm tuân thủ khoản 3 Điều này và thông báo cho Cấp điều độ có quyền điều khiển thời điểm đưa công trình vào vận hành chính thức.
- Trường hợp các thiết bị đóng điện mới của Đơn vị truyền tải điện không đáp ứng các yêu cầu quy định tại Thông tư này, Cấp điều độ có quyền điều khiển có quyền tạm thời cô lập thiết bị hoặc lưới điện của Đơn vị truyền tải điện ra khỏi vận hành và yêu cầu Đơn vị truyền tải thực hiện các biện pháp bổ sung và khắc phục.
Điều 67. Thay thế, lắp đặt thêm thiết bị trên lưới điện
- Trường hợp Đơn vị truyền tải điện có nhu cầu thay thế, nâng cấp, lắp đặt thêm các thiết bị trên lưới điện, bổ sung các thiết bị điện mới có khả năng ảnh hưởng đến chế độ làm việc của lưới điện, Đơn vị truyền tải điện phải thông báo bằng văn bản và thống nhất với Cấp điều độ có quyền điều khiển về các thay đổi này. Trường hợp việc thay thế, nâng cấp thiết bị của Đơn vị truyền tải điện dẫn đến phải thay đổi thiết bị tại điểm đấu nối của Khách hàng sử dụng lưới điện, Đơn vị truyền tải điện phải thông báo bằng văn bản cho khách hàng để phối hợp thực hiện đảm bảo không gây ảnh hưởng đến chế độ vận hành thiết bị điện tại điểm đấu nối của khách hàng.
- Trường hợp đề xuất của Đơn vị truyền tải điện không được chấp thuận, Cấp điều độ có quyền điều khiển có trách nhiệm thông báo cho Đơn vị truyền tải điện lý do không chấp thuận hoặc các yêu cầu sửa đổi, bổ sung đối với các thiết bị mới dự kiến thay đổi.
- Các thiết bị thay thế, bổ sung phải được thực hiện theo quy định tại Điều 65 và Điều 66 Thông tư này.
Mục 10
CHUẨN BỊ ĐÓNG ĐIỆN ĐIỂM ĐẤU NỐI ĐỐI VỚI
THIẾT BỊ ĐIỆN CỦA ĐƠN VỊ PHÂN PHỐI ĐIỆN
Điều 68. Cung cấp hồ sơ cho kiểm tra điều kiện đóng điện điểm đấu nối đối với thiết bị điện của Đơn vị phân phối điện để chạy thử, nghiệm thu
- Trước ngày dự kiến đóng điện điểm đấu nối, Đơn vị phân phối điện có trách nhiệm cung cấp cho Cấp điều độ có quyền điều khiển 01 (một) bộ hồ sơ phục vụ kiểm tra điều kiện đóng điện điểm đấu nối (các tài liệu kỹ thuật có xác nhận của Đơn vị phân phối điện và bản sao các tài liệu pháp lý được chứng thực), bao gồm:
a) Sơ đồ nối điện chính, sơ đồ nhất thứ một sợi phần điện, mặt bằng bố trí thiết bị điện, dự thảo sơ đồ đánh số thiết bị;
b) Sơ đồ nguyên lý, thiết kế của hệ thống bảo vệ và điều khiển, thể hiện rõ các máy cắt, biến dòng, biến điện áp, chống sét, dao cách ly, mạch logic thao tác đóng cắt liên động theo trạng thái máy cắt;
c) Các sơ đồ có liên quan khác (nếu có);
d) Tài liệu hướng dẫn chỉnh định rơ le bảo vệ và tự động, phần mềm chuyên dụng để giao tiếp và chỉnh định rơle;
đ) Tài liệu, thông số kỹ thuật của các thiết bị lắp đặt bao gồm cả thông số của đường dây đấu nối;
e) Dự kiến lịch chạy thử, đề xuất phương án đóng điện và vận hành.
-
- Chậm nhất 01 tháng trước ngày dự kiến đưa đường dây, trạm điện vào vận hành thử lần đầu, Đơn vị phân phối điện có trách nhiệm cung cấp đầy đủ các tài liệu quy định tại khoản 1 Điều này, trừ trường hợp có thỏa thuận khác.
- Chậm nhất 15 ngày làm việc kể từ khi nhận đủ tài liệu, Cấp điều độ có quyền điều khiển có trách nhiệm gửi cho Đơn vị phân phối điện các tài liệu sau:
a) Sơ đồ đánh số thiết bị sau khi đã thống nhất với Đơn vị phân phối điện;
b) Các yêu cầu về phương thức nhận lệnh điều độ;
c) Ban hành phiếu chỉnh định rơ le hoặc thông qua các trị số chỉnh định rơ le theo Quy định điều độ, vận hành, thao tác, xử lý sự cố, khởi động đen và khôi phục hệ thống điện quốc gia do Bộ trưởng Bộ Công Thương ban hành;
d) Các yêu cầu về thử nghiệm, hiệu chỉnh thiết bị;
đ) Các yêu cầu về thiết lập hệ thống thông tin liên lạc phục vụ điều độ;
e) Các yêu cầu về kết nối và vận hành đối với hệ thống SCADA;
g) Góp ý về Phương án đóng điện và vận hành dự kiến;
h) Danh sách các cán bộ liên quan và các Nhân viên vận hành kèm theo số điện thoại và thông tin liên lạc.
4. Chậm nhất 07 ngày làm việc trước ngày đóng điện điểm đấu nối, Đơn vị phân phối điện phải thỏa thuận thống nhất với Cấp điều độ có quyền điều khiển lịch chạy thử, Phương thức đóng điện và vận hành các trang thiết bị điện.
Điều 69. Đóng điện điểm đấu nối đối với thiết bị điện của Đơn vị phân phối điện để chạy thử, nghiệm thu
- Đơn vị phân phối điện có trách nhiệm gửi cho Cấp điều độ có quyền điều khiển văn bản đăng ký đóng điện điểm đấu nối kèm theo các tài liệu sau:
a) Các tài liệu xác nhận công trình đủ thủ tục về pháp lý và kỹ thuật:
-
-
-
Văn bản xác nhận và cam kết của Chủ đầu tư khẳng định các thiết bị trong phạm vi đóng điện đã được thử nghiệm, kiểm tra đáp ứng các yêu cầu vận hành, yêu cầu kỹ thuật tại điểm đấu nối và tuân thủ đầy đủ quy định pháp luật;
-
Hệ thống đo đếm đã được hoàn thiện, đã chốt chỉ số các công tơ giao nhận điện năng.
-
-
b) Các tài liệu xác nhận công trình đủ điều kiện về điều độ, vận hành
-
-
-
Thiết bị nhất thứ đã được đánh số đúng theo sơ đồ nhất thứ do Cấp điều độ điều khiển ban hành;
-
Hệ thống bảo vệ rơle và tự động đã được chỉnh định đúng theo các phiếu chỉnh định rơle bảo vệ do Cấp điều độ có quyền điều khiển ban hành hoặc thông qua;
-
Nhân viên vận hành đã được đào tạo, kiểm tra, cấp Chứng nhận vận hành và công nhận chức danh theo Quy định điều độ, vận hành, thao tác, xử lý sự cố, khởi động đen và khôi phục hệ thống điện quốc gia do Bộ trưởng Bộ Công Thương ban hành, số điện thoại và thông tin liên lạc;
-
Phương tiện thông tin điều độ theo Quy định điều độ, vận hành, thao tác, xử lý sự cố, khởi động đen và khôi phục hệ thống điện quốc gia do Bộ trưởng Bộ Công Thương ban hành;
-
Hoàn thiện kết nối thông tin, tín hiệu đầy đủ với hệ thống SCADA, hệ thống thông tin của Cấp điều độ có quyền điều khiển.
-
-
2. Trong thời hạn 03 ngày làm việc kể từ ngày nhận được văn bản đăng ký đóng điện, Cấp điều độ có quyền điều khiển có trách nhiệm thông báo cho Đơn vị phân phối điện về thời gian và phương thức đóng điện điểm đấu nối.
3. Đơn vị phân phối điện có trách nhiệm phối hợp với Cấp điều độ có quyền điều khiển và các đơn vị liên quan khác thực hiện đóng điện điểm đấu nối theo phương thức đã được Cấp điều độ có quyền điều khiển thông báo.
Điều 70. Chạy thử, nghiệm thu để đưa vào vận hành đối với thiết bị đấu nối của Đơn vị phân phối điện
-
Trong thời gian chạy thử, nghiệm thu để đưa vào vận hành đối với các thiết bị đấu nối, Đơn vị phân phối điện phải cử nhân viên vận hành, cán bộ có thẩm quyền trực 24/24h và thông báo danh sách cán bộ trực kèm theo số điện thoại để liên hệ với Cấp điều độ có quyền điều khiển khi cần thiết.
-
Trong thời gian chạy thử, nghiệm thu, Đơn vị phân phối điện có trách nhiệm phối hợp với Cấp điều độ có quyền điều khiển và các đơn vị liên quan khác để giảm thiểu ảnh hưởng của các thiết bị mới đang được chạy thử, nghiệm thu đến vận hành an toàn, tin cậy hệ thống điện quốc gia.
-
Đơn vị phân phối điện chỉ được đưa lưới điện và các thiết bị đấu nối mới chính thức vào vận hành sau khi đã có đầy đủ biên bản thử nghiệm, nghiệm thu, đáp ứng đầy đủ các yêu cầu quy định tại Thông tư này và có văn bản chấp thuận kết quả nghiệm thu đưa công trình vào sử dụng của cơ quan nhà nước có thẩm quyền theo quy định của pháp luật về xây dựng.
-
Đơn vị phân phối điện có trách nhiệm tuân thủ khoản 3 Điều này và thông báo cho Cấp điều độ có quyền điều khiển thời điểm sẵn sàng đưa công trình vào vận hành chính thức.
-
Trường hợp các thiết bị đóng điện mới của Đơn vị phân phối điện không đáp ứng các yêu cầu quy định tại Thông tư này, Cấp điều độ có quyền điều khiển có quyền tạm thời cô lập thiết bị hoặc lưới điện của Đơn vị phân phối điện ra khỏi vận hành và yêu cầu Đơn vị phân phối điện thực hiện các biện pháp bổ sung và khắc phục.
-
Đối với Khách hàng sử dụng điện có trạm điện riêng đấu nối vào lưới điện trung áp: Trong thời hạn 05 ngày làm việc kể từ ngày nhận đầy đủ hồ sơ đóng điện điểm đấu nối hợp lệ của Khách hàng sử dụng điện có trạm điện riêng đấu nối vào lưới điện trung áp theo quy định tại Điều 68 Thông tư này, Đơn vị phân phối điện có trách nhiệm phối hợp với khách hàng hoàn thành đóng điện chạy thử, nghiệm thu và đóng điện vận hành chính thức cho khách hàng có đề nghị đấu nối.
Điều 71. Thay thế, lắp đặt thêm thiết bị trên lưới điện phân phối
- Trường hợp Đơn vị phân phối điện có nhu cầu thay thế, nâng cấp, lắp đặt thêm các thiết bị điện trên lưới điện phân phối có khả năng ảnh hưởng đến cung cấp điện an toàn, tin cậy và liên tục của lưới điện phân phối, Đơn vị phân phối điện phải thỏa thuận bằng văn bản với Cấp điều độ có quyền điều khiển và thông báo cho các đơn vị liên quan về các thay đổi này.
- Trường hợp đề xuất của Đơn vị phân phối điện không được chấp thuận, Cấp điều độ có quyền điều khiển có trách nhiệm thông báo cho Đơn vị phân phối điện các yêu cầu bổ sung đối với các thiết bị mới dự kiến thay đổi.
- Toàn bộ thiết bị thay thế, bổ sung phải được thực hiện theo quy định tại Điều 69 và Điều 70 Thông tư này.
Mục 11
TÁCH ĐẤU NỐI VÀ KHÔI PHỤC ĐẤU NỐI
Điều 72. Quy định chung về tách đấu nối và khôi phục đấu nối
-
Các trường hợp tách đấu nối bao gồm:
a) Tách đấu nối tự nguyện;
b) Tách đấu nối bắt buộc.
2. Khách hàng sử dụng lưới điện phải chịu toàn bộ chi phí cho việc tách đấu nối và khôi phục đấu nối.
Điều 73. Tách đấu nối tự nguyện
1. Tách đấu nối vĩnh viễn
a) Các trường hợp tách đấu nối vĩnh viễn Khách hàng sử dụng lưới điện truyền tải, phân phối ra khỏi hệ thống điện và trách nhiệm của các bên liên quan phải được quy định trong hợp đồng mua bán điện và Thoả thuận đấu nối.
b) Khi có nhu cầu tách đấu nối vĩnh viễn ra khỏi hệ thống điện truyền tải, phân phối, Khách hàng sử dụng lưới điện có trách nhiệm:
- Thông báo bằng văn bản cho Đơn vị truyền tải điện, Đơn vị phân phối điện và Cấp điều độ có quyền điều khiển ít nhất 01 tháng (với lưới điện phân phối), 02 tháng (với lưới điện truyền tải) trước ngày dự kiến tách đấu nối vĩnh viễn trong trường hợp khách hàng không sở hữu các tổ máy phát điện đấu nối vào lưới điện;
- Thông báo bằng văn bản cho Đơn vị truyền tải điện, Đơn vị phân phối điện và Cấp điều độ có quyền điều khiển ít nhất 03 tháng(với lưới điện phân phối), 06 tháng (với lưới điện truyền tải) trước ngày dự kiến tách đấu nối vĩnh viễn trong trường hợp khách hàng sở hữu các tổ máy phát điện đấu nối vào lưới điện.
2. Tách đấu nối tạm thời
Khi có nhu cầu tách đấu nối tạm thời ra khỏi hệ thống điện, Khách hàng sử dụng lưới điện phải thông báo và thỏa thuận với Đơn vị truyền tải điện, Đơn vị phân phối điện và Cấp điều độ có quyền điều khiển về thời điểm và thời gian tách đấu nối tạm thời ít nhất 01 tháng (với lưới điện truyền tải) trước ngày dự kiến tách đấu nối tạm thời.
Điều 74. Tách đấu nối bắt buộc
- Đơn vị truyền tải điện, Đơn vị phân phối điện hoặc Cấp điều độ có quyền điều khiển có quyền tách đấu nối các thiết bị của Khách hàng sử dụng lưới điện ra khỏi hệ thống điện trong các trường hợp sau:
a) Theo yêu cầu tách đấu nối của cơ quan nhà nước có thẩm quyền khi Khách hàng sử dụng lưới điện vi phạm các quy định của pháp luật;
b) Các trường hợp tách đấu nối bắt buộc được quy định trong hợp đồng mua bán điện hoặc Thoả thuận đấu nối;
c) Trường hợp quy định tại khoản 5 Điều 53 Thông tư này.
2. Bộ Công Thương có quyền yêu cầu tách đấu nối bắt buộc trong trường hợp Khách hàng sử dụng lưới điện truyền tải vi phạm các quy định tại Thông tư này, quy định trong Giấy phép hoạt động điện lực, Quy định vận hành thị trường điện cạnh tranh.
3. Trường hợp Khách hàng sử dụng lưới điện truyền tải không thực hiện tách đấu nối bắt buộc thì bị xử lý theo quy định của pháp luật.
Điều 75. Khôi phục đấu nối
Đơn vị truyền tải điện, Đơn vị phân phối điện có trách nhiệm khôi phục đấu nối trong các trường hợp sau:
- Khi có yêu cầu khôi phục đấu nối của cơ quan nhà nước có thẩm quyền, Bộ Công Thương, Cấp điều độ có quyền điều khiển với điều kiện các nguyên nhân dẫn đến tách đấu nối bắt buộc đã được loại trừ và hậu quả đã được khắc phục và các khoản chi phí liên quan đã được khách hàng thanh toán.
- Khi có đề nghị khôi phục đấu nối của Khách hàng sử dụng lưới điện trong trường hợp tách đấu nối tạm thời và các khoản chi phí liên quan đã được khách hàng thanh toán.
Chương IV
VẬN HÀNH HỆ THỐNG ĐIỆN
Mục 1
NGUYÊN TẮC VẬN HÀNH HỆ THỐNG ĐIỆN
Điều 76. Các chế độ vận hành của hệ thống điện
-
Hệ thống điện ở chế độ vận hành bình thường khi đáp ứng các điều kiện sau:
a) Công suất phát và phụ tải ở trạng thái cân bằng;
b) Không thực hiện cắt tải sự cố điện;
c) Mức mang tải của đường dây và máy biến áp trong lưới điện cao áp, siêu cao áp đều dưới 90 % giá trị định mức;
d) Các nhà máy điện và thiết bị điện khác vận hành trong dải thông số cho phép;
đ) Tần số hệ thống điện trong phạm vi cho phép đối với chế độ vận hành bình thường theo quy định tại Điều 4 Thông tư này;
e) Điện áp tại các nút trên lưới điện cao áp, siêu cao áp trong phạm vi cho phép theo quy định tại Điều 6 Thông tư này đối với chế độ vận hành bình thường;
g) Các nguồn dự phòng của hệ thống điện quốc gia ở trạng thái sẵn sàng đảm bảo duy trì tần số và điện áp của hệ thống điện quốc gia trong dải tần số và điện áp ở chế độ vận hành bình thường; các thiết bị tự động làm việc trong phạm vi cho phép để khi xảy ra sự cố bất thường sẽ không phải cắt tải sự cố điện.
2. Hệ thống điện vận hành ở chế độ cảnh báo khi xuất hiện hoặc tồn tại một trong các điều kiện sau đây:
a) Mức dự phòng điều tần thứ cấp, dự phòng khởi động nhanh thấp hơn mức yêu cầu ở chế độ vận hành bình thường;
b) Mức mang tải của các đường dây và máy biến áp trong lưới điện cao áp, siêu cao áp từ 90 % trở lên nhưng không vượt quá giá trị định mức;
c) Điện áp tại một nút bất kỳ trên lưới điện cao áp, siêu cao áp ngoài phạm vi cho phép trong chế độ vận hành bình thường, nhưng trong dải điện áp cho phép đối với trường hợp xảy ra sự cố đơn lẻ trong hệ thống điện quy định tại Điều 6Thông tư này;
d) Có khả năng xảy ra thiên tai hoặc các điều kiện thời tiết bất thường có thể gây ảnh hưởng tới an ninh cung cấp điện;
đ) Có khả năng xảy ra các vấn đề về an ninh, quốc phòng đe dọa đến khả năng bảo đảm cung cấp điện.
3. Hệ thống điện vận hành ở chế độ khẩn cấp khi xuất hiện hoặc tồn tại một trong các điều kiện sau đây:
a) Tần số hệ thống điện vượt ra ngoài phạm vi cho phép của chế độ vận hành bình thường, nhưng trong dải tần số cho phép đối với trường hợp xảy ra sự cố đơn lẻ trong hệ thống điện quy định tại Điều 4Thông tư này;
b) Điện áp tại một nút bất kỳ trên lưới điện cao áp, siêu cao áp nằm ngoài dải điện áp cho phép đối với trường hợp xảy ra sự cố đơn lẻ quy định tại Điều 6Thông tư này;
c) Mức mang tải của bất kỳ thiết bị điện nào trong lưới điện cao áp, siêu cao áp hoặc thiết bị điện đấu nối vào lưới điện cao áp, siêu cao áp vượt quá giá trị định mức nhưng dưới 110 % giá trị định mức mà thiết bị này khi bị sự cố do quá tải có thể dẫn đến chế độ vận hành cực kỳ khẩn cấp.
4. Hệ thống điện vận hành ở chế độ cực kì khẩn cấp khi xuất hiện hoặc tồn tại một trong các điều kiện sau đây:
a) Tần số hệ thống điện nằm ngoài dải tần số cho phép đối với trường hợp
xảy ra sự cố đơn lẻ trong hệ thống điện quy định tại Điều 4 Thông tư này hoặc sau khi đã huy động hết nguồn dự phòng mà tần số tiếp tục có xu hướng giảm xuống dưới 49,5Hz;
b) Mức mang tải của bất kỳ thiết bị nào trong lưới điện cao áp, siêu cao áp hoặc thiết bị đấu nối với lưới điện cao áp, siêu cao áp từ 110% giá trị định mức trở lên mà thiết bị này khi bị sự cố do quá tải có thể dẫn đến tan rã từng phần hệ thống điện;
c) Điện áp tại nút bất kỳ trên lưới điện cao áp, siêu cao áp giảm thấp dẫn đến rơ le sa thải phụ tải theo điện áp thấp làm việc; điện áp trên lưới điện truyền tải thấp hơn 10% điện áp danh định hoặc mức dự phòng công suất phản kháng của hệ thống điện không đảm bảo và điện áp trên lưới điện cao áp, siêu cao áp có xu hướng giảm thấp hơn ngưỡng điện áp có nguy cơ sụp đổ điện áp hệ thống điện.
5. Hệ thống điện vận hành ở chế độ khôi phục khi các tổ máy phát điện, lưới điện cao áp, siêu cao áp và các phụ tải điện đã được đóng điện và đồng bộ để trở về trạng thái làm việc bình thường.
Điều 77. Nguyên tắc vận hành hệ thống điện
- Đơn vị truyền tải điện, Đơn vị phân phối điện và Khách hàng sử dụng lưới điện căn cứ vào kế hoạch vận hành, phương thức vận hành và lịch huy động của Đơn vị điều độ hệ thống điện quốc gia để lập kế hoạch vận hành nhà máy điện và lưới điện trong phạm vi quản lý đảm bảo không ảnh hưởng đến vận hành an toàn, tin cậy và ổn định hệ thống điện.
- Trong trường hợp có khả năng thừa nguồn, Đơn vị điều độ hệ thống điện quốc gia có quyền thực hiện ngay việc điều tiết giảm công suất phát các nguồn điện đang phát lên lưới theo đúng các quy định hiện hành đảm bảo tần số hệ thống điện nằm trong dải quy định, hệ thống điện vận hành an toàn, ổn định.
Mức điều tiết giảm công suất huy động của các nhà máy điện và loại hình nhà máy điện phải tiết giảm do Đơn vị điều độ hệ thống điện quốc gia tính toán và xác định phù hợp với cơ cấu nguồn điện đang phát, công suất truyền tải giữa các vùng miền, mức dự phòng quay và dự phòng khởi động nhanh cần thiết,… tại thời điểm phải tiết giảm theo nguyên tắc minh bạch giữa các loại hình nguồn điện.
Điều 78. Vận hành ổn định hệ thống điện
- Cấp điều độ có quyền điều khiển có trách nhiệm tính toán, xác định giới hạn vận hành ổn định của hệ thống điện. Đơn vị truyền tải điện, Đơn vị phân phối điện và Khách hàng sử dụng lưới điện truyền tải phải cung cấp thông tin theo yêu cầu của Đơn vị điều độ hệ thống điện quốc gia hệ thống điện và thị trường điện phục vụ cho việc nghiên cứu đánh giá ổn định hệ thống điện.
- Đơn vị điều độ hệ thống điện quốc gia có trách nhiệm xem xét, đánh giá khả năng bảo đảm cung cấp điện khi lập phương thức vận hành hệ thống điện để bảo đảm chế độ vận hành của hệ thống điện không vượt quá tiêu chuẩn ổn định hệ thống điện quy định tại Điều 5Thông tư này.
- Các Đơn vị phát điện có trách nhiệm vận hành nhà máy điện để duy trì điều chỉnh điện áp làm việc và đảm bảo cung cấp đủ công suất phản kháng cho hệ thống điện trong thời gian vận hành; không được tách các tổ máy phát điện ra khỏi vận hành khi xảy ra sự cố, trừ trường hợp sự cố có nguy cơ đe dọa đến tính mạng con người hoặc an toàn thiết bị hoặc tần số vượt quá giới hạn cho phép được quy định tại Điều 35 và Điều 40 Thông tư này hoặc được Đơn vị điều độ hệ thống điện quốc gia cho phép.
- Đơn vị truyền tải điện, Đơn vị phân phối điện và Khách hàng sử dụng điện nhận điện trực tiếp từ lưới điện truyền tải có trách nhiệm duy trì vận hành các thiết bị điều chỉnh điện áp trong lưới điện thuộc phạm vi quản lý của mình nhằm đảm bảo ổn định điện áp cho toàn hệ thống điện.
- Các đơn vị liên quan khác có trách nhiệm duy trì vận hành lưới điện, nhà máy điện thuộc phạm vi quản lý trong các giới hạn ổn định đã xác lập cho từng giai đoạn, phối hợp duy trì sơ đồ bảo vệ để loại trừ sự cố nhanh, nhạy và chọn lọc.
Điều 79. Thử nghiệm và giám sát thử nghiệm
- Đơn vị phát điện có trách nhiệm tiến hành các thử nghiệm đối với các tổ máy phát điện của mình theo yêu cầu của Đơn vị điều độ hệ thống điện quốc gia. Khi yêu cầu thử nghiệm, Đơn vị điều độ hệ thống điện quốc gia phải thông báo thời gian ngừng giám sát hoạt động tổ máy vì mục đích thử nghiệm.
- Thử nghiệm về đáp ứng công suất tự động của tổ máy phát điện theo các thay đổi của tần số hệ thống điện được thực hiện khi hệ thống điện vận hành trong chế độ bình thường. Trong trường hợp này, Đơn vị điều độ hệ thống điện quốc gia phải thông báo trước ít nhất 03 ngày làm việc về việc thử nghiệm tổ máy phát điện của Đơn vị phát điện để phối hợp thực hiện.
- Thử nghiệm chỉ được tiến hành trong giới hạn làm việc theo đặc tính vận hành của tổ máy phát điện và trong thời gian được thông báo tiến hành thử nghiệm.
- Cấp điều độ có quyền điều khiển có quyền thử nghiệm một tổ máy phát điện vào bất cứ thời gian nào nhưng không được thử nghiệm đối với một tổ máy phát điện quá 03 (ba) lần trong 01 năm, trừ các trường hợp quy định tại khoản 6 Điều 53 Thông tư này.
- Đơn vị phát điện có quyền yêu cầu thử nghiệm trong các trường hợp sau:
a) Kiểm tra lại các đặc tính vận hành của tổ máy phát điện đã được hiệu chỉnh sau mỗi lần xảy ra sự cố hư hỏng liên quan đến tổ máy phát điện;
b) Kiểm tra tổ máy phát điện sau khi lắp đặt, sửa chữa lớn, thay thế, cải tiến hoặc lắp ráp lại.
6. Khi có yêu cầu thử nghiệm tổ máy phát điện, Đơn vị phát điện phải đăng ký cho Đơn vị điều độ hệ thống điện quốc gia, trong đó ghi rõ các thông tin sau:
a) Lý lịch của tổ máy phát điện;
b) Các đặc tính của tổ máy phát điện;
c) Các giá trị của đặc tính vận hành dự định thay đổi trong quá trình thử nghiệm.
7. Trong thời hạn 03 ngày làm việc kể từ ngày nhận được yêu cầu hợp lệ của Đơn vị phát điện, Đơn vị điều độ hệ thống điện quốc gia có trách nhiệm xem xét bố trí kế hoạch thử nghiệm phù hợp với tình hình vận hành hệ thống điện. Trường hợp chưa thể thực hiện thử nghiệm, Đơn vị điều độ hệ thống điện quốc gia có thể yêu cầu Đơn vị phát điện vận hành tổ máy phát điện theo đặc tính vận hành hiện tại.
Mục 2
VẬN HÀNH HỆ THỐNG PHÂN PHỐI ĐIỆN TRONG TÌNH HUỐNG KHẨN CẤP
Điều 80. Tình huống khẩn cấp
- Tình huống khẩn cấp trên hệ thống phân phối điện là tình huống xảy ra mất điện toàn bộ hoặc một phần hệ thống truyền tải điện hoặc hệ thống phân phối điện gây ảnh hưởng đến chế độ vận hành bình thường hoặc gây mất điện trên diện rộng trong hệ thống phân phối điện.
- Các tình huống khẩn cấp bao gồm:
- Sự cố hoặc rã lưới toàn bộ hoặc một phần hệ thống truyền tải điện gây ảnh hưởng đến chế độ vận hành bình thường của hệ thống phân phối điện;
- Sự cố trên hệ thống truyền tải điện dẫn đến một phần hệ thống phân phối điện vận hành trong tình trạng tách đảo;
- Sự cố đường dây hoặc trạm điện phân phối cấp điện áp 110 kV gây mất điện trên diện rộng trong hệ thống phân phối điện.
Điều 81. Vận hành hệ thống phân phối điện trong trường hợp sự cố hoặc rã lưới toàn bộ hoặc một phần hệ thống truyền tải điện
-
Trường hợp sự cố trên hệ thống truyền tải điện làm ảnh hưởng tới chế độ vận hành bình thường hoặc mất điện trên lưới điện phân phối, Đơn vị phân phối điện có trách nhiệm:
a) Liên hệ ngay với Cấp điều độ có quyền điều khiển, Đơn vị truyền tải điện để biết thông tin về thời gian dự kiến ngừng cung cấp điện và phạm vi ảnh hưởng đến phụ tải của hệ thống phân phối điện do sự cố này;
b) Áp dụng các biện pháp điều khiển phụ tải và các biện pháp vận hành khác để giảm thiểu phạm vi ảnh hưởng do sự cố trên hệ thống truyền tải điện gây ra.
2. Trường hợp rã lưới toàn bộ hoặc một phần hệ thống truyền tải điện làm ảnh hưởng tới chế độ vận hành bình thường hoặc mất điện trên hệ thống phân phối điện, Đơn vị phân phối điện có trách nhiệm:
a) Tuân thủ Quy định điều độ, vận hành, thao tác, xử lý sự cố, khởi động đen và khôi phục hệ thống điện quốc gia do Bộ trưởng Bộ Công Thương ban hành;
b) Tách lưới điện phân phối thuộc quyền quản lý của đơn vị thành các vùng phụ tải riêng biệt theo Quy định điều độ, vận hành, thao tác, xử lý sự cố, khởi động đen và khôi phục hệ thống điện quốc gia do Bộ trưởng Bộ Công Thương ban hành;
c) Khôi phục phụ tải theo thứ tự ưu tiên tuân thủ phương thức đã được Cấp điều độ có quyền điều khiển phê duyệt trong phạm vi quản lý;
d) Đảm bảo thông tin liên lạc thông suốt phục vụ điều độ vận hành hệ thống phân phối điện cho đến khi hệ thống điện được khôi phục hoàn toàn.
3. Đơn vị phân phối điện và Khách hàng lớn sử dụng lưới điện phân phối phải đảm bảo thông tin liên lạc thông suốt, cử các nhân viên vận hành và thông báo danh sách (họ và tên, chức vụ, quyền hạn) của các nhân viên này cho các bên liên quan để phối hợp vận hành trong suốt quá trình xử lý và khôi phục tình huống khẩn cấp.
Điều 82. Vận hành hệ thống phân phối điện trong trường hợp tách đảo
- Trường hợp một phần hệ thống phân phối điện bị tách đảo, Cấp điều độ có quyền điều khiển phải xem xét và quyết định việc vận hành các nhà máy điện đấu nối với phần lưới điện phân phối này. Cấp điều độ có quyền điều khiển phải chỉ huy điều độ các nhà máy điện vận hành ở chế độ tách đảo và đảm bảo sẵn sàng hòa đồng bộ với hệ thống điện khi có lệnh từ điều độ cấp trên.
- Trường hợp nhà máy điện được thiết kế có chế độ vận hành tách đảo độc lập và đã có sự thống nhất với Cấp điều độ có quyền điều khiển, Đơn vị phát điện có thể sử dụng hệ thống tự dùng để cung cấp điện cho phụ tải hoặc thiết bị của khách hàng khác với các điều kiện sau:
a) Nhà máy được trang bị đầy đủ về hệ thống rơ le bảo vệ và có các phương thức điều khiển đối với các tổ máy cả ở chế độ tách đảo và chế độ vận hành nối với hệ thống phân phối điện;
b) Đảm bảo khả năng xác định và cắt các sự cố trong khi vận hành tách đảo để bảo vệ các tổ máy và lưới điện của Khách hàng sử dụng lưới điện phân phối khác trong phần lưới điện phân phối bị tách đảo;
c) Đảm bảo yêu cầu nối đất trung tính của phần lưới điện phân phối bị tách đảo.
3. Trường hợp phần hệ thống phân phối điện bị tách đảo không có khả năng hòa đồng bộ với phần hệ thống điện đã được phục hồi, Cấp điều độ có quyền điều khiển phải tách các nhà máy điện đấu nối với phần lưới điện phân phối bị tách đảo để khôi phục cung cấp điện cho vùng bị tách đảo từ hệ thống điện đã được phục hồi, sau đó khôi phục vận hành các nhà máy điện đã bị tách.
Điều 83. Vận hành hệ thống phân phối điện khi xảy ra sự cố nghiêm trọng trên lưới điện phân phối cấp điện áp 110 kV
Trường hợp xảy ra sự cố trên đường dây hoặc trạm điện phân phối cấp điện áp 110 kV gây mất điện trên diện rộng trong hệ thống phân phối điện, Đơn vị phân phối điện có trách nhiệm:
- Khẩn trương cô lập và xử lý sự cố tuân thủ Quy định điều độ, vận hành, thao tác, xử lý sự cố, khởi động đen và khôi phục hệ thống điện quốc gia do Bộ trưởng Bộ Công Thương ban hành.
- Thông báo thông tin sự cố cho Cấp điều độ có quyền điều khiển, Đơn vị truyền tải điện và Khách hàng sử dụng lưới điện phân phối có trạm điện riêng bị ảnh hưởng của sự cố.
- Thay đổi phương thức kết dây, đảm bảo tối đa khả năng cung cấp điện cho phụ tải hệ thống phân phối điện trong thời gian sự cố.
Điều 84. Khôi phục hệ thống phân phối điện
-
Khi hệ thống phân phối điện bị tan rã, vận hành ở chế độ tách đảo hoặc khi xảy ra sự cố lớn trên lưới điện phân phối, Đơn vị phân phối điện có trách nhiệm phối hợp với Cấp điều độ có quyền điều khiển, Đơn vị truyền tải điện, Khách hàng sử dụng lưới điện phân phối có trạm điện riêng và các đơn vị liên quan đưa hệ thống phân phối điện về chế độ vận hành bình thường trong thời gian sớm nhất.
-
Đơn vị phân phối điện có trách nhiệm phân vùng phụ tải có quy mô phù hợp với khả năng khởi động đen của các nhà máy điện và thông báo cho Cấp điều độ có quyền điều khiển để bảo đảm nhanh chóng khôi phục hệ thống phân phối điện.
-
Các nhà máy điện đấu nối vào lưới điện phân phối trong chế độ vận hành tách đảo và hòa đồng bộ phải tuân theo lệnh điều độ của Cấp điều độ có quyền điều khiển.
-
Trường hợp lưới điện phân phối không có các nhà máy điện có khả năng tự khởi động để vận hành tách đảo, lưới điện phân phối chỉ được khôi phục từ hệ thống truyền tải điện thì Đơn vị phân phối điện phải thực hiện khôi phục hệ thống phân phối điện theo lệnh của Cấp điều độ có quyền điều khiển. Đơn vị phân phối điện phải khôi phục phụ tải theo thứ tự ưu tiên và theo kế hoạch đã được phê duyệt.
-
Đơn vị phân phối điện có trách nhiệm thông báo cho Khách hàng sử dụng lưới điện phân phối có trạm điện riêng để phối hợp trong quá trình xử lý sự cố khôi phục hệ thống phân phối điện.
Mục 3
DỊCH VỤ PHỤ TRỢ
Điều 85. Các loại dịch vụ phụ trợ
Các loại dịch vụ phụ trợ trong hệ thống điện bao gồm:
-
Điều chỉnh tần số thứ cấp (Điều tần thứ cấp).
-
Khởi động nhanh.
-
Điều chỉnh điện áp.
-
Dự phòng vận hành phải phát.
-
Khởi động đen.
Điều 86. Yêu cầu kỹ thuật đối với các dịch vụ phụ trợ
-
Điều tần thứ cấp: Tổ máy phát điện, nhà máy điện cung cấp dịch vụ điều tần thứ cấp phải có khả năng bắt đầu cung cấp công suất điều tần trong vòng 20 giây kể từ khi nhận được tín hiệu AGC từ Đơn vị điều độ hệ thống điện quốc gia và cung cấp toàn bộ công suất điều tần thứ cấp đã đăng ký trong vòng 10 phút và duy trì mức công suất này tối thiểu 15 phút.
-
Khởi động nhanh: Tổ máy phát điện, nhà máy điện cung cấp dự phòng khởi động nhanh phải có khả năng tăng đến công suất định mức trong vòng 25 phút và duy trì ở mức công suất này tối thiểu 08 giờ.
-
Điều chỉnh điện áp: Tổ máy phát điện, nhà máy điện cung cấp dịch vụ điều chỉnh điện áp phải có khả năng thay đổi công suất phản kháng ngoài dải điều chỉnh quy định tại khoản 2 Điều 35 và khoản 4 Điều 40 Thông tư này, đáp ứng yêu cầu của Đơn vị điều độ hệ thống điện quốc gia.
-
Dự phòng vận hành phải phát: Tổ máy phát điện, nhà máy điện cung cấp dịch vụ dự phòng vận hành phải phát để bảo đảm khả năng cung cấp điện phải có khả năng tăng đến công suất định mức trong vòng 01 giờ và duy trì mức công suất định mức tối thiểu trong 08 giờ (không bao gồm thời gian khởi động).
-
Khởi động đen: Tổ máy phát điện, nhà máy điện cung cấp dịch vụ khởi động đen phải có khả năng tự khởi động từ trạng thái nguội mà không cần nguồn cấp từ hệ thống điện quốc gia và phải có khả năng kết nối, cấp điện cho hệ thống điện sau khi đã khởi động thành công.
Mục 4
PHỐI HỢP VẬN HÀNH, TRAO ĐỔI THÔNG TIN SỰ CỐ
VÀ CÁC CHẾ ĐỘ BÁO CÁO VẬN HÀNH
Điều 87. Trách nhiệm chung trong phối hợp vận hành
-
Đơn vị truyền tải điện, Đơn vị phân phối điện và Khách hàng sử dụng lưới điện phải thống nhất về trách nhiệm, phạm vi vận hành đối với thiết bị trên lưới điện liên quan giữa hai bên; cử nhân viên vận hành phối hợp vận hành an toàn lưới điện và thiết bị để đảm bảo hệ thống truyền tải điện vận hành ổn định, an toàn và tin cậy.
-
Đơn vị truyền tải điện, Đơn vị phân phối điện và Khách hàng sử dụng lưới điện phải phối hợp, chia sẻ thông tin, thiết lập, duy trì liên lạc và thực hiện các biện pháp an toàn cần thiết khi tiến hành công tác hoặc thử nghiệm trong phạm vi quản lý của mình.
-
Đơn vị truyền tải điện, Đơn vị phân phối điện và Khách hàng sử dụng lưới điện phải xây dựng quy trình phối hợp vận hành để đảm bảo an toàn cho người và thiết bị trong công tác vận hành, thử nghiệm và bảo dưỡng, sửa chữa.
-
Khi thực hiện công tác, thao tác trên lưới điện, Đơn vị truyền tải điện, Đơn vị phân phối điện và Khách hàng sử dụng lưới điện phải tuân thủ quy định phối hợp vận hành an toàn và các quy định điều độ, vận hành, thao tác an toàn khác có liên quan.
-
Đơn vị truyền tải điện, Đơn vị phân phối điện và Khách hàng sử dụng lưới điện có trách nhiệm phối hợp lắp đặt các biển báo, thiết bị cảnh báo và hướng dẫn an toàn, cung cấp các phương tiện phục vụ công tác phù hợp tại vị trí công tác để đảm bảo công tác an toàn.
-
Việc kiểm tra, giám sát và điều khiển thiết bị đấu nối tại ranh giới phân định tài sản phải do Nhân viên vận hành của Đơn vị truyền tải điện, Đơn vị phân phối điện và Khách hàng sử dụng lưới điện thực hiện.
-
Các đơn vị liên quan có trách nhiệm phối hợp vận hành an toàn để đảm bảo tuân thủ quy định về vận hành an toàn lưới điện, các thiết bị điện đấu nối vào lưới điện.
Điều 88. Báo cáo kết quả vận hành lưới điện
- Đơn vị truyền tải điện, Đơn vị phân phối điện có trách nhiệm báo cáo định kỳ về các nội dung sau:
a) Tình hình vận hành lưới điện;
b) Đánh giá việc thực hiện các tiêu chuẩn vận hành quy định tại Chương IIThông tư này;
c) Tình hình quá tải, sự cố thiết bị và nguyên nhân, đề xuất các biện pháp để đảm bảo vận hành lưới điện an toàn, tin cậy và hiệu quả;
d) Các chỉ số đánh giá chất lượng hoạt động quy định tại Điều 155Thông tư này và giải trình lý do không thực hiện đáp ứng các chỉ số;
đ) Tình trạng kết nối tín hiệu SCADA của các trạm điện với Cấp điều độ có quyền điều khiển.
e) Độ tin cậy cung cấp điện;
g) Chất lượng dịch vụ khách hàng.
2. Thời điểm báo cáo định kỳ
a) Trước ngày 15 tháng 01 hàng năm, Đơn vị truyền tải điện, Tổng công ty Điện lực có trách nhiệm báo cáo Bộ Công Thương và Đơn vị điều độ hệ thống điện quốc gia kết quả vận hành lưới điện năm trước, bao gồm các nội dung quy định tại khoản 1 Điều này;
b) Trước ngày 15 hàng tháng, Đơn vị truyền tải điện, Tổng công ty Điện lực có trách nhiệm báo cáo Bộ Công Thương và Đơn vị điều độ hệ thống điện quốc gia kết quả vận hành lưới điện tháng trước, bao gồm các nội dung quy định tại khoản 1 Điều này.
3. Đơn vị truyền tải điện, Đơn vị phân phối điện có trách nhiệm báo cáo đột xuất tình hình vận hành lưới điện khi có yêu cầu của Bộ Công Thương, Sở Công Thương, Tập đoàn Điện lực Việt Nam, Đơn vị điều độ hệ thống điện quốc gia.
4. Đơn vị truyền tải điện, Đơn vị phân phối điện có trách nhiệm báo cáo theo quy định tại khoản 1, khoản 2 và khoản 3 Điều này bằng văn bản theo đường văn thư và thư điện tử (email).
Chương V:
YÊU CẦU ĐỐI VỚI HỆ THỐNG ĐO ĐẾM
Mục 1
YÊU CẦU CHUNG ĐỐI VỚI HỆ THỐNG ĐO ĐẾM
Điều 89. Nguyên tắc xác định vị trí đo đếm
- Vị trí đo đếm chính được xác định phải trùng hoặc liền kề với điểm đấu nối.
- Đối với cấp điện áp từ trung áp trở lên, tại mỗi điểm đấu nối phải xác định vị trí đo đếm chính và các vị trí đo đếm dự phòng. Vị trí và số lượng đo đếm dự phòng được xác định chính xác theo cấp điện áp và tính chất đặc thù của vị trí đo đếm.
- Đối với cấp điện áp hạ áp, tại mỗi điểm đấu nối phải xác định một vị trí đo đếm chính.
- Trường hợp không đủ điều kiện để bố trí vị trí đo đếm theo quy định tại khoản 1 Điều này, các đơn vị liên quan phải thỏa thuận vị trí đo đếm thay thế đồng thời xác định phương thức quy đổi điện năng từ vị trí đo đếm thay thế về điểm đấu nối vào lưới điện của bên mua điện. Trong trường hợp này, phương pháp quy đổi phải xét đến tổn thất trên máy biến áp và đường dây liên hệ giữa vị trí đo đếm thay thế với điểm đấu nối trong quá trình vận hành để quy đổi điện năng từ vị trí đo đếm thay thế về điểm đấu nối trong quá trình giao nhận và thanh toán.
Điều 90. Vị trí đo đếm của nhà máy điện
- Trường hợp Đơn vị phát điện sở hữu nhà máy điện tham gia thị trường điện cạnh tranh hoặc nhà máy điện lớn
a) Tại mỗi điểm đấu nối phải xác định 01 (một) vị trí đo đếm chính và 02 (hai) vị trí đo đếm dự phòng;
b) Điểm đấu nối thuộc trạm điện của Đơn vị phát điện
-
- Vị trí đo đếm chính được xác định tại máy cắt tổng hoặc đầu cực phía cao áp của máy biến áp tăng áp đấu nối trực tiếp với lưới điện, trừ trường hợp có thoả thuận khác;
- Vị trí đo đếm dự phòng 01 được xác định tại các xuất tuyến lộ đường dây của trạm điện tại nhà máy điện, trừ trường hợp có thoả thuận khác;
- Vị trí đo đếm dự phòng 02 được xác định tại đầu cực máy phát, trừ trường hợp có thoả thuận khác.
c) Điểm đấu nối không thuộc trạm điện của Đơn vị phát điện
-
- Trường hợp trạm điện của Đơn vị phát điện chỉ có 01 đường dây đấu nối vào hệ thống điện qua điểm đấu nối và không có điện năng đi vòng qua thanh cái trạm điện của Đơn vị phát điện thì vị trí đo đếm chính trùng hoặc liền kề với điểm đấu nối;
- Trường hợp trạm điện của Đơn vị phát điện có từ 02 đường dây trở lên đấu nối vào hệ thống điện qua điểm đấu nối và có điện năng vòng qua thanh cái trạm điện của Đơn vị phát điện thì vị trí đo đếm chính được xác định theo quy định tại Điểm b khoản này;
- Vị trí đo đếm dự phòng 01 được xác định theo thỏa thuận giữa các bên liên quan;
- Vị trí đo đếm dự phòng 02 được xác định theo quy định tại Điểm b khoản này.
d) Trường hợp vị trí đo đếm chính hoặc các vị trí đo đếm dự phòng được xác định tại trạm điện của Đơn vị quản lý lưới điện thì phải có thoả thuận giữa Đơn vị phát điện, Đơn vị quản lý lưới điện, Công ty Mua bán điện và Đơn vị giao nhận điện liên quan (nếu có).
2. Trường hợp Đơn vị phát điện sở hữu nhà máy điện nhỏ không tham gia thị trường điện
a) Tại mỗi điểm đấu nối phải xác định 01 (một) vị trí đo đếm chính và 01 (một) vị trí đo đếm dự phòng;
b) Vị trí đo đếm chính và vị trí đo đếm dự phòng được xác định theo quy định tại Điểm b, Điểm c và Điểm d khoản 1 Điều này.
Điều 91. Vị trí đo đếm của Khách hàng sử dụng điện hoặc Đơn vị phân phối điện, Đơn vị bán lẻ điện đấu nối vào cấp điện áp từ trung áp trở lên
-
Đối với các điểm đấu nối cấp điện áp từ 110 kV trở lên, tại mỗi điểm đấu nối phải xác định 01 (một) vị trí đo đếm chính và 01 (một) vị trí đo đếm dự phòng.
-
Đối với các đấu nối cấp điện áp trung áp, Khách hàng sử dụng điện hoặc Đơn vị bán lẻ điện có thể thỏa thuận với Đơn vị phân phối điện vị trí đo đếm dự phòng nếu thấy cần thiết.
-
Đối với các đấu nối phục vụ giao nhận giữa Đơn vị phân phối điện, Đơn vị bán lẻ điện với Khách hàng sử dụng điện: Vị trí đo đếm chính và vị trí đo đếm dự phòng (nếu có) được xác định theo thỏa thuận giữa hai bên phù hợp với quy định tại Thông tư này.
-
Điểm đấu nối thuộc trạm điện của Đơn vị truyền tải điện hoặc Đơn vị phân phối điện
a) Vị trí đo đếm chính được xác định tại điểm đấu nối, trừ trường hợp có thoả thuận khác;
b) Vị trí đo đếm dự phòng (nếu có) được xác định theo thoả thuận giữa các bên liên quan.
5. Điểm đấu nối thuộc trạm điện của Khách hàng sử dụng điện hoặc Đơn vị phân phối điện, Đơn vị bán lẻ điện
a) Vị trí đo đếm chính được xác định tại máy cắt tổng hoặc đầu cực phía cao áp của máy biến áp đấu nối trực tiếp với lưới điện, trừ trường hợp có thoả thuận khác;
b) Vị trí đo đếm dự phòng
- Đối với cấp điện áp từ 110 kV trở lên: Được xác định tại các xuất tuyến lộ đường dây của trạm điện đấu nối trực tiếp với lưới điện, trừ trường hợp có thoả thuận khác;
- Đối với cấp điện áp trung áp: Được xác định theo thỏa thuận giữa các bên liên quan.
6. Trường hợp điểm đấu nối khác với quy định tại khoản 4 và khoản 5 Điều này, vị trí đo đếm chính và vị trí đo đếm dự phòng được xác định theo thoả thuận giữa các bên liên quan.
Điều 92. Vị trí đo đếm giữa lưới điện truyền tải và lưới điện phân phối
-
Tại mỗi điểm đấu nối phải xác định 01 (một) vị trí đo đếm chính và 01 (một) vị trí đo đếm dự phòng.
-
Điểm đấu nối thuộc trạm điện của Đơn vị truyền tải điện
a) Vị trí đo đếm chính được xác định tại máy cắt tổng hoặc đầu cực phía hạ áp của máy biến áp tại trạm điện của Đơn vị truyền tải điện, trừ trường hợp có thoả thuận khác;
b) Vị trí đo đếm dự phòng được xác định tại các xuất tuyến lộ đường dây của trạm điện của Đơn vị truyền tải điện, trừ trường hợp có thoả thuận khác.
3. Điểm đấu nối thuộc trạm điện của Đơn vị phân phối điện
a) Vị trí đo đếm chính được xác định tại máy cắt tổng hoặc đầu cực phía cao áp của máy biến áp phân phối đấu nối trực tiếp với lưới điện truyền tải, trừ trường hợp có thoả thuận khác;
b) Vị trí đo đếm dự phòng được xác định tại các xuất tuyến lộ đường dây của trạm điện của Đơn vị phân phối điện, trừ trường hợp có thoả thuận khác.
Điều 93. Vị trí đo đếm giữa hai lưới điện truyền tải
-
Tại mỗi điểm đấu nối phải xác định 01 (một) vị trí đo đếm chính và 01 (một) vị trí đo đếm dự phòng.
-
Điểm đấu nối thuộc trạm điện của Đơn vị truyền tải điện
-
Vị trí đo đếm chính được xác định tại máy cắt tổng hoặc đầu cực phía hạ áp của máy biến áp tại trạm điện của Đơn vị truyền tải điện, trừ trường hợp có thoả thuận khác;
-
Vị trí đo đếm dự phòng được xác định tại các xuất tuyến lộ đường dây của trạm điện của Đơn vị truyền tải điện, trừ trường hợp có thoả thuận khác.
Điều 94. Vị trí đo đếm giữa hai Đơn vị phân phối điện
Vị trí đo đếm chính và vị trí đo đếm dự phòng được xác định theo thỏa thuận giữa các Đơn vị phân phối điện và Đơn vị giao nhận điện liên quan.
Điều 95. Vị trí đo đếm cấp điện áp hạ áp
Vị trí đo đếm đối với Khách hàng sử dụng lưới điện phân phối đấu nối cấp điện áp hạ áp được xác định tại điểm đấu nối của Khách hàng sử dụng lưới điện phân phối, trừ trường hợp có thỏa thuận khác.
Điều 96. Yêu cầu đối với Hệ thống đo đếm
-
Hệ thống đo đếm chính được lắp đặt tại vị trí đo đếm chính, phải xác định chính xác, đầy đủ các đại lượng đo đếm mua bán điện và loại trừ được các yếu tố ảnh hưởng đến kết quả đo đếm bởi kết cấu mạch vòng của hệ thống điện để làm căn cứ chính phục vụ tính toán, thanh toán điện năng qua điểm đấu nối.
-
Hệ thống đo đếm dự phòng được lắp đặt tại vị trí đo đếm dự phòng để thực hiện các chức năng sau:
-
Thay thế cho Hệ thống đo đếm chính để làm cơ sở tính toán các đại lượng mua bán điện trong trường hợp Hệ thống đo đếm chính hoạt động không chính xác hoặc bị sự cố căn cứ vào kết quả kiểm định của Đơn vị thử nghiệm, kiểm định và biên bản thống nhất của các bên liên quan;
-
Kiểm tra, giám sát kết quả đo đếm của Hệ thống đo đếm chính trong điều kiện Hệ thống đo đếm chính làm việc bình thường;
-
Kết hợp với Hệ thống đo đếm chính và các Hệ thống đo đếm dự phòng khác để tính toán sản lượng điện năng phục vụ thanh toán trong một số trường hợp đặc biệt.
-
Thiết bị đo đếm phải đảm bảo đáp ứng các yêu cầu kỹ thuật về đo lường và được phê duyệt mẫu, kiểm định, thử nghiệm theo quy định của pháp luật về đo lường.
-
Không sử dụng CT lắp đặt hợp bộ tại chân sứ máy biến áp, máy cắt cho Hệ thống đo đếm phục vụ mua bán điện.
Điều 97. Yêu cầu đối với mạch đo
- Cuộn thứ cấp của CT và cáp nhị thứ nối với công tơ đo đếm của Hệ thống đo đếm chính không được sử dụng cho mục đích khác và phải độc lập với Hệ thống đo đếm dự phòng. Đối với CT của hệ thống đo đếm dự phòng, cuộn thứ cấp đo lường có thể dùng chung cho cả công tơ đo đếm và thiết bị đo lường, điều khiển khác, với điều kiện việc sử dụng chung mạch nhị thứ phải được thiết kế đảm bảo an toàn và hoạt động chính xác của hệ thống đo đếm dự phòng. Không sử dụng cuộn thứ cấp đo lường cấp điện chung cho công tơ đo đếm và thiết bị bảo vệ.
- Cáp nhị thứ nối từ cuộn thứ cấp VT với công tơ đo đếm của Hệ thống đo đếm chính không được sử dụng cho mục đích khác và phải độc lập với Hệ thống đo đếm dự phòng.
- Cáp nhị thứ của mạch đo phải được đi theo đường ngắn nhất, số lượng điểm nối qua hàng kẹp ít nhất và phải có đủ điều kiện thực hiện biện pháp niêm phong, kẹp chì tủ hàng kẹp hoặc điểm nối. Cáp nhị thứ của Hệ thống đo đếm chính phải đi riêng và nối trực tiếp từ hộp đấu dây của CT, tủ trung gian của VT đến tủ công tơ đo đếm mà không qua hàng kẹp tại tủ trung gian. Loại cáp nhị thứ của mạch đo phải là dây điện có ruột dẫn mềm, hai lớp cách điện.
- Trường hợp công tơ đo đếm được cấp điện áp từ một trong những VT thanh cái thông qua bộ chuyển mạch điện áp, các đầu đấu dây bộ chuyển mạch điện áp phải đảm bảo điều kiện niêm phong kẹp chì và công tơ đo đếm phải được lập trình để ghi lại thời điểm và khoảng thời gian chuyển mạch điện áp.
- Phụ tải mạch thứ cấp đo lường sau CT, VT phải trong giới hạn dung lượng định mức của CT, VT theo quy định của nhà chế tạo.
- Mạch nhị thứ đo đếm phải được đấu nối đảm bảo việc niêm phong kẹp chì không ảnh hưởng đến mạch nhị thứ điều khiển và bảo vệ.
- Trường hợp mạch dòng điện của Hệ thống đo đếm dự phòng sử dụng chung với các thiết bị đo lường khác, công tơ đo đếm phải được đấu trước các thiết bị đo lường, đồng thời phải đảm bảo không làm ảnh hưởng tới độ chính xác của Hệ thống đo đếm dự phòng và đủ điều kiện thực hiện niêm phong kẹp chì mạch dòng điện từ hộp đấu dây của CT đến công tơ đo đếm.
- Các hộp nối thử nghiệm được lắp đặt để phục vụ cho việc kiểm định thiết bị đo đếm phải đủ điều kiện niêm phong, kẹp chì. Trường hợp cuộn thứ cấp cho Hệ thống đo đếm và cuộn thứ cấp bảo vệ được đặt chung một hộp đấu dây thứ cấp và không thể niêm phong toàn bộ hộp đấu dây thứ cấp thì phải có biện pháp niêm phong riêng cuộn thứ cấp cho Hệ thống đo đếm để đảm bảo chống can thiệp trái phép.
- Đối với các vị trí đo đếm chính của nhà máy điện lớn và nhà máy điện tham gia thị trường điện, trường hợp công tơ đo đếm không được cấp nguồn nuôi liên tục từ hệ thống điện áp thứ cấp đo lường thì phải trang bị thêm nguồn nuôi dự phòng cho công tơ đo đếm từ hệ thống mạch cấp nguồn điệp áp dự phòng đảm bảo công tơ đo đếm vận hành liên tục. Việc cấp nguồn dự phòng cho công tơ đo đếm phải đảm bảo hoạt động chính xác của công tơ đo đếm và các yêu cầu kỹ thuật của mạch đo.
Điều 98. Yêu cầu đối với niêm phong kẹp chì và bảo mật
- Toàn bộ Hệ thống đo đếm bao gồm hộp đấu dây CT, VT, công tơ đo đếm, mạch dòng điện, mạch điện áp, mạch logic chuyển đổi và hộp nối thử nghiệm (nếu có) phải được niêm phong, kẹp chì để chống can thiệp trái phép theo đúng quy định của pháp luật.
- Đơn vị phân phối điện, Đơn vị bán lẻ điện ban hành quy định sử dụng kìm niêm, chì niêm hộp đấu dây (CT, VT, công tơ đo đếm), hộp bảo vệ công tơ đo đếm và quyết định số lượng kìm niêm, chì niêm hộp đấu dây (CT, VT, công tơ đo đếm), hộp bảo vệ công tơ đo đếm phù hợp với số lượng thiết bị đo đếm trong phạm vi quản lý và thực hiện đăng ký số lượng, mã hiệu mặt chì niêm theo quy định.
- Đối với các Hệ thống đo đếm có trang bị Hệ thống thu thập số liệu đo đếm, số liệu đo đếm sau khi được đọc và thu thập từ các vị trí đo đếm phải được bảo mật, mã hóa để tránh sự can thiệp trái phép.
- Phần mềm quản lý hệ thống đọc, truyền và tổng hợp số liệu đo đếm điện năng phải được bảo mật bằng nhiều cấp mật khẩu để đảm bảo tính bảo mật, chính xác và tin cậy của số liệu đo đếm.
Điều 99. Quản lý mật khẩu công tơ đo đếm
-
Mật khẩu công tơ đo đếm phải chia thành 03 (ba) mức truy cập khác nhau nhằm phục vụ yêu cầu quản lý vận hành công tơ đo đếm và được quy ước như sau:
-
Mật khẩu "Cài đặt” là mức mật khẩu cho phép truy nhập công tơ đo đếm để cài đặt, thay đổi các thông số và chương trình làm việc của công tơ đo đếm. Mật khẩu này được sử dụng để cài đặt một hoặc toàn bộ các thông số của công tơ đo đếm và chỉ người có trách nhiệm hoặc có thẩm quyền mới được sử dụng;
-
Mật khẩu "Đồng bộ thời gian” là mức mật khẩu cho phép truy nhập công tơ đo đếm để đọc số liệu và đồng bộ thời gian của công tơ đo đếm. Mật khẩu này không cho phép cài đặt, thay đổi các thông số và chương trình làm việc của công tơ đo đếm và chỉ người có trách nhiệm hoặc có thẩm quyền mới được sử dụng;
-
Mật khẩu "Chỉ đọc” là mức mật khẩu cho phép truy nhập công tơ đo đếm để đọc số liệu nhưng không cho phép thay đổi các thông số cài đặt và chương trình làm việc của công tơ đo đếm. Mật khẩu này được sử dụng để thu thập số liệu công tơ đo đếm tại chỗ hoặc từ xa.
-
Nội dung các mức mật khẩu của mỗi công tơ đo đếm phải được cài đặt khác nhau. Các mật khẩu công tơ đo đếm phải được lưu trữ, bảo mật trong từng phong bì có niêm phong dán kín tương ứng với từng công tơ đo đếm.
-
Các phong bì mật khẩu công tơ đo đếm phải được bàn giao cho người có trách nhiệm quản lý và lưu trữ. Người quản lý có trách nhiệm tổng hợp các phong bì mật khẩu công tơ đo đếm thành một bộ hồ sơ mật khẩu công tơ đo đếm với các nội dung sau: Chủng loại công tơ đo đếm, số công tơ đo đếm, Đơn vị sở hữu hệ thống đo đếm, Đơn vị quản lý vận hành hệ thống đo đếm.
-
Việc bàn giao phong bì mật khẩu công tơ đo đếm trong quá trình quản lý lưu trữ hoặc sử dụng mật khẩu công tơ đo đếm phải được ghi nhận bằng biên bản có chữ ký xác nhận của hai bên tiếp nhận và bàn giao.
-
Đối với các công tơ đo đếm sử dụng mật khẩu cài đặt là khóa cứng thì phải được niêm phong đảm bảo không thể can thiệp được vào công tơ đo đếm nếu không phá bỏ niêm phong.
-
Đơn vị sở hữu hệ thống đo đếm hoặc Đơn vị quản lý vận hành hệ thống đo đếm có trách nhiệm trong việc quản lý, bảo mật các mật khẩu "Chỉ đọc” của công tơ đo đếm.
-
Đơn vị thử nghiệm, kiểm định có trách nhiệm trong việc quản lý, bảo mật mật khẩu "Cài đặt” của công tơ đo đếm.
-
Đơn vị quản lý số liệu đo đếm có trách nhiệm trong việc quản lý, bảo mật mật khẩu "Đồng bộ thời gian” của công tơ đo đếm.
Điều 100. Quản lý hồ sơ phục vụ đo đếm, giao nhận điện năng
Trong quá trình thiết kế, đầu tư, quản lý vận hành và giao nhận, thanh toán, các đơn vị liên quan có trách nhiệm quản lý và lưu trữ các hồ sơ sau:
-
Đo đếm, giao nhận điện năng giữa nhà máy điện với lưới điện hoặc giao nhận điện năng giữa lưới điện truyền tải với lưới điện phân phối
a) Hồ sơ thiết kế kỹ thuật Hệ thống đo đếm đã được thỏa thuận thống nhất giữa các bên liên quan theo quy định;
b) Bản sao có chứng thực Giấy chứng nhận kiểm định đối với CT, VT, công tơ đo đếm của Đơn vị thử nghiệm, kiểm định trong trường hợp sử dụng với dấu kiểm định kiểu 1;
c) Biên bản thử nghiệm đối với CT, VT và công tơ đo đếm của Đơn vị thử nghiệm, kiểm định;
d) Biên bản kiểm tra, thử nghiệm tổng mạch nhị thứ của Hệ thống đo đếm của Đơn vị thử nghiệm, kiểm định;
đ) Biên bản cài đặt thông số của công tơ đo đếm;
e) Biên bản nghiệm thu hoàn thành lắp đặt Hệ thống đo đếm, ngày kiểm định và ký hiệu chì kiểm định;
g) Biên bản nghiệm thu hoàn thành lắp đặt Hệ thống thu thập số liệu đo đếm;
h) Biên bản nghiệm thu, kiểm định, xử lý sự cố và thay thế thiết bị của Hệ thống đo đếm trong quá trình quản lý, vận hành;
i) Bản vẽ hoàn công mạch nhị thứ đo đếm và Hệ thống thu thập số liệu đo đếm;
k) Các biên bản liên quan đến việc ghi, chốt chỉ số công tơ đo đếm phục vụ thanh quyết toán điện năng giao nhận.
2. Giao nhận điện năng giữa bên bán điện với Khách hàng sử dụng điện
a) Cấp điện áp từ 110 kV trở lên: Các tài liệu được quy định tại khoản 1 Điều này;
b) Cấp điện áp trung áp: Các tài liệu được quy định tại Điểm a, Điểm b (nếu có), Điểm c, Điểm d, Điểm e, Điểm g (nếu có) và Điểm k (nếu có) khoản 1 Điều này;
c) Cấp điện áp hạ áp: Các tài liệu được quy định tại Điểm b (nếu có), Điểm đ (nếu có), Điểm e khoản 1 Điều này.
Mục 2
YÊU CẦU ĐỐI VỚI HỆ THỐNG ĐO ĐẾM
Điều 101. Cấu hình của Hệ thống đo đếm
-
Cấu hình của Hệ thống đo đếm bao gồm:
a) Công tơ đo đếm;
b) CT;
c) VT;
d) Mạch điện và cáp nhị thứ đo đếm;
đ) Thiết bị phục vụ thu thập số liệu đo đếm;
e) Thiết bị bảo vệ an toàn, vị trí niêm phong, kẹp chì;
g) Thiết bị phụ trợ, tủ công tơ đo đếm, hộp đấu nối thử nghiệm, thiết bị chuyển đổi đấu nối, thiết bị cô lập mạch đo phục vụ thử nghiệm, thiết bị chuyển mạch logic, mạch áp (hoặc mạch dòng) cấp cho công tơ đo đếm, thiết bị kiểm tra điện áp và dòng điện, thiết bị chống sét cho kênh thông tin viễn thông của công tơ đo đếm.
2. Cấu hình cụ thể của một Hệ thống đo đếm được xác định chính xác theo cấp điện áp, quy mô mua bán điện và đặc thù của vị trí đo đếm.
Điều 102. Yêu cầu đối với công tơ đo đếm
-
Yêu cầu chung
a) Là loại 03 pha 04 dây hoặc 01 pha 02 dây;
b) Kiểu điện tử tích hợp chức năng và có thể lập trình được;
c) Có một hoặc nhiều biểu giá;
d) Đo đếm điện năng tác dụng và phản kháng theo hai chiều nhận và phát riêng biệt theo 04 góc phần tư;
đ) Có chức năng đo công suất cực đại, ghi biểu đồ phụ tải tổng;
e) Có tính năng kết nối với máy tính, thu thập, đọc số liệu tại chỗ và từ xa;
g) Được cấp nguồn từ hệ thống điện áp thứ cấp đo lường và phải đảm bảo duy trì hoạt động khi mất điện áp 01 pha hoặc 02 pha bất kỳ;
h) Phải có nguồn bên trong để nuôi đồng hồ thời gian thực. Trong trường hợp cần thiết, công tơ đo đếm có thể tích hợp nguồn pin phục vụ cho việc đọc dữ liệu trên màn hình hiển thị;
i) Có nhiều mức mật khẩu;
k) Có các vị trí niêm phong, kẹp chì đảm bảo không thể tiếp cận với các đầu cực đấu dây và thay đổi các thông số cài đặt trong công tơ đo đếm nếu không phá bỏ chì niêm phong;
l) Có chức năng lưu trữ thông tin đo đếm, biểu đồ phụ tải ít nhất 60 ngày với chu kỳ ghi giá trị đo đếm 30 phút cho một kênh dữ liệu và có thể lập trình đặt được chu kỳ tích phân nhỏ hơn 30 phút;
m) Có dòng điện và điện áp phù hợp với dòng điện và điện áp thứ cấp của CT và VT;
n) Công tơ đo đếm phải được kết nối với Hệ thống thu thập số liệu đo đếm tại chỗ hoặc từ xa phù hợp với chuẩn kết nối và phần mềm thu thập số liệu đo đếm.
2. Yêu cầu về cấp chính xác đối với đo đếm cấp điện áp từ 220 kV trở lên hoặc đo đếm phục vụ giao nhận điện năng giữa nhà máy điện tham gia thị trường điện hoặc nhà máy điện lớn với lưới điện
a) Công tơ đo đếm chính phải đạt cấp chính xác 0,2 với điện năng tác dụng và 2,0 với điện năng phản kháng theo các tiêu chuẩn do Bộ Khoa học và Công nghệ quy định;
b) Công tơ đo đếm dự phòng phải đạt cấp chính xác 0,5 với điện năng tác dụng và 2,0 với điện năng phản kháng theo các tiêu chuẩn do Bộ Khoa học và Công nghệ quy định.
3. Yêu cầu về cấp chính xác đối với đo đếm phục vụ giao nhận điện năng trong các trường hợp không thuộc trường hợp quy định tại khoản 2 Điều này
a) Công tơ đo đếm chính phải đạt cấp chính xác tối thiểu 0,5 với điện năng tác dụng và 2,0 với điện năng phản kháng theo các tiêu chuẩn do Bộ Khoa học và Công nghệ quy định;
b) Cấp chính xác của công tơ đo đếm dự phòng được xác định theo thỏa thuận giữa các bên liên quan nhưng không thấp hơn cấp chính xác:
- 0,5 với điện năng tác dụng và 2,0 với điện năng phản kháng đối với đo đếm cấp điện áp 110 kV theo các tiêu chuẩn do Bộ Khoa học và Công nghệ quy định;
- 1,0 với điện năng tác dụng và 2,0 với điện năng phản kháng đối với đo đếm cấp điện áp trung áp theo các tiêu chuẩn do Bộ Khoa học và Công nghệ quy định.
4. Trường hợp Bộ Khoa học và Công nghệ chưa quy định các tiêu chuẩn về cấp chính xác đối với công tơ đo đếm thì sử dụng Tiêu chuẩn IEC hoặc các tiêu chuẩn khác tương đương.
Điều 103. Yêu cầu đối với CT sử dụng cho mục đích đo đếm điện năng
-
Yêu cầu chung
-
Có cuộn dây thứ cấp đo lường dùng riêng cho các thiết bị đo lường và công tơ đo đếm điện năng;
-
Giá trị dòng điện thứ cấp danh định là 01 A hoặc 05 A;
-
Có vị trí niêm phong kẹp chì tại nắp hộp đấu dây cuộn thứ cấp đo lường cấp cho các thiết bị đo lường và công tơ đo đếm đảm bảo không thể tác động vào mạch điện đấu nối nếu không phá bỏ niêm phong.
-
Yêu cầu về cấp chính xác đối với đo đếm cấp điện áp từ 220 kV trở lên hoặc đo đếm phục vụ giao nhận điện năng giữa nhà máy điện tham gia thị trường điện hoặc nhà máy điện lớn với lưới điện
-
Cuộn thứ cấp đo lường của CT phục vụ đo đếm chính phải đạt cấp chính xác 0,2 theo các tiêu chuẩn do Bộ Khoa học và Công nghệ quy định;
-
Cuộn thứ cấp đo lường của CT phục vụ đo đếm dự phòng phải đạt cấp chính xác 0,5 theo các tiêu chuẩn do Bộ Khoa học và Công nghệ;
-
Dung lượng của cuộn thứ cấp đo lường của CT phải nằm trong giới hạn dung lượng cho phép của phụ tải mạch thứ cấp theo quy định của nhà chế tạo.
-
Yêu cầu về cấp chính xác đối với đo đếm phục vụ giao nhận điện năng trong các trường hợp không thuộc trường hợp quy định tại khoản 2 Điều này
-
Cuộn thứ cấp đo lường của CT phục vụ đo đếm chính phải đạt cấp chính xác tối thiểu 0,5 theo các tiêu chuẩn do Bộ Khoa học và Công nghệ quy định;
-
Cấp chính xác của cuộn thứ cấp đo lường của CT phục vụ đo đếm dự phòng được xác định theo thỏa thuận giữa các bên liên quan nhưng không thấp hơn cấp chính xác 0,5 đối với đo đếm cấp điện áp 110 kV và 1,0 đối với đo đếm cấp điện áp trung áp theo các tiêu chuẩn do Bộ Khoa học và Công nghệ quy định.
-
Trường hợp Bộ Khoa học và Công nghệ chưa quy định các tiêu chuẩn về cấp chính xác đối với CT thì sử dụng Tiêu chuẩn IEC hoặc các tiêu chuẩn khác tương đương.
Điều 104. Yêu cầu đối với VT sử dụng cho mục đích đo đếm điện năng
-
Yêu cầu chung
-
Có cuộn dây thứ cấp đo lường dùng riêng cho các thiết bị đo lường và công tơ đo đếm;
-
Giá trị điện áp hệ thống thứ cấp danh định (điện áp dây) là 100 V hoặc 110 V;
-
Có vị trí niêm phong tại nắp hộp đấu dây cuộn thứ cấp đo lường cấp cho các thiết bị đo lường và công tơ đo đếm đảm bảo không thể tác động vào mạch điện đấu nối nếu không phá bỏ niêm phong.
-
Yêu cầu về cấp chính xác đối với đo đếm cấp điện áp từ 220 kV trở lên hoặc đo đếm phục vụ giao nhận điện năng giữa nhà máy điện tham gia thị trường điện hoặc nhà máy điện lớn với lưới điện
- VT phục vụ đo đếm chính phải đạt cấp chính xác 0,2 theo các tiêu chuẩn do Bộ Khoa học và Công nghệ quy định;
- VT phục vụ đo đếm dự phòng phải đạt cấp chính xác 0,5 theo các tiêu chuẩn do Bộ Khoa học và Công nghệ quy định;
- Dung lượng của cuộn thứ cấp đo lường của VT phải trong giới hạn dung lượng cho phép của phụ tải mạch thứ cấp theo quy định của nhà chế tạo.
-
Yêu cầu về cấp chính xác đối với đo đếm phục vụ giao nhận điện năng trong các trường hợp không thuộc trường hợp quy định tại khoản 2 Điều này
- VT phục vụ đo đếm chính phải đạt cấp chính xác 0,5 theo các tiêu chuẩn do Bộ Khoa học và Công nghệ quy định;
- Cấp chính xác của VT phục vụ đo đếm dự phòng được xác định theo thỏa thuận giữa các bên liên quan nhưng không thấp hơn cấp chính xác 0,5 đối với đo đếm cấp điện áp 110 kV và 1,0 đối với đo đếm cấp điện áp trung áp theo các tiêu chuẩn do Bộ Khoa học và Công nghệ quy định.
-
Trường hợp Bộ Khoa học và Công nghệ chưa quy định các tiêu chuẩn về cấp chính xác đối với VT thì sử dụng Tiêu chuẩn IEC hoặc các tiêu chuẩn khác tương đương.
Mục 3:
YÊU CẦU ĐỐI VỚI HỆ THỐNG ĐO ĐẾM CẤP ĐIỆN ÁP HẠ ÁP
Điều 105. Yêu cầu đối với công tơ đo đếm
- Là loại 03 pha 04 dây đối với công tơ đo đếm 03 pha và loại 01 pha 02 dây đối với công tơ đo đếm 01 pha.
- Có các vị trí niêm phong, kẹp chì đảm bảo không thể tiếp cận với các đầu cực đấu dây và thay đổi các thông số cài đặt trong công tơ đo đếm nếu không phá bỏ niêm phong.
- Đối với công tơ đo đếm 03 pha, công tơ đo đếm điện năng tác dụng phải đạt cấp chính xác 1,0 theo tiêu chuẩn do Bộ Khoa học và Công nghệ quy định. Đối với công tơ đo đếm 01 pha, công tơ đo đếm điện năng tác dụng phải đạt cấp chính xác 1,0 đối với công tơ đo đếm điện tử và cấp chính xác 2,0 đối với công tơ đo đếm cơ khí theo tiêu chuẩn do Bộ Khoa học và Công nghệ quy định. Trường hợp Bộ Khoa học và Công nghệ chưa quy định các tiêu chuẩn về cấp chính xác đối với công tơ đo đếm thì sử dụng Tiêu chuẩn IEC hoặc các tiêu chuẩn khác tương đương.
- Đối với công tơ đo đếm điện tử: Có thể được trang bị đa chức năng, có thể lập trình được và kết nối với Hệ thống thu thập số liệu đo đếm từ xa phù hợp với chuẩn kết nối và phần mềm thu thập số liệu đo đếm.
Điều 106. Yêu cầu đối với CT sử dụng cho mục đích đo đếm điện năng
Trong trường hợp sử dụng CT cho đo đếm điện năng hạ áp, CT phải đảm bảo các yêu cầu sau:
- Có cuộn dây thứ cấp đo lường dùng riêng cho công tơ đo đếm.
- Giá trị dòng điện thứ cấp danh định là 01A hoặc 05A.
- Có vị trí niêm phong kẹp chì tại nắp hộp đấu dây cuộn thứ cấp đo lường cấp cho các thiết bị đo lường và công tơ đo đếm đảm bảo không thể tác động vào mạch điện đấu nối nếu không phá bỏ niêm phong.
- Dung lượng của cuộn thứ cấp đo lường của CT phải nằm trong giới hạn dung lượng cho phép của phụ tải mạch thứ cấp theo quy định của nhà chế tạo.
- Cấp chính xác 0,5 theo tiêu chuẩn do Bộ Khoa học và Công nghệ quy định. Trường hợp Bộ Khoa học và Công nghệ chưa quy định các tiêu chuẩn về cấp chính xác đối với CT thì sử dụng Tiêu chuẩn IEC hoặc các tiêu chuẩn khác tương đương.
Chương VI:
YÊU CẦU ĐỐI VỚI HỆ THỐNG THU THẬP SỐ LIỆU ĐO ĐẾM,
HỆ THỐNG QUẢN LÝ SỐ LIỆU ĐO ĐẾM
Điều 107. Quản lý Hệ thống thu thập số liệu đo đếm, Hệ thống quản lý số liệu đo đếm
-
Trách nhiệm của Đơn vị quản lý số liệu đo đếm
a) Đầu tư, lắp đặt, quản lý và vận hành Hệ thống thu thập số liệu đo đếm, Hệ thống quản lý số liệu đo đếm trong phạm vi quản lý đảm bảo các đơn vị có thể kết nối đáp ứng quy định tại Thông tư này;
b) Cung cấp cho các đơn vị liên quan định dạng tệp tin (sau đây viết tắt là file) dữ liệu, chuẩn giao diện kết nối trên cơ sở mô hình thu thập số liệu và phương thức truyền số liệu đo đếm áp dụng;
c) Thiết lập, cài đặt các thông số và triển khai các biện pháp đảm bảo an ninh, bảo mật và mã hóa an toàn thông tin cho Hệ thống thu thập số liệu đo đếm, Hệ thống quản lý số liệu đo đếm tại vị trí đo đếm và tại Trung tâm thu thập, lưu trữ và xử lý số liệu của đơn vị đang quản lý để đảm bảo tính chính xác, tin cậy của số liệu đo đếm.
2. Trách nhiệm của Đơn vị quản lý vận hành hệ thống đo đếm
a) Bảo mật các thông số cài đặt cho chương trình phần mềm đọc số liệu công tơ đo đếm trong phạm vi quản lý của mình;
b) Không được can thiệp vào chương trình đọc và truyền số liệu để sửa đổi các thông số cài đặt ảnh hưởng đến tính chính xác của số liệu đo đếm. Không được sửa đổi các số liệu đọc từ công tơ đo đếm về máy tính hoặc bộ tập trung dữ liệu đặt tại chỗ (nếu có).
Điều 108. Mô hình tổng thể Hệ thống thu thập số liệu đo đếm, Hệ thống quản lý số liệu đo đếm
- Trường hợp áp dụng công nghệ thu thập số liệu đo đếm từ xa, tùy theo điều kiện cơ sở hạ tầng và phạm vi quản lý vận hành, các đơn vị có thể lựa chọn và áp dụng các giải pháp công nghệ để thực hiện thu thập số liệu đo đếm từ xa thông qua môi trường truyền dẫn hữu tuyến hoặc vô tuyến, tự động hoặc bán tự động phù hợp với mô hình tổng thể Hệ thống thu thập số liệu đo đếm, Hệ thống quản lý số liệu đo đếm mô tả tại Phụ lục ban hành kèm theo Thông tư này.
- Các mô hình thu thập số liệu đo đếm
a) Tùy theo điều kiện thực tế và cơ sở hạ tầng, mô hình thu thập số liệu đo đếm bao gồm một trong các loại sau:
- Mô hình thu thập số liệu tại chỗ từ công tơ đo đếm riêng lẻ;
- Mô hình thu thập số liệu thông qua bộ tập trung.
b) Các trường hợp áp dụng mô hình thu thập số liệu tại chỗ từ công tơ đo đếm riêng lẻ
- Áp dụng đối với các công tơ đo đếm lắp đặt riêng lẻ, không thuận lợi cho việc kết nối nhóm các công tơ đo đếm;
- Truyền số liệu từ công tơ đo đếm về máy chủ thu thập số liệu thông qua mạng WAN/LAN/di động;
- Áp dụng cho các công tơ đo đếm đặt phân tán.
c) Các trường hợp áp dụng mô hình thu thập số liệu thông qua bộ tập trung
- Giao diện kết nối với công tơ đo đếm: LAN hoặc RS232/485;
- Áp dụng cho các công tơ đo đếm đặt cùng một địa điểm.
3. Các giải pháp công nghệ được phân loại theo môi trường và khoảng cách truyền dẫn thông tin như sau:
a) Môi trường truyền dẫn thông tin
- Hữu tuyến: Bao gồm PLC, RS485/RS232, Ethernet, cáp quang, xDSL;
- Vô tuyến: Bao gồm RF/RF-Mesh, mạng thông tin di động.
b) Khoảng cách truyền dẫn thông tin
- Tại chỗ: Là giải pháp dùng thiết bị ghi chỉ số cầm tay để thu thập dữ liệu trực tiếp tại vị trí đo đếm;
- Từ xa: Là giải pháp sử dụng hệ thống thu thập số liệu đo đếm từ xa để thu thập số liệu của công tơ đo đếm hoặc bộ tập trung dữ liệu (DCU) từ xa qua kênh truyền hữu tuyến hoặc vô tuyến.
Điều 109. Yêu cầu đối với Hệ thống thu thập số liệu đo đếm
Hệ thống thu thập số liệu đo đếm của Đơn vị quản lý vận hành hệ thống đo đếm (nếu có) hoặc Đơn vị quản lý số liệu đo đếm phải được trang bị các chức năng và yêu cầu tối thiểu, bao gồm:
-
Có khả năng thu thập số liệu đo đếm thông qua kết nối đọc số liệu trực tiếp đến công tơ đo đếm tại mỗi vị trí đo đếm trong trường hợp có thỏa thuận giữa các bên liên quan.
-
Đồng bộ thời gian với nguồn thời gian chuẩn cho các công tơ đo đếm trong hệ thống.
-
Hệ thống thu thập số liệu đo đếm phải có các chức năng tối thiểu sau đây:
a) Thực hiện thu thập và truyền số liệu đo đếm theo hình thức tự động theo lịch định trước hoặc đọc theo yêu cầu;
b) Quản lý danh sách điểm đo, lịch thu thập số liệu đối với từng công tơ đo đếm hoặc từng nhóm công tơ đo đếm; quản lý và lưu trữ số liệu đo đếm sau khi đọc từ công tơ đo đếm;
c) Quản lý việc truy cập hệ thống bao gồm xác thực tên người sử dụng và quyền truy cập hệ thống.
4. Môi trường truyền thông tin có thể sử dụng là các hệ thống hữu tuyến hoặc vô tuyến, đảm bảo tương thích với Hệ thống quản lý số liệu đo đếm. Môi trường và phương thức truyền tin phải có giải pháp an ninh, bảo mật và mã hóa an toàn thông tin.
5. Thiết bị thông tin ghép nối với công tơ đo đếm phải đảm bảo các yêu cầu sau:
a) Yêu cầu về an ninh, bảo mật và mã hóa an toàn thông tin để chống can thiệp trái phép và giả mạo thông tin;
b) Yêu cầu về an toàn điện và viễn thông để tránh gây hư hỏng cho Hệ thống đo đếm và Hệ thống quản lý số liệu đo đếm.
6. Hệ thống truyền dữ liệu, định dạng file dữ liệu và các chuẩn giao diện kết nối của Hệ thống thu thập số liệu đo đếm phải phù hợp với Hệ thống quản lý số liệu đo đếm của Đơn vị quản lý số liệu đo đếm.
Điều 110. Yêu cầu đối với Hệ thống quản lý số liệu đo đếm
Hệ thống quản lý số liệu đo đếm phải được trang bị các chức năng và yêu cầu tối thiểu, bao gồm:
-
Môi trường truyền thông tin có thể sử dụng là môi trường hữu tuyến hoặc vô tuyến và phải áp dụng các giải pháp an ninh, bảo mật, mã hóa an toàn thông tin.
-
Thiết bị thông tin ghép nối với Hệ thống thu thập số liệu đo đếm phải đảm bảo các yêu cầu sau đây:
a) Yêu cầu về an ninh, bảo mật và mã hóa an toàn thông tin để chống can thiệp trái phép và giả mạo thông tin;
b) Yêu cầu về an toàn điện và viễn thông để tránh gây hư hỏng Hệ thống thu thập số liệu đo đếm.
3. Có khả năng kết nối và thu thập số liệu đo đếm thông qua máy tính thuộc Hệ thống thu thập số liệu đo đếm. Khai báo và quản lý danh sách điểm đo và các thông tin liên quan.
4. Quản lý, lưu trữ và lập báo cáo đối với dữ liệu đo đếm và các sự kiện liên quan.
5. Hệ thống máy tính đọc và lưu trữ số liệu được cung cấp nguồn điện dự phòng, cài đặt các chương trình phòng chống virus, phân quyền quản trị và vận hành hệ thống. Hệ thống cơ sở dữ liệu phải luôn được sao lưu đảm bảo khôi phục lại dữ liệu trong thời gian nhanh nhất và dữ liệu phải được toàn vẹn.
6. Hệ thống máy chủ có khả năng lưu lại toàn bộ quá trình xử lý, xác thực, khai thác số liệu đo đếm và trang bị hệ thống dự phòng để đảm bảo số liệu đo đếm không bị mất trong bất kỳ trường hợp nào.
7. Quản lý truy cập bao gồm mã số và quyền truy cập hệ thống của người sử dụng. Phân quyền quản trị cho phần mềm ở các mức toàn quyền và mức vận hành, trong đó có mức toàn quyền (cài đặt, cấu hình, phân quyền cho người dùng vận hành và hiệu chỉnh số liệu) và mức vận hành (đọc, xem và xuất số liệu).
8. Kết nối và chia sẻ dữ liệu với các chương trình phần mềm ứng dụng khác để khai thác dữ liệu.
9. Quản lý thông tin đo đếm.
10. Xử lý số liệu đo đếm.
11. Kiểm tra, xác thực số liệu đo đếm.
12. Có khả năng lưu trữ dữ liệu ít nhất 05 năm.
Điều 111. Định dạng file dữ liệu đo đếm
- Các định dạng file dữ liệu đo đếm được sử dụng phổ biến là *.txt hoặc *.csv.
- Đơn vị Quản lý số liệu đo đếm có trách nhiệm công bố định dạng file dữ liệu chuẩn, các chuẩn giao diện kết nối và các chủng loại công tơ đo đếm mà Hệ thống thu thập số liệu đo đếm và Hệ thống quản lý số liệu đo đếm do đơn vị quản lý, vận hành có thể kết nối và đọc được số liệu.
Chương VII:
Mục 1:
THIẾT KẾ KỸ THUẬT, ĐẦU TƯ, LẮP ĐẶT, NGHIỆM THU HỆ THỐNG ĐO ĐẾM VÀ HỆ THỐNG THU THẬP SỐ LIỆU ĐO ĐẾM THỎA THUẬN THIẾT KẾ KỸ THUẬT HỆ THỐNG ĐO ĐẾM VÀ HỆ THỐNG THU THẬP SỐ LIỆU ĐO ĐẾM CẤP ĐIỆN ÁP TỪ 110 KV TRỞ LÊN, GIAO NHẬN GIỮA CÁC ĐƠN VỊ PHÂN PHỐI ĐIỆN VÀ GIAO NHẬN GIỮA NHÀ MÁY ĐIỆN VỚI LƯỚI ĐIỆN
Điều 112. Nguyên tắc thực hiện thỏa thuận thiết kế kỹ thuật
-
Đối với các công trình điện mới
a) Thỏa thuận thiết kế kỹ thuật Hệ thống đo đếm và Hệ thống thu thập số liệu đo đếm phục vụ giao nhận, mua bán điện được thực hiện trong giai đoạn thiết kế kỹ thuật của dự án đầu tư ngay sau khi đạt được thoả thuận đấu nối công trình điện vào lưới điện;
b) Các nội dung liên quan đến thiết kế kỹ thuật Hệ thống đo đếm và Hệ thống thu thập số liệu đo đếm phải thống nhất trước khi phê duyệt thiết kế kỹ thuật và tổng dự toán xây dựng công trình điện.
2. Đối với các công trình điện đã vận hành
a) Thỏa thuận thiết kế kỹ thuật Hệ thống đo đếm và Hệ thống thu thập số liệu đo đếm được thực hiện khi xuất hiện vị trí đo đếm mới hoặc khi nâng cấp, cải tạo Hệ thống đo đếm hiện có;
b) Việc thỏa thuận thiết kế kỹ thuật Hệ thống đo đếm và Hệ thống thu thập số liệu đo đếm phải thực hiện trước khi mua sắm hoặc lắp đặt thay thế thiết bị của Hệ thống đo đếm.
3. Nguyên tắc thực hiện thỏa thuận thiết kế kỹ thuật Hệ thống đo đếm và Hệ thống thu thập số liệu đo đếm
a) Đơn vị đầu tư hệ thống đo đếm có trách nhiệm lập Hồ sơ đề nghị thỏa thuận thiết kế kỹ thuật Hệ thống đo đếm và Hệ thống thu thập số liệu đo đếm;
b) Công ty Mua bán điện, Đơn vị phân phối điện, Đơn vị bán lẻ điện có trách nhiệm chủ trì thỏa thuận thiết kế kỹ thuật Hệ thống đo đếm và Hệ thống thu thập số liệu đo đếm phục vụ giao nhận điện năng trong phạm vi quản lý;
c) Các Đơn vị giao nhận điện liên quan khác có trách nhiệm phối hợp và tham gia góp ý khi nhận được yêu cầu về thỏa thuận thiết kế kỹ thuật Hệ thống đo đếm và Hệ thống thu thập số liệu đo đếm.
4. Trường hợp Đơn vị phân phối điện đầu tư Hệ thống đo đếm và Hệ thống thu thập số liệu đo đếm để bán điện cho Khách hàng sử dụng lưới điện phân phối (trừ trường hợp Khách hàng sử dụng lưới điện phân phối là Đơn vị phát điện) hoặc Đơn vị phân phối điện, bán lẻ điện đầu tư Hệ thống đo đếm và Hệ thống thu thập số liệu đo đếm để bán điện cho Khách hàng sử dụng điện thì Đơn vị phân phối điện hoặc Đơn vị phân phối điện, bán lẻ điện có trách nhiệm thiết kế và thống nhất với khách hàng các nội dung liên quan trong thiết kế kỹ thuật Hệ thống đo đếm và Hệ thống thu thập số liệu đo đếm trước khi thực hiện đầu tư, lắp đặt theo quy định tại Thông tư này.
Điều 113. Hồ sơ đề nghị thỏa thuận thiết kế kỹ thuật Hệ thống đo đếm và Hệ thống thu thập số liệu đo đếm
-
Văn bản đề nghị thỏa thuận thiết kế kỹ thuật.
-
Bản sao văn bản phê duyệt hoặc thỏa thuận đấu nối công trình điện vào hệ thống điện quốc gia.
-
Hồ sơ thiết kế kỹ thuật Hệ thống đo đếm và Hệ thống thu thập số liệu đo đếm bao gồm:
a) Tài liệu giới thiệu chung về công trình điện, bao gồm các nội dung: Vị trí xây dựng, quy mô và thông số kỹ thuật chính của công trình, thời gian dự kiến vận hành;
b) Tài liệu liên quan đến Hệ thống đo đếm bao gồm:
- Vị trí đo đếm chính, vị trí đo đếm dự phòng;
- Vị trí lắp đặt và thông số kỹ thuật của thiết bị đo đếm (chủng loại, điện áp, dòng điện, tỷ số biến dòng điện và điện áp, cấp chính xác, dung lượng và các thông số khác);
- Giải pháp đấu nối và niêm phong kẹp chì mạch nhị thứ của Hệ thống đo đếm;
- Vị trí lắp đặt tủ công tơ đo đếm.
c) Tài liệu liên quan đến Hệ thống thu thập số liệu đo đếm, bao gồm:
- Giải pháp kết nối của Hệ thống thu thập số liệu đo đếm;
- Thông số thiết bị của Hệ thống thu thập số liệu đo đếm.
d) Danh mục, khối lượng thiết bị chính của Hệ thống đo đếm cần đầu tư.
4. Các bản vẽ liên quan, bao gồm:
a) Sơ đồ đấu nối công trình điện vào hệ thống điện quốc gia thể hiện đầy đủ các thông số kỹ thuật;
b) Sơ đồ nguyên lý đo lường và bảo vệ của công trình điện;
c) Sơ đồ nguyên lý Hệ thống đo đếm của công trình điện;
d) Sơ đồ mặt bằng bố trí các thiết bị thuộc Hệ thống đo đếm của công trình điện;
đ) Sơ đồ đấu nối mạch nhị thứ đo đếm, trong đó có thể hiện giải pháp niêm phong kẹp chì;
e) Sơ đồ đấu nối Hệ thống thu thập số liệu đo đếm;
g) Sơ đồ tủ công tơ đo đếm, tủ trung gian dùng cho đo đếm điện năng (nếu có).
5. Dự thảo Thỏa thuận thiết kế kỹ thuật Hệ thống đo đếm và Hệ thống thu thập số liệu đo đếm theo mẫu quy định tại Phụ lục ban hành kèm theo Thông tư này.
Điều 114. Thực hiện thỏa thuận thiết kế kỹ thuật Hệ thống đo đếm và Hệ thống thu thập số liệu đo đếm
-
Trách nhiệm lập và gửi Hồ sơ đề nghị thỏa thuận thiết kế kỹ thuật Hệ thống đo đếm và Hệ thống thu thập số liệu đo đếm
a) Đơn vị đầu tư hệ thống đo đếm có trách nhiệm lập và gửi Hồ sơ đề nghị thỏa thuận thiết kế kỹ thuật Hệ thống đo đếm và Hệ thống thu thập số liệu đo đếm cho Công ty Mua bán điện trong các trường hợp sau:
- Đo đếm ranh giới giữa nhà máy điện lớn với lưới điện truyền tải hoặc lưới điện phân phối;
- Đo đếm ranh giới giữa nhà máy điện sử dụng nguồn năng lượng tái tạo với lưới điện;
- Đo đếm ranh giới giữa lưới điện truyền tải với lưới điện phân phối;
- Đo đếm ranh giới phục vụ mua bán điện với nước ngoài qua cấp điện áp từ 110 kV trở lên;
- Đo đếm ranh giới giữa lưới điện truyền tải với Khách hàng sử dụng điện đấu nối vào lưới điện truyền tải.
b) Đơn vị đầu tư hệ thống đo đếm có trách nhiệm lập và gửi Hồ sơ đề nghị thỏa thuận thiết kế kỹ thuật Hệ thống đo đếm và Hệ thống thu thập số liệu đo đếm cho Đơn vị phân phối điện trong các trường hợp sau:
- Đo đếm ranh giới giữa nhà máy điện nhỏ với lưới điện phân phối;
- Đo đếm ranh giới giữa lưới điện phân phối với Đơn vị bán lẻ điện hoặc Khách hàng sử dụng điện đấu nối vào lưới điện phân phối trong trường hợp Đơn vị bán lẻ điện hoặc Khách hàng sử dụng điện đầu tư Hệ thống đo đếm.
c) Đối với đo đếm ranh giới giữa hai Đơn vị phân phối điện
- Đo đếm ranh giới giữa hai Tổng công ty Điện lực: Đơn vị đầu tư hệ thống đo đếm có trách nhiệm lập và gửi Hồ sơ đề nghị thoả thuận thiết kế kỹ thuật Hệ thống đo đếm và Hệ thống thu thập số liệu đo đếm cho Công ty Mua bán điện. Đơn vị còn lại có trách nhiệm phối hợp với Công ty Mua bán điện trong quá trình thỏa thuận;
- Đo đếm ranh giới giữa hai Công ty Điện lực tỉnh thuộc cùng một Tổng công ty Điện lực: Đơn vị đầu tư hệ thống đo đếm có trách nhiệm lập và gửi Hồ sơ đề nghị thoả thuận thiết kế kỹ thuật Hệ thống đo đếm và Hệ thống thu thập số liệu đo đếm cho Tổng công ty Điện lực. Đơn vị còn lại có trách nhiệm phối hợp trong quá trình thỏa thuận.
d) Đối với các trường hợp khác với quy định tại các Điểm a, b và c khoản này, thực hiện theo quy định tại khoản 3 Điều 112 Thông tư này.
2. Trình tự thực hiện thỏa thuận thiết kế kỹ thuật Hệ thống đo đếm và Hệ thống thu thập số liệu đo đếm
a) Sau khi lập Hồ sơ theo quy định tại Điều 113 Thông tư này, Đơn vị đầu tư hệ thống đo đếm có trách nhiệm gửi 03 (ba) bộ Hồ sơ đề nghị thỏa thuận thiết kế kỹ thuật Hệ thống đo đếm và Hệ thống thu thập số liệu đo đếm cho Công ty Mua bán điện hoặc Đơn vị phân phối điện theo quy định tại khoản 1 Điều này để tiến hành thỏa thuận;
b) Công ty Mua bán điện hoặc Đơn vị phân phối điện có trách nhiệm gửi lấy ý kiến của các Đơn vị giao nhận điện liên quan trực tiếp về đề xuất thỏa thuận thiết kế;
c) Sau khi nhận được ý kiến góp ý của các Đơn vị giao nhận điện liên quan trực tiếp, Công ty Mua bán điện hoặc Đơn vị phân phối điện có trách nhiệm:
- Tổng hợp ý kiến của các Đơn vị giao nhận điện liên quan và đánh giá các nội dung trong hồ sơ: Vị trí đo đếm điện năng, thiết kế kỹ thuật của Hệ thống đo đếm và Hệ thống thu thập số liệu đo đếm, phương thức giao nhận điện năng, dự thảo Thỏa thuận thiết kế kỹ thuật Hệ thống đo đếm và Hệ thống thu thập số liệu đo đếm và các nội dung liên quan khác;
- Gửi ý kiến bằng văn bản cho Đơn vị đầu tư hệ thống đo đếm để hoàn thiện dự thảo Thỏa thuận thiết kế.
d) Trên cơ sở ý kiến của Công ty Mua bán điện hoặc Đơn vị phân phối điện, Đơn vị đầu tư hệ thống đo đếm có trách nhiệm thỏa thuận thống nhất và hoàn thiện dự thảo Thỏa thuận thiết kế kỹ thuật Hệ thống đo đếm và Hệ thống thu thập số liệu đo đếm theo quy định tại Thông tư này;
đ) Sau khi đã thống nhất, Đơn vị đầu tư hệ thống đo đếm và Công ty Mua bán điện hoặc Đơn vị phân phối điện có trách nhiệm ký kết Thỏa thuận thiết kế kỹ thuật Hệ thống đo đếm và Hệ thống thu thập số liệu đo đếm. Thỏa thuận thiết kế kỹ thuật Hệ thống đo đếm và Hệ thống thu thập số liệu đo đếm được lập thành 02 bản, mỗi bên giữ 01 bản. Đơn vị đầu tư hệ thống đo đếm có trách nhiệm gửi bản sao Thỏa thuận thiết kế kỹ thuật Hệ thống đo đếm và Hệ thống thu thập số liệu đo đếm (đã ký) đến các Đơn vị giao nhận điện liên quan.
3. Thời gian thỏa thuận và ký thỏa thuận thiết kế kỹ thuật Hệ thống đo đếm và Hệ thống thu thập số liệu đo đếm đối với các nội dung quy định tại Điều này được thực hiện theo quy định tại Điều 115 Thông tư này.
Điều 115. Thời gian thỏa thuận và ký thỏa thuận thiết kế kỹ thuật Hệ thống đo đếm và Hệ thống thu thập số liệu đo đếm
Thời gian thỏa thuận thống nhất và ký Thỏa thuận thiết kế kỹ thuật Hệ thống đo đếm và Hệ thống thu thập số liệu đo đếm được quy định tại Bảng sau:
| TT | Nội dung thực hiện | Thời gian thực hiện tối đa | Trách nhiệm thực hiện |
|---|---|---|---|
| 1 | Gửi Hồ sơ đề nghị thỏa thuận thiết kế kỹ thuật Hệ thống đo đếm và Hệ thống thu thập số liệu đo đếm | Ngay sau khi thống nhất thoả thuận đấu nối công trình điện vào lưới điện | Đơn vị đầu tư hệ thống đo đếm |
| 2 | Gửi lấy ý kiến của các Đơn vị giao nhận điện liên quan trực tiếp | 10 ngày làm việc kể từ ngày nhận được Hồ sơ hợp lệ của Đơn vị đầu tư hệ thống đo đếm | Công ty Mua bán điện hoặc Đơn vị phân phối điện và các Đơn vị giao nhận điện liên quan |
| 3 | Tổng hợp ý kiến và gửi ý kiến bằng văn bản cho Đơn vị đầu tư hệ thống đo đếm | 05 ngày làm việc kể từ ngày nhận được ý kiến góp ý của các Đơn vị giao nhận điện liên quan | Công ty Mua bán điện hoặc Đơn vị phân phối điện |
| 4 | Thống nhất và hoàn thiện Dự thảo thỏa thuận thiết kế kỹ thuật Hệ thống đo đếm và Hệ thống thu thập số liệu đo đếm | 07 ngày làm việc kể từ ngày nhận được ý kiến của Công ty Mua bán điện hoặc Đơn vị phân phối điện | Đơn vị đầu tư hệ thống đo đếm chủ trì Công ty Mua bán điện hoặc Đơn vị phân phối điện phối hợp |
| 5 | Ký và gửi Thỏa thuận thiết kế kỹ thuật Hệ thống đo đếm và Hệ thống thu thập số liệu đo đếm | 03 ngày làm việc kể từ khi hoàn thiện Dự thảo Thỏa thuận thiết kế kỹ thuật Hệ thống đo đếm và Hệ thống thu thập số liệu đo đếm | Đơn vị đầu tư hệ thống đo đếm chủ trì Công ty Mua bán điện hoặc Đơn vị phân phối điện phối hợp |
Mục 2:
ĐẦU TƯ, LẮP ĐẶT HỆ THỐNG ĐO ĐẾM VÀ HỆ THỐNG THU THẬP SỐ LIỆU ĐO ĐẾM CẤP ĐIỆN ÁP TỪ 110 KV TRỞ LÊN, GIAO NHẬN GIỮA CÁC ĐƠN VỊ PHÂN PHỐI ĐIỆN VÀ GIAO NHẬN GIỮA NHÀ MÁY ĐIỆN VỚI LƯỚI ĐIỆN
Điều 116. Yêu cầu trong quá trình đầu tư, lắp đặt
- Đảm bảo Hệ thống đo đếm và Hệ thống thu thập số liệu đo đếm đáp ứng quy định tại Thông tư này, phù hợp với thiết kế kỹ thuật Hệ thống đo đếm và Hệ thống thu thập số liệu đo đếm đã thống nhất.
- Đảm bảo thiết bị đo đếm phù hợp quy định của pháp luật về đo lường. Thiết bị đo đếm đưa vào sử dụng phải thực hiện quy định phê duyệt mẫu phương tiện đo do cơ quan nhà nước có thẩm quyền về đo lường thực hiện. Trường hợp đặc biệt, thiết bị đo đếm thuộc tủ hợp bộ hoặc công trình hợp bộ được đầu tư nhưng chưa được phê duyệt mẫu và không thể lắp đặt bổ sung thiết bị đo đếm bên ngoài, các đơn vị liên quan có trách nhiệm hướng dẫn Đơn vị đầu tư hệ thống đo đếm thực hiện thủ tục phê duyệt mẫu theo quy định của pháp luật về đo lường.
Điều 117. Trách nhiệm của các đơn vị trong đầu tư, lắp đặt Hệ thống đo đếm và Hệ thống thu thập số liệu đo đếm
-
Đơn vị đầu tư hệ thống đo đếm
a) Đầu tư, lắp đặt Hệ thống đo đếm và Hệ thống thu thập số liệu đo đếm phù hợp với thiết kế kỹ thuật Hệ thống đo đếm và Hệ thống thu thập số liệu đo đếm đã được thỏa thuận thống nhất theo quy định tại Mục 1 Chương này;
b) ý hợp đồng với Đơn vị thử nghiệm, kiểm định để thực hiện các công việc sau:
- Thử nghiệm, kiểm định ban đầu các thiết bị đo đếm theo quy định tại Thông tư này và quy định của pháp luật về đo lường;
- Thử nghiệm mạch nhị thứ đo đếm đảm bảo đáp ứng các yêu cầu kỹ thuật về đo lường, phù hợp với thiết kế kỹ thuật Hệ thống đo đếm;
- Niêm phong kẹp chì Hệ thống đo đếm đảm bảo không thể can thiệp vào mạch đo và thiết bị đo đếm nếu không phá bỏ niêm phong kẹp chì;
- Lập trình cài đặt các thông số làm việc, các mức mật khẩu công tơ đo đếm.
c) Cung cấp cho Đơn vị quản lý số liệu đo đếm và Đơn vị giao nhận điện liên quan các thông tin về điểm đo (vị trí đo đếm, phương thức giao nhận, thông số kỹ thuật);
d) Phối hợp với Đơn vị quản lý số liệu đo đếm trong việc lắp đặt, kiểm tra Hệ thống thu thập số liệu đo đếm tại chỗ và từ xa.
2. Đơn vị quản lý lưới điện có trách nhiệm phối hợp với Đơn vị đầu tư hệ thống đo đếm và các đơn vị liên quan trong quá trình lắp đặt, thử nghiệm, kiểm định ban đầu Hệ thống đo đếm và Hệ thống thu thập số liệu đo đếm trong trường hợp Hệ thống đo đếm đặt tại trạm điện của Đơn vị quản lý lưới điện.
3. Đơn vị quản lý số liệu đo đếm
a) Cấp phát mã vị trí điểm đo và mã địa chỉ của các công tơ đo đếm cho Hệ thống đo đếm mới lắp đặt trong phạm vi quản lý;
b) Bổ sung cơ sở dữ liệu đo đếm vào Hệ thống quản lý số liệu đo đếm trong phạm vi quản lý;
c) Phối hợp với Đơn vị đầu tư hệ thống đo đếm trong việc lắp đặt, kiểm tra Hệ thống thu thập số liệu đo đếm tại các vị trí đo đếm và đường truyền dữ liệu đo đếm từ công trình điện về Hệ thống quản lý số liệu đo đếm trong phạm vi quản lý;
d) Cài đặt các phần mềm mã hóa số liệu đo đếm sau khi đọc và truyền về máy tính đặt tại chỗ, chống mọi sự can thiệp trái phép và giả mạo thông tin đối với số liệu đo đếm trước khi được truyền về Hệ thống quản lý số liệu đo đếm trong phạm vi quản lý.
4. Đơn vị thử nghiệm, kiểm định
Thực hiện các nhiệm vụ theo hợp đồng ký kết với Đơn vị đầu tư hệ thống đo đếm bao gồm:
a) Thử nghiệm, kiểm định ban đầu các thiết bị đo đếm theo quy định tại Thông tư này và quy định của pháp luật về đo lường;
b) Thử nghiệm mạch nhị thứ đo đếm đảm bảo đúng kỹ thuật, phù hợp với thiết kế kỹ thuật Hệ thống đo đếm;
c) Niêm phong kẹp chì Hệ thống đo đếm đảm bảo không thể can thiệp vào mạch đo và thiết bị đo;
d) Lập trình cài đặt các thông số làm việc, các mức mật khẩu công tơ đo đếm trong phạm vi thẩm quyền cho phép;
đ) Cung cấp cho Đơn vị đầu tư hệ thống đo đếm các biên bản thử nghiệm, kiểm định Hệ thống đo đếm, biên bản cài đặt công tơ đo đếm theo quy định tại Thông tư này và quy định của pháp luật về đo lường.
Mục 3:
NGHIỆM THU HỆ THỐNG ĐO ĐẾM VÀ HỆ THỐNG THU THẬP SỐ LIỆU ĐO ĐẾM CẤP ĐIỆN ÁP TỪ 110 kV TRỞ LÊN, GIAO NHẬN GIỮA CÁC ĐƠN VỊ PHÂN PHỐI ĐIỆN VÀ GIAO NHẬN GIỮA NHÀ MÁY ĐIỆN VỚI LƯỚI ĐIỆN
Điều 118. Thành phần tham gia nghiệm thu
Tùy theo từng trường hợp đo đếm giao nhận, thành phần tham gia nghiệm thu bao gồm các đơn vị sau:
- Đơn vị đầu tư hệ thống đo đếm.
- Công ty Mua bán điện hoặc Đơn vị phân phối điện.
- Đơn vị quản lý vận hành hệ thống đo đếm.
- Đơn vị quản lý số liệu đo đếm.
- Đơn vị thử nghiệm, kiểm định.
- Đơn vị giao nhận điện liên quan.
Điều 119. Hồ sơ phục vụ nghiệm thu
-
Hồ sơ kỹ thuật
a) Giấy chứng nhận kiểm định đối với CT, VT và công tơ đo đếm của Đơn vị thử nghiệm, kiểm định;
b) Quyết định phê duyệt mẫu đối với công tơ đo đếm, CT, VT (nếu có);
c) Biên bản thử nghiệm đối với CT, VT và công tơ đo đếm của Đơn vị thử nghiệm, kiểm định;
d) Biên bản kiểm tra, thử nghiệm tổng mạch nhị thứ của Hệ thống đo đếm của Đơn vị thử nghiệm, kiểm định;
đ) Biên bản cài đặt thông số của công tơ đo đếm.
2. Biên bản nghiệm thu hoàn thành lắp đặt Hệ thống đo đếm.
3. Biên bản nghiệm thu hoàn thành lắp đặt Hệ thống thu thập số liệu đo đếm.
Điều 120. Trình tự thực hiện nghiệm thu
-
Sau khi hoàn thành việc lắp đặt Hệ thống đo đếm và Hệ thống thu thập số liệu đo đếm, chậm nhất 14 ngày trước ngày dự kiến thực hiện nghiệm thu, Đơn vị đầu tư hệ thống đo đếm có trách nhiệm gửi văn bản đề nghị tiến hành nghiệm thu kèm 01 (một) bộ hồ sơ phục vụ nghiệm thu theo quy định tại Điều 119 Thông tư này cho Công ty Mua bán điện hoặc Đơn vị phân phối điện và các Đơn vị giao nhận điện liên quan.
-
Trong thời hạn 03 ngày làm việc kể từ ngày nhận được văn bản đề nghị tiến hành nghiệm thu và hồ sơ phục vụ nghiệm thu, Công ty Mua bán điện hoặc Đơn vị phân phối điện có trách nhiệm kiểm tra tính đầy đủ và hợp lệ của hồ sơ theo quy định tại Điều 119 Thông tư này và thực hiện công việc sau:
a) Trường hợp hồ sơ hợp lệ theo quy định và đảm bảo điều kiện để tiến hành nghiệm thu, Công ty Mua bán điện hoặc Đơn vị phân phối điện có trách nhiệm gửi văn bản cho các đơn vị tham gia nghiệm thu để thống nhất kế hoạch nghiệm thu;
b) Trường hợp hồ sơ chưa đủ điều kiện nghiệm thu, Công ty Mua bán điện hoặc Đơn vị phân phối điện có trách nhiệm gửi văn bản yêu cầu Đơn vị đầu tư hệ thống đo đếm bổ sung và thông báo cho các đơn vị tham gia nghiệm thu.
3. Sau khi thống nhất kế hoạch nghiệm thu, Đơn vị đầu tư hệ thống đo đếm chủ trì tổ chức triển khai nghiệm thu Hệ thống đo đếm và Hệ thống thu thập số liệu đo đếm với sự có mặt đại diện của các đơn vị liên quan quy định tại Điều 118 Thông tư này.
4. Đơn vị đầu tư hệ thống đo đếm có trách nhiệm tập hợp toàn bộ hồ sơ nghiệm thu và gửi 01 (một) bộ hồ sơ (bản sao) cho mỗi đơn vị tham gia nghiệm thu.
5. Các đơn vị tham gia nghiệm thu có trách nhiệm lưu giữ hồ sơ nghiệm thu, cập nhật thông tin điểm đo vào danh sách vị trí đo đếm giao nhận và chương trình quản lý của đơn vị.
6. Hệ thống đo đếm chỉ được đưa vào vận hành khi các đơn vị tham gia nghiệm thu thống nhất kết quả nghiệm thu và cùng ký Biên bản nghiệm thu.
Điều 121. Các nội dung chính trong quá trình nghiệm thu
-
Quá trình nghiệm thu được tiến hành theo hai bước, cụ thể như sau:
a) Nghiệm thu lắp đặt thiết bị trước khi đóng điện
- Kiểm tra hồ sơ kỹ thuật của Hệ thống đo đếm và Hệ thống thu thập số liệu đo đếm;
- Kiểm tra thực tế lắp đặt Hệ thống đo đếm tại hiện trường bao gồm: Kiểm tra vị trí lắp đặt thiết bị nhất thứ, kiểm tra lắp đặt mạch nhị thứ, kiểm tra thông số của các thiết bị đo đếm, kiểm tra cài đặt của công tơ đo đếm;
- Đối chiếu kết quả kiểm tra thực tế lắp đặt Hệ thống đo đếm tại hiện trường với thiết kế kỹ thuật Hệ thống đo đếm đã thống nhất, hồ sơ kỹ thuật của thiết bị đo đếm và biên bản cài đặt công tơ đo đếm;
- Kiểm tra sự phù hợp của các thông số cài đặt công tơ đo đếm với thông số thiết bị đo đếm thực tế lắp đặt;
- Kiểm tra thông số, lắp đặt thực tế của Hệ thống thu thập số liệu đo đếm và đối chiếu với thiết kế kỹ thuật Hệ thống đo đếm đã thống nhất;
- Đơn vị thử nghiệm, kiểm định cài đặt các mức mật khẩu của công tơ đo đếm, lưu giữ mật khẩu "Cài đặt” của công tơ đo đếm, bàn giao mật khẩu "Chỉ đọc” cho Đơn vị đầu tư hệ thống đo đếm hoặc Đơn vị sở hữu hệ thống đo đếm và bàn giao mật khẩu "Đồng bộ thời gian” cho Đơn vị quản lý số liệu đo đếm;
- Chốt chỉ số công tơ đo đếm, ghi nhận các thông số lập trình công tơ đo đếm, số lần cài đặt và thời điểm lập trình cuối cùng của công tơ đo đếm;
- Niêm phong kẹp chì hộp đấu dây CT, VT, mạch nhị thứ đo đếm, các đấu nối trung gian, hộp thử nghiệm đảm bảo không thể can thiệp vào Hệ thống đo đếm nếu không phá bỏ niêm phong kẹp chì. Việc niêm phong kẹp chì phải có sự chứng kiến của các bên tham gia nghiệm thu.
- Kết thúc quá trình nghiệm thu lắp đặt, các bên tham gia nghiệm thu cùng ký Biên bản nghiệm thu lắp đặt theo mẫu quy định tại Phụ lục ban hành kèm theo Thông tư này.
b) Nghiệm thu mang tải Hệ thống đo đếm ngay sau khi đóng điện mang tải
- Kiểm tra trị số dòng điện, điện áp, góc pha giữa dòng điện và điện áp;
- Phân tích, đánh giá các trị số dòng điện, điện áp, góc giữa dòng điện và điện áp, kết hợp với việc đối chiếu công suất công tơ đo đếm được với công suất của tải thực tế;
- Kiểm tra hoạt động của Hệ thống thu thập số liệu đo đếm;
- Sau khi hoàn tất các hạng mục kiểm tra, các bên khẳng định Hệ thống đo đếm làm việc bình thường, thực hiện niêm phong kẹp chì các phần còn lại của Hệ thống đo đếm;
- Kết thúc quá trình nghiệm thu, các bên tham gia nghiệm thu cùng ký Biên bản nghiệm thu theo mẫu quy định tại Phụ lục ban hành kèm theo Thông tư này.
2. Trong quá trình kiểm tra hoạt động của Hệ thống đo đếm khi mang tải, nếu phát hiện sai sót dẫn đến Hệ thống đo đếm hoạt động không chính xác, các đơn vị cùng phối hợp khắc phục và xác định sản lượng điện năng phải truy thu hoặc thoái hoàn.
3. Trường hợp Hệ thống đo đếm hoặc Hệ thống thu thập số liệu đo đếm chưa được nghiệm thu hoàn thành sau khi đóng điện công trình, các bên có trách nhiệm lập Biên bản nghiệm thu lần thứ nhất ghi nhận các tồn tại và yêu cầu xử lý, biện pháp khắc phục các tồn tại và thời gian khắc phục để làm căn cứ nghiệm thu lần tiếp theo. Điện năng giao nhận trong thời gian Hệ thống đo đếm chưa hoàn thành nghiệm thu được tính toán truy thu hoặc thoái hoàn (nếu có) ngay khi Hệ thống đo đếm được nghiệm thu hoàn thành.
Mục 4:
THIẾT KẾ, LẮP ĐẶT VÀ NGHIỆM THU HỆ THỐNG ĐO ĐẾM VÀ HỆ THỐNG THU THẬP SỐ LIỆU ĐO ĐẾM BÁN ĐIỆN CHO KHÁCH HÀNG SỬ DỤNG ĐIỆN ĐẤU NỐI VÀO CẤP ĐIỆN ÁP TỪ TRUNG ÁP TRỞ XUỐNG
Điều 122. Yêu cầu chung về thiết kế, lắp đặt và nghiệm thu Hệ thống đo đếm và Hệ thống thu thập số liệu đo đếm
- Yêu cầu trang bị Hệ thống đo đếm và Hệ thống thu thập số liệu đo đếm (nếu có) tùy thuộc vào từng đối tượng khách hàng sử dụng điện, nhu cầu về quản lý vận hành và kinh doanh bán điện.
- Việc đầu tư, lắp đặt Hệ thống đo đếm phải đáp ứng các yêu cầu đối với Hệ thống đo đếm cấp điện áp từ trung áp trở xuống theo quy định tại Chương III Thông tư này và các quy định của pháp luật về đo lường.
- Trách nhiệm của Đơn vị phân phối điện và Đơn vị bán lẻ điện
a) Đầu tư, lắp đặt Hệ thống đo đếm và Hệ thống thu thập số liệu đo đếm (nếu có) đáp ứng kịp thời nhu cầu lắp đặt, thay thế thiết bị đo đếm và các thiết bị, phụ kiện khác để bán điện cho Khách hàng sử dụng điện;
b) Tổ chức kiểm định ban đầu, kiểm định định kỳ, kiểm định sau sửa chữa các thiết bị đo đếm theo quy định tại Thông tư này và quy định của pháp luật về đo lường;
c) Nghiệm thu, quản lý đảm bảo đáp ứng các yêu cầu kỹ thuật về đo lường của thiết bị đo đếm trong quá trình sử dụng. Chỉ được phép đưa vào sử dụng các thiết bị đo đếm đã được phê duyệt mẫu, được kiểm định và đạt các yêu cầu kỹ thuật về đo lường.
Điều 123. Thiết kế Hệ thống đo đếm và Hệ thống thu thập số liệu đo đếm
- Đơn vị phân phối điện hoặc Đơn vị bán lẻ điện có trách nhiệm thiết kế Hệ thống đo đếm và Hệ thống thu thập số liệu đo đếm (nếu có) phục vụ bán điện cho Khách hàng sử dụng điện đồng thời với trình tự thỏa thuận đấu nối và cung cấp điện cho Khách hàng sử dụng điện đấu nối vào cấp điện áp từ trung áp trở xuống theo quy định tại Thông tư này, cụ thể như sau:
a) Trường hợp cung cấp điện cho Khách hàng sử dụng điện đấu nối vào cấp điện áp trung áp: Trong thời hạn 05 ngày làm việc kể từ ngày nhận đủ Hồ sơ đề nghị đấu nối hợp lệ của khách hàng theo quy định tại Thông tư này hoặc Đơn vị bán lẻ điện phải hoàn thiện thiết kế Hệ thống đo đếm và Hệ thống thu thập số liệu đo đếm;
b) Trường hợp cung cấp điện phục vụ mục đích sinh hoạt đấu nối cấp điện áp hạ áp: Trong thời hạn 07 ngày làm việc kể từ ngày nhận Hồ sơ đề nghị đấu nối hợp lệ của khách hàng theo quy định tại Thông tư này hoặc Đơn vị bán lẻ điện phải hoàn thiện thiết kế Hệ thống đo đếm và Hệ thống thu thập số liệu đo đếm (nếu có), ký hợp đồng và cung cấp điện cho khách hàng;
c) Trường hợp cung cấp điện ngoài mục đích sinh hoạt đấu nối cấp điện áp hạ áp: Trong thời hạn 08 ngày làm việc kể từ ngày nhận Hồ sơ đề nghị đấu nối hợp lệ của khách hàng theo quy định tại Thông tư này hoặc Đơn vị bán lẻ điện có trách nhiệm kiểm tra, khảo sát, thiết kế Hệ thống đo đếm và Hệ thống thu thập số liệu đo đếm (nếu có), lập phương án cấp điện cho khách hàng, ký hợp đồng và cung cấp điện cho khách hàng.
2. Trường hợp Khách hàng sử dụng điện đấu nối vào cấp điện áp trung áp đầu tư Hệ thống đo đếm và Hệ thống thu thập số liệu đo đếm (nếu có), khách hàng có trách nhiệm lập thiết kế kỹ thuật và thỏa thuận thống nhất với Đơn vị phân phối điện hoặc Đơn vị bán lẻ điện thiết kế kỹ thuật Hệ thống đo đếm và Hệ thống thu thập số liệu đo đếm. Thời gian tối đa thực hiện thỏa thuận thống nhất thiết kế kỹ thuật Hệ thống đo đếm và Hệ thống thu thập số liệu đo đếm là 05 ngày làm việc kể từ khi khách hàng gửi đầy đủ hồ sơ về thiết kế kỹ thuật.
Điều 124. Treo, tháo Hệ thống đo đếm
- Khi treo, tháo, lắp đặt Hệ thống đo đếm phải có phiếu công tác hoặc lệnh công tác. Trước khi treo, tháo, lắp đặt Hệ thống đo đếm, Đơn vị phân phối điện hoặc Đơn vị bán lẻ điện có trách nhiệm kiểm tra tính toàn vẹn của các thiết bị đo đếm, chì niêm, niêm phong; kiểm tra tình trạng hoạt động của Hệ thống đo đếm, ghi chỉ số công tơ đo đếm tại thời điểm treo, tháo thiết bị đo đếm; kiểm tra tỷ số cài đặt CT và VT, số lần lập trình cuối và thời điểm lập trình cuối.
- Kết quả treo, tháo, lắp đặt Hệ thống đo đếm phải được ghi đầy đủ vào Biên bản treo, tháo, lắp đặt thiết bị đo đếm theo mẫu do Đơn vị phân phối điện hoặc Đơn vị bán lẻ điện quy định. Biên bản treo, tháo, lắp đặt thiết bị đo đếm phải có chữ ký của đại diện Đơn vị phân phối điện hoặc Đơn vị bán lẻ điện và chữ ký của đại diện Khách hàng sử dụng điện, được lập thành 02 bản, mỗi bên giữ 01 bản.
- Hệ thống đo đếm và Hệ thống thu thập số liệu đo đếm (nếu có) chỉ được đưa vào sử dụng phục vụ giao nhận, mua bán điện năng đảm bảo không gây hư hỏng thiết bị điện của Khách hàng sử dụng điện và an toàn tính mạng của con người khi Đơn vị phân phối điện hoặc Đơn vị bán lẻ điện hoàn thành công tác treo, tháo Hệ thống đo đếm và Biên bản treo, tháo, lắp đặt thiết bị đo đếm được đại diện các bên ký thống nhất.
Chương VIII:
QUẢN LÝ, VẬN HÀNH, XỬ LÝ SỰ CỐ HỆ THỐNG ĐO ĐẾM, HỆ THỐNG THU THẬP SỐ LIỆU ĐO ĐẾM VÀ HỆ THỐNG QUẢN LÝ SỐ LIỆU ĐO ĐẾM
Mục 1:
QUẢN LÝ, VẬN HÀNH HỆ THỐNG ĐO ĐẾM, HỆ THỐNG THU THẬP SỐ LIỆU ĐO ĐẾM VÀ HỆ THỐNG QUẢN LÝ SỐ LIỆU ĐO ĐẾM
Điều 125. Quản lý, vận hành Hệ thống đo đếm
- Đơn vị quản lý vận hành hệ thống đo đếm có trách nhiệm quản lý, vận hành, bảo dưỡng sửa chữa Hệ thống đo đếm trong phạm vi quản lý đảm bảo tính chính xác, ổn định, tin cậy và bảo mật.
- Trong quá trình quản lý vận hành, Đơn vị quản lý vận hành hệ thống đo đếm có trách nhiệm thường xuyên theo dõi, kiểm tra tình trạng hoạt động của các Hệ thống đo đếm, kịp thời phát hiện các vấn đề bất thường hoặc nguy cơ xảy ra sự cố. Trường hợp phát hiện bất thường hoặc sự cố, Đơn vị quản lý vận hành hệ thống đo đếm phải thông báo ngay cho các đơn vị liên quan để phối hợp xử lý, quá trình xử lý phải thực hiện theo các quy định tại Mục 2 Chương này.
- Việc thay thế thiết bị hoặc nâng cấp, cải tạo Hệ thống đo đếm chỉ thực hiện khi các đơn vị liên quan thoả thuận và thống nhất. Đối với Hệ thống đo đếm bán điện cho Khách hàng sử dụng điện đấu nối vào cấp điện áp từ trung áp trở xuống, trước khi thực hiện thay thế thiết bị hoặc nâng cấp, cải tạo Hệ thống đo đếm, Đơn vị quản lý vận hành hệ thống đo đếm có trách nhiệm thông báo cho Khách hàng sử dụng điện biết để phối hợp thực hiện.
- Đơn vị quản lý vận hành hệ thống đo đếm hoặc Đơn vị sở hữu hệ thống đo đếm có trách nhiệm tổ chức quản lý niêm phong, kẹp chì của Hệ thống đo đếm theo quy định tại Thông tư này và quy định pháp luật về đo lường.
- Niêm phong, chì kiểm định của thiết bị đo đếm chỉ được tháo dỡ khi tiến hành kiểm định, thử nghiệm và xử lý sự cố do Đơn vị thử nghiệm, kiểm định thực hiện với sự có mặt của đại diện các đơn vị liên quan.
- Đồng hồ thời gian của công tơ đo đếm và Hệ thống thu thập số liệu đo đếm được lấy theo múi giờ Việt Nam và được đồng bộ với nguồn thời gian chuẩn lấy từ hệ thống định vị toàn cầu (GPS) hoặc từ nguồn thời gian chuẩn quốc gia phù hợp với điều kiện thực tế của Đơn vị quản lý số liệu đo đếm.
- Đối với Hệ thống đo đếm phục vụ bán điện cho Khách hàng sử dụng điện, nếu có bất kỳ phát hiện bất thường hoặc sự cố, Khách hàng sử dụng điện phải thông báo cho bên bán điện để có biện pháp xử lý kịp thời.
Điều 126. Thay đổi thông số của Hệ thống đo đếm
-
Trường hợp đo đếm điện năng phục vụ giao nhận điện năng giữa nhà máy điện với lưới điện hoặc giữa lưới điện truyền tải với lưới điện phân phối hoặc giữa các Đơn vị phân phối điện với nhau hoặc giữa Khách hàng sử dụng điện đấu nối vào cấp điện áp từ 110 kV trở lên với lưới điện
a) Chậm nhất 05 ngày làm việc trước ngày dự kiến thực hiện thay đổi thông số của Hệ thống đo đếm, Đơn vị quản lý vận hành hệ thống đo đếm có trách nhiệm thông báo (kèm theo các tài liệu liên quan về việc cần thiết phải thay đổi thông số của Hệ thống đo đếm) cho Công ty Mua bán điện hoặc Đơn vị phân phối điện và các Đơn vị giao nhận điện liên quan;
b) Trong thời hạn 02 ngày làm việc kể từ khi nhận được thông báo của Đơn vị quản lý vận hành hệ thống đo đếm, Công ty Mua bán điện hoặc Đơn vị phân phối điện và các Đơn vị giao nhận liên quan có trách nhiệm thống nhất về việc thay đổi hoặc cài lại thông số của Hệ thống đo đếm, kế hoạch thực hiện hoặc đề nghị Đơn vị quản lý vận hành hệ thống đo đếm bổ sung tài liệu để có đầy đủ cơ sở thống nhất thực hiện thay đổi thông số của Hệ thống đo đếm;
c) Đơn vị quản lý vận hành hệ thống đo đếm có trách nhiệm chủ trì triển khai thực hiện thay đổi thông số của Hệ thống đo đếm theo kế hoạch đã được thống nhất; việc thay đổi thông số của Hệ thống đo đếm phải được thực hiện theo các quy định pháp luật về đo lường;
d) Công ty Mua bán điện hoặc Đơn vị phân phối điện và các Đơn vị giao nhận điện liên quan có trách nhiệm tham gia thực hiện quá trình thay đổi thông số của Hệ thống đo đếm theo kế hoạch đã được thống nhất;
đ) Các đơn vị phải cập nhật thay đổi thông số của Hệ thống đo đếm vào cơ sở dữ liệu đo đếm do mình quản lý. Đơn vị quản lý số liệu đo đếm có trách nhiệm cập nhật vào Hệ thống thu thập số liệu đo đếm và Hệ thống quản lý số liệu đo đếm sau khi có thông báo từ Đơn vị quản lý vận hành hệ thống đo đếm.
2. Đối với đo đếm điện năng phục vụ giao nhận điện năng với Khách hàng sử dụng điện đấu nối vào cấp điện áp từ trung áp trở xuống, Đơn vị phân phối điện hoặc Đơn vị bán lẻ điện có trách nhiệm thay đổi thông số Hệ thống đo đếm nhưng phải thông báo trước cho Khách hàng sử dụng điện biết lý do để phối hợp thực hiện.
Điều 127. Thay thế thiết bị của Hệ thống đo đếm
-
Trường hợp đo đếm điện năng phục vụ giao nhận điện năng giữa nhà máy điện với lưới điện hoặc giữa lưới điện truyền tải với lưới điện phân phối hoặc giữa các Đơn vị phân phối điện với nhau hoặc giữa Khách hàng sử dụng điện đấu nối vào cấp điện áp từ 110 kV trở lên với lưới điện, khi cần thiết phải thay thế thiết bị hoặc nâng cấp, cải tạo Hệ thống đo đếm, Đơn vị quản lý vận hành hệ thống đo đếm có trách nhiệm chủ trì thực hiện các nội dung cụ thể như sau:
a) Trừ trường hợp khẩn cấp quy định tại khoản 3 Điều 130 Thông tư này, khi thay thế thiết bị của Hệ thống đo đếm bị sự cố hoặc hoạt động bất thường mà thông số kỹ thuật của thiết bị thay thế tương đương với thông số của thiết bị cũ hoặc đảm bảo theo đúng thỏa thuận với các đơn vị liên quan, trình tự thay thế thực hiện như sau:
- Chậm nhất 05 ngày làm việc trước ngày dự kiến thực hiện, Đơn vị quản lý vận hành hệ thống đo đếm có trách nhiệm thông báo (kèm theo các tài liệu liên quan) cho Công ty Mua bán điện hoặc Đơn vị phân phối điện và các Đơn vị giao nhận liên quan kế hoạch thay thế, nghiệm thu Hệ thống đo đếm;
- Trong thời hạn 02 ngày làm việc kể từ khi nhận được thông báo của Đơn vị quản lý vận hành hệ thống đo đếm, Công ty Mua bán điện hoặc Đơn vị phân phối điện và Đơn vị giao nhận điện liên quan có trách nhiệm thống nhất kế hoạch thay thế và nghiệm thu với Đơn vị quản lý vận hành hệ thống đo đếm;
- Đơn vị quản lý vận hành hệ thống đo đếm chủ trì tổ chức thay thế và nghiệm thu Hệ thống đo đếm theo kế hoạch đã thống nhất.
b) Đối với trường hợp thay thế thiết bị của Hệ thống đo đếm khi nâng cấp, cải tạo Hệ thống đo đếm
- Thực hiện thỏa thuận thiết kế kỹ thuật, đầu tư, lắp đặt, nghiệm thu thiết bị thay thế theo quy định tại Chương V Thông tư này;
- Đơn vị quản lý số liệu đo đếm và các Đơn vị giao nhận điện liên quan có trách nhiệm cập nhật thay đổi thông số của Hệ thống đo đếm vào cơ sở dữ liệu đo đếm, Hệ thống thu thập số liệu đo đếm và Hệ thống quản lý số liệu đo đếm.
2. Trường hợp đo đếm điện năng phục vụ giao nhận điện năng với Khách hàng sử dụng điện đấu nối vào cấp điện áp từ trung áp trở xuống, Đơn vị phân phối điện hoặc Đơn vị bán lẻ điện có trách nhiệm thay thế thiết bị của Hệ thống đo đếm theo quy định tại Điều 123 Thông tư này và phải thông báo trước cho khách hàng biết lý do. Khi tiến hành thay thế thiết bị của Hệ thống đo đếm phải có sự chứng kiến và xác nhận của đại diện Khách hàng sử dụng điện.
Điều 128. Công tác tại hiện trường
Khi thực hiện thay đổi thông số hoặc thay thế thiết bị của Hệ thống đo đếm, các đơn vị tham gia có trách nhiệm thực hiện công việc sau:
- Kiểm tra tình trạng niêm phong, hoạt động của Hệ thống đo đếm.
- Chốt chỉ số công tơ đo đếm, tính toán sản lượng trong các chu kỳ không thông qua Hệ thống đo đếm.
- Tính toán truy thu, thoái hoàn (nếu có).
- Lập biên bản thay đổi thông số, thay thế thiết bị hoặc hủy bỏ vị trí đo đếm, trong đó phải có các thông tin sau: Vị trí đo đếm điện năng, thời điểm thực hiện, chỉ số công tơ đo đếm trước và sau khi treo, tháo và các nội dung công việc đã thực hiện. Biên bản xác nhận phải có chữ ký của đại diện của các đơn vị tham gia.
Điều 129. Vận hành Hệ thống thu thập số liệu đo đếm và Hệ thống quản lý số liệu đo đếm
- Đơn vị quản lý vận hành hệ thống đo đếm có trách nhiệm quản lý, vận hành Hệ thống thu thập số liệu đo đếm tại vị trí đo đếm bao gồm các thiết bị thông tin, máy tính (nếu có), chương trình đọc số liệu công tơ đo đếm để đảm bảo cập nhật đầy đủ, chính xác số liệu từ các công tơ đo đếm tại vị trí đo đếm trong phạm vi quản lý và truyền về Hệ thống thu thập số liệu đo đếm, Hệ thống quản lý số liệu đo đếm của Đơn vị quản lý số liệu đo đếm để cập nhật vào cơ sở dữ liệu chung.
- Đơn vị quản lý số liệu đo đếm có trách nhiệm quản lý, vận hành, bảo mật Hệ thống thu thập số liệu đo đếm, Hệ thống quản lý số liệu đo đếm và cơ sở dữ liệu đo đếm điện năng trong phạm vi quản lý đảm bảo cập nhật thông tin, số liệu đầy đủ, chính xác và tin cậy.
Mục 2:
XỬ LÝ SỰ CỐ HỆ THỐNG ĐO ĐẾM,
HỆ THỐNG THU THẬP SỐ LIỆU ĐO ĐẾM
VÀ HỆ THỐNG QUẢN LÝ SỐ LIỆU ĐO ĐẾM
Điều 130. Sự cố Hệ thống đo đếm, Hệ thống thu thập số liệu đo đếm và Hệ thống quản lý số liệu đo đếm
-
Đơn vị quản lý vận hành hệ thống đo đếm, Đơn vị quản lý số liệu đo đếm có trách nhiệm chủ trì và phối hợp với các đơn vị liên quan trong việc khắc phục các sự cố của Hệ thống đo đếm, Hệ thống thu thập số liệu đo đếm và Hệ thống quản lý số liệu đo đếm trong phạm vi quản lý, trừ trường hợp khẩn cấp quy định tại khoản 3 Điều này.
-
Quá trình xử lý sự cố Hệ thống đo đếm phải có sự tham gia, chứng kiến của đại diện Công ty mua bán điện hoặc Đơn vị phân phối điện hoặc Đơn vị bán lẻ điện và các Đơn vị giao nhận điện liên quan; phải được ghi lại bằng biên bản làm việc và có chữ ký của đại diện các đơn vị liên quan tham gia, trừ trường hợp khẩn cấp được quy định tại khoản 3 Điều này.
-
Trường hợp khẩn cấp, khi sự cố xảy ra đối với Hệ thống đo đếm có thể gây nguy hiểm cho con người hoặc thiết bị, Đơn vị quản lý vận hành hệ thống đo đếm được quyền chủ động xử lý sự cố nhưng phải thông báo ngay tới Công ty mua bán điện hoặc Đơn vị phân phối điện hoặc Đơn vị bán lẻ điện và các Đơn vị giao nhận điện liên quan và phải thực hiện các công việc sau:
a) Lập biên bản ghi lại chi tiết các thông tin về sự cố và biện pháp khắc phục bao gồm các nội dung: Thời điểm xảy ra sự cố, tình trạng sự cố, thời gian khắc phục, chỉ số công tơ đo đếm tại các thời điểm bị sự cố và sau khi được phục hồi. Biên bản phải có chữ ký xác nhận của đại diện có thẩm quyền của Đơn vị quản lý vận hành hệ thống đo đếm;
b) Phối hợp với Công ty mua bán điện hoặc Đơn vị phân phối điện hoặc Đơn vị bán lẻ điện và các Đơn vị giao nhận điện liên quan để thực hiện các thủ tục niêm phong kẹp chì và tính toán sản lượng điện năng truy thu, thoái hoàn theo quy định.
4. Sản lượng điện năng truy thu, thoái hoàn trong thời gian Hệ thống đo đếm bị sự cố phải được Công ty Mua bán điện hoặc Đơn vị phân phối điện hoặc Đơn vị bán lẻ điện và các Đơn vị giao nhận điện liên quan tính toán thống nhất.
Điều 131. Xử lý sự cố Hệ thống đo đếm
-
Ngay khi nhận được thông báo về sự cố Hệ thống đo đếm, Đơn vị quản lý vận hành hệ thống đo đếm có trách nhiệm:
a) Thông báo cho Công ty Mua bán điện hoặc Đơn vị phân phối điện và các Đơn vị giao nhận điện liên quan, Đơn vị sở hữu hệ thống đo đếm, Đơn vị quản lý số liệu đo đếm;
b) Chủ trì, phối hợp với các Đơn vị giao nhận điện liên quan xác định nguyên nhân sự cố và đưa ra biện pháp khắc phục sự cố Hệ thống đo đếm.
2. Trường hợp các thiết bị đo đếm bị sự cố phải thay thế và kiểm định, Đơn vị sở hữu hệ thống đo đếm có trách nhiệm ký hợp đồng với Đơn vị thử nghiệm, kiểm định thực hiện các nội dung liên quan.
3. Tại hiện trường, các đơn vị tham gia xử lý sự cố thực hiện các công việc sau:
a) Đơn vị quản lý vận hành hệ thống đo đếm, Đơn vị sở hữu hệ thống đo đếm có trách nhiệm cung cấp các tài liệu, số liệu liên quan phục vụ công tác xác định nguyên nhân và khắc phục sự cố Hệ thống đo đếm bao gồm: Nhật ký vận hành Hệ thống đo đếm, số liệu được ghi nhận trong công tơ đo đếm tại thời điểm trước khi xảy ra sự cố;
b) Sau khi xác định được nguyên nhân và đưa ra biện pháp khắc phục sự cố, Đơn vị quản lý vận hành hệ thống đo đếm có trách nhiệm phối hợp với Đơn vị sở hữu hệ thống đo đếm khắc phục sự cố Hệ thống đo đếm, cụ thể như sau:
-
-
Trường hợp thiết bị đo đếm bị hư hỏng, Đơn vị sở hữu hệ thống đo đếm chủ trì, phối hợp với Đơn vị quản lý vận hành hệ thống đo đếm thay thế hoặc sửa chữa trong thời hạn ngắn nhất để các thiết bị đo đếm đảm bảo yêu cầu quy định tại Thông tư này và hoạt động trở lại bình thường. Việc thay thế hoặc sửa chữa phải thực hiện theo quy định tại Điều 49 Thông tư này;
-
Trường hợp không thể khắc phục ngay sự cố, Đơn vị quản lý vận hành hệ thống đo đếm chủ trì, phối hợp với các Đơn vị giao nhận điện liên quan xác định phương án đo đếm thay thế tạm thời (nếu cần thiết).
-
c) Kiểm tra, nghiệm thu Hệ thống đo đếm sau khi đã khắc phục sự cố;
d) Trường hợp sự cố Hệ thống đo đếm dẫn đến việc không xác định được chính xác số liệu đo đếm và sản lượng điện năng giao nhận, Đơn vị quản lý vận hành hệ thống đo đếm chủ trì, phối hợp các đơn vị liên quan ước tính, thống nhất số liệu đo đếm và sản lượng điện năng giao nhận bằng biên bản để làm căn cứ thanh toán tiền điện;
đ) Đơn vị quản lý vận hành hệ thống đo đếm có trách nhiệm lập biên bản xử lý, khắc phục sự cố Hệ thống đo đếm. Biên bản phải được các đơn vị tham gia thống nhất và được đại diện các đơn vị ký xác nhận.
4. Đối với sự cố Hệ thống đo đếm cấp điện áp hạ áp, ngay sau khi phát hiện hoặc được Khách hàng sử dụng điện thông báo về sự cố hoặc hiện tượng bất thường, Đơn vị phân phối điện hoặc Đơn vị bán lẻ điện có trách nhiệm chủ trì, phối hợp với Khách hàng sử dụng điện để khắc phục sự cố trong thời gian sớm nhất.
Điều 132. Xử lý sự cố Hệ thống thu thập số liệu đo đếm và Hệ thống quản lý số liệu đo đếm
- Trong quá trình quản lý vận hành Hệ thống thu thập số liệu đo đếm và Hệ thống quản lý số liệu đo đếm, đơn vị phát hiện thấy xảy ra lỗi hoặc sự cố với hệ thống đọc và truyền số liệu dẫn đến việc truy cập số liệu từ xa không thực hiện được có trách nhiệm thông báo ngay về Đơn vị quản lý vận hành hệ thống đo đếm và Đơn vị quản lý số liệu đo đếm để phối hợp xử lý, giải quyết. Ngay khi nhận được thông tin, Đơn vị quản lý vận hành hệ thống đo đếm và Đơn vị quản lý số liệu đo đếm có trách nhiệm liên hệ với các đơn vị liên quan để phối hợp tiến hành kiểm tra, xác định lỗi hoặc sự cố và thực hiện biện pháp khắc phục kịp thời.
- Sau khi kiểm tra, nếu phát hiện lỗi xảy ra tại khâu nào, đơn vị chịu trách nhiệm khâu đó phải khẩn trương xử lý, khắc phục để phục hồi tình trạng hoạt động của Hệ thống thu thập số liệu đo đếm hoặc Hệ thống quản lý số liệu đo đếm trong thời gian ngắn nhất.
- Sau khi Hệ thống thu thập số liệu đo đếm hoặc Hệ thống quản lý số liệu đo đếm được khôi phục sau sự cố, Đơn vị quản lý vận hành hệ thống đo đếm và Đơn vị quản lý số liệu đo đếm có trách nhiệm thực hiện các biện pháp để thu thập số liệu đo đếm về Đơn vị quản lý số liệu đo đếm để bổ sung các số liệu còn thiếu trong quá trình hệ thống bị sự cố.
- Trường hợp chưa thể xử lý sự cố Hệ thống thu thập số liệu đo đếm, Đơn vị quản lý vận hành hệ thống đo đếm có trách nhiệm tiến hành thu thập số liệu công tơ đo đếm trực tiếp tại chỗ và sử dụng các biện pháp thông tin liên lạc thích hợp để chuyển số liệu kịp thời về Đơn vị quản lý số liệu đo đếm để cập nhật vào cơ sở dữ liệu đo đếm chung của toàn hệ thống.
- Trường hợp Hệ thống thu thập số liệu đo đếm và Hệ thống quản lý số liệu đo đếm bị lỗi hoặc sự cố dẫn đến việc không đọc được số liệu công tơ đo đếm hoặc đọc được số liệu nhưng bị sai, Đơn vị quản lý số liệu đo đếm phải phối hợp với Đơn vị quản lý vận hành hệ thống đo đếm và các đơn vị liên quan để thu thập số liệu đo đếm chính xác phục vụ việc truy thu, thoái hoàn. Số liệu đo đếm chính xác phải cập nhật vào cơ sở dữ liệu đo đếm của Đơn vị quản lý số liệu đo đếm.
Mục 3:
KIỂM ĐỊNH THIẾT BỊ ĐO ĐẾM
Điều 133. Quy định chung về kiểm định thiết bị đo đếm
-
Kiểm định thiết bị đo đếm bao gồm kiểm định ban đầu, kiểm định định kỳ, kiểm định sau sửa chữa và kiểm định theo yêu cầu.
-
Thiết bị đo đếm chỉ được đưa vào sử dụng sau khi được kiểm định theo quy định của pháp luật về đo lường và đáp ứng đầy đủ các yêu cầu quy định tại Thông tư này.
-
Kiểm định ban đầu là việc kiểm định lần đầu tiên đối với thiết bị đo đếm trước khi đưa vào sử dụng. Trong phạm vi quản lý, Đơn vị đầu tư hệ thống đo đếm phải chịu toàn bộ chi phí cho việc kiểm định ban đầu thiết bị đo đếm.
-
Kiểm định định kỳ được thực hiện theo chu kỳ do cơ quan quản lý nhà nước về đo lường quy định hoặc theo quy định tại hợp đồng mua bán điện nhưng không được trái với quy định của pháp luật về đo lường. Đơn vị sở hữu hệ thống đo đếm phải chịu toàn bộ chi phí cho việc kiểm định định kỳ thiết bị đo đếm.
-
Kiểm định sau sửa chữa được thực hiện theo quy định của pháp luật về đo lường.
-
Kiểm định theo yêu cầu được thực hiện trong các trường hợp sau:
a) Kiểm định theo yêu cầu của Đơn vị sở hữu hệ thống đo đếm;
b) Kiểm định theo yêu cầu của Đơn vị giao nhận điện liên quan không sở hữu hoặc đầu tư Hệ thống đo đếm, trừ trường hợp quy định tại Điểm c khoản này;
c) Trường hợp Khách hàng sử dụng điện có yêu cầu thực hiện kiểm định thiết bị đo đếm đang được sử dụng để bán điện cho khách hàng, Đơn vị phân phối điện hoặc Đơn vị bán lẻ điện và Khách hàng sử dụng điện có trách nhiệm phối hợp thực hiện.
7. Đơn vị đầu tư hệ thống đo đếm hoặc Đơn vị sở hữu hệ thống đo đếm có trách nhiệm tập hợp toàn bộ hồ sơ kiểm định (Giấy chứng nhận kiểm định và Biên bản làm việc) và gửi 01 (một) bộ hồ sơ cho Đơn vị quản lý số liệu đo đếm và mỗi đơn vị tham gia kiểm định thiết bị đo đếm.
8. Đơn vị quản lý số liệu đo đếm và các đơn vị tham gia kiểm định thiết bị đo đếm có trách nhiệm lưu giữ hồ sơ kiểm định, cập nhật thông tin điểm đo vào danh sách vị trí đo đếm giao nhận và chương trình quản lý của đơn vị.
Điều 134. Thành phần tham gia kiểm định thiết bị đo đếm cấp điện áp từ trung áp trở lên
Tùy theo từng trường hợp đo đếm giao nhận và mục đích kiểm định thành phần tham gia kiểm định thiết bị đo đếm có thể bao gồm:
- Đơn vị sở hữu hệ thống đo đếm hoặc Đơn vị đầu tư hệ thống đo đếm.
- Công ty Mua bán điện hoặc Đơn vị phân phối điện.
- Đơn vị quản lý vận hành hệ thống đo đếm.
- Đơn vị thử nghiệm, kiểm định.
- Đơn vị giao nhận điện liên quan.
Điều 135. Kiểm định định kỳ thiết bị đo đếm cấp điện áp từ trung áp trở lên
- Trước ngày 05 tháng 12 hàng năm, Đơn vị quản lý vận hành hệ thống đo đếm phối hợp với Đơn vị sở hữu hệ thống đo đếm gửi thông báo cho các Đơn vị giao nhận điện liên quan và Đơn vị thử nghiệm, kiểm định kế hoạch kiểm định định kỳ thiết bị đo đếm cho từng tháng của năm tiếp theo.
- Trước ngày 20 tháng 12 hàng năm, trên cơ sở kế hoạch kiểm định định kỳ do Đơn vị quản lý vận hành hệ thống đo đếm gửi, các Đơn vị giao nhận điện liên quan và Đơn vị thử nghiệm, kiểm định có trách nhiệm thống nhất kế hoạch kiểm định định kỳ của năm tiếp theo.
- Trường hợp kế hoạch kiểm định định kỳ năm có sự thay đổi, trước ngày 20 tháng cuối cùng của mỗi Quý trong năm, Đơn vị quản lý vận hành hệ thống đo đếm phối hợp với Đơn vị sở hữu hệ thống đo đếm cập nhật và thống nhất kế hoạch với các Đơn vị giao nhận điện liên quan và Đơn vị thử nghiệm, kiểm định kế hoạch kiểm định cho các tháng còn lại của năm.
- Trên cơ sở kế hoạch kiểm định định kỳ năm tiếp theo và kế hoạch cập nhật hàng quý đã được các bên thống nhất, ít nhất 10 ngày trước ngày thực hiện kiểm định định kỳ, Đơn vị quản lý vận hành hệ thống đo đếm có trách nhiệm thông báo thời gian thực hiện kiểm định định kỳ cho các đơn vị quy định tại Điều 134 Thông tư này.
- Đơn vị quản lý vận hành hệ thống đo đếm có trách nhiệm chủ trì và phối hợp với Đơn vị sở hữu hệ thống đo đếm tổ chức việc kiểm định định kỳ thiết bị đo đếm; Đơn vị thử nghiệm, kiểm định thực hiện kiểm định theo đúng quy định của pháp luật về đo lường và hợp đồng đã ký với Đơn vị quản lý vận hành hệ thống đo đếm hoặc Đơn vị sở hữu hệ thống đo đếm.
- Trường hợp kết quả kiểm định định kỳ cho thấy thiết bị đo đếm không đạt các yêu cầu quy định tại Thông tư này và yêu cầu kỹ thuật theo quy định của pháp luật về đo lường, Đơn vị sở hữu hệ thống đo đếm phải thay thế thiết bị đo đếm trong thời gian ngắn nhất.
Điều 136. Kiểm định theo yêu cầu thiết bị đo đếm cấp điện áp từ trung áp trở lên
-
Trường hợp kiểm định theo yêu cầu của Đơn vị sở hữu hệ thống đo đếm
a) Đơn vị sở hữu hệ thống đo đếm có trách nhiệm thông báo cho Đơn vị giao nhận điện liên quan ít nhất 10 ngày trước ngày dự kiến thực hiện kiểm định theo yêu cầu. Trong thời hạn 03 ngày kể từ ngày nhận được thông báo, các Đơn vị giao nhận điện liên quan có trách nhiệm gửi ý kiến cho Đơn vị sở hữu hệ thống đo đếm về kế hoạch kiểm định;
b) Kiểm định theo yêu cầu chỉ được tiến hành sau khi các Đơn vị giao nhận điện liên quan thống nhất kế hoạch;
c) Đơn vị sở hữu hệ thống đo đếm phải chịu mọi chi phí cho việc kiểm định theo yêu cầu.
2. Trường hợp kiểm định theo yêu cầu của Đơn vị giao nhận điện liên quan không sở hữu hoặc đầu tư Hệ thống đo đếm, trừ trường hợp quy định tại Điểm c Khoản 6 Điều 133 Thông tư này
a) Đơn vị giao nhận điện liên quan có yêu cầu kiểm định có trách nhiệm thông báo cho Đơn vị sở hữu hệ thống đo đếm và các Đơn vị giao nhận điện liên quan khác ít nhất 10 ngày trước ngày dự kiến thực hiện kiểm định. Trong thời hạn 03 ngày kể từ ngày nhận được thông báo, Đơn vị sở hữu hệ thống đo đếm và các Đơn vị giao nhận điện liên quan khác có trách nhiệm gửi ý kiến cho Đơn vị giao nhận điện liên quan có yêu cầu kiểm định;
b) Kiểm định theo yêu cầu chỉ được tiến hành sau khi các Đơn vị giao nhận điện liên quan thống nhất kế hoạch;
c) Chi phí cho việc kiểm định thiết bị đo đếm
- Trường hợp sau khi kiểm định theo yêu cầu, thiết bị đo đếm đạt các yêu cầu quy định tại Thông tư này và yêu cầu kỹ thuật theo quy định của pháp luật về đo lường thì đơn vị yêu cầu kiểm định chi trả mọi chi phí kiểm định;
- Trường hợp thiết bị đo đếm không đạt các yêu cầu quy định tại Thông tư này và yêu cầu kỹ thuật theo quy định của pháp luật về đo lường thì Đơn vị sở hữu hệ thống đo đếm chi trả mọi chi phí kiểm định.
3. Đơn vị sở hữu hệ thống đo đếm có trách nhiệm tổ chức việc kiểm định theo yêu cầu thiết bị đo đếm. Đơn vị thử nghiệm, kiểm định thực hiện kiểm định theo đúng quy định của pháp luật về đo lường và hợp đồng đã ký với Đơn vị sở hữu hệ thống đo đếm.
4. Trường hợp kết quả kiểm định theo yêu cầu cho thấy thiết bị đo đếm không đạt các yêu cầu quy định tại Thông tư này và yêu cầu kỹ thuật theo quy định của pháp luật về đo lường, Đơn vị sở hữu hệ thống đo đếm phải thay thế thiết bị đo đếm trong thời gian ngắn nhất.
Điều 137. Kiểm định sau sửa chữa thiết bị đo đếm cấp điện áp từ trung áp trở lên
- Thiết bị đo đếm sau khi sửa chữa xong phải được kiểm định đảm bảo đáp ứng các yêu cầu quy định tại Thông tư này và các yêu cầu kỹ thuật theo quy định của pháp luật về đo lường.
- Đơn vị sở hữu hệ thống đo đếm hoặc Đơn vị quản lý vận hành hệ thống đo đếm có trách nhiệm tổ chức thực hiện kiểm định thiết bị đo đếm sau sửa chữa theo quy định pháp luật về đo lường.
- Trình tự và nội dung kiểm định sau sửa chữa được thực hiện theo quy định của pháp luật về đo lường.
Điều 138. Thực hiện kiểm định thiết bị đo đếm cấp điện áp từ trung áp trở lên
-
Trường hợp đo đếm điện năng phục vụ giao nhận điện năng giữa nhà máy điện với lưới điện hoặc giữa lưới điện truyền tải với lưới điện phân phối hoặc giữa các Đơn vị phân phối điện với nhau hoặc giữa Khách hàng sử dụng điện đấu nối vào cấp điện áp từ 110 kV trở lên với lưới điện, trình tự kiểm định thiết bị đo đếm được thực hiện như sau:
a) Các đơn vị tham gia kiểm định kiểm tra niêm phong kẹp chì và tình trạng hoạt động của thiết bị đo đếm trước khi kiểm định;
b) Các đơn vị tham gia chốt chỉ số công tơ đo đếm và phá bỏ niêm phong kẹp chì;
c) Đơn vị thử nghiệm, kiểm định truy xuất dữ liệu công tơ đo đếm, đấu nối sơ đồ kiểm định và tiến hành kiểm định thiết bị đo đếm theo quy trình kiểm định công tơ đo đếm do cơ quan quản lý nhà nước về đo lường quy định;
d) Đơn vị thử nghiệm, kiểm định thiết lập lại thiết bị đo đếm, kết nối thông tin giữa công tơ đo đếm với Hệ thống thu thập số liệu đo đếm, niêm phong kẹp chì Hệ thống đo đếm;
đ) Đơn vị thử nghiệm, kiểm định và các đơn vị tham gia kiểm định có trách nhiệm tính toán sản lượng điện năng tăng thêm và sản lượng điện năng không qua đo đếm (nếu có) trong quá trình kiểm định;
e) Lập biên bản làm việc có chữ ký của đại diện các đơn vị tham gia.
2. Trường hợp đo đếm điện năng phục vụ giao nhận điện năng với Khách hàng sử dụng điện đấu nối vào cấp điện áp trung áp, Đơn vị phân phối điện hoặc Đơn vị bán lẻ điện tổ chức thực hiện kiểm định thiết bị đo đếm theo trình tự như sau:
a) Phối hợp với Khách hàng sử dụng điện kiểm tra niêm phong kẹp chì và tình trạng hoạt động của Hệ thống đo đếm, chốt chỉ số công tơ đo đếm và phá bỏ niêm phong kẹp chì trước khi thực hiện kiểm định hoặc thay thế định kỳ;
b) Tổ chức kiểm định hoặc thay thế định kỳ theo quy định của pháp luật về đo lường;
c) Tái lập lại Hệ thống đo đếm cho khách hàng và thực hiện niêm phong kẹp chì Hệ thống đo đếm;
d) Lập biên bản làm việc có chữ ký của đại diện các bên tham gia.
Điều 139. Yêu cầu về kiểm định thiết bị đo đếm cấp điện áp hạ áp
Ngoài các quy định về kiểm định thiết bị đo đếm quy định tại Điều 55 Thông tư này, việc kiểm định thiết bị đo đếm cấp điện áp hạ áp phải đáp ứng các yêu cầu sau:
- Hàng năm, Đơn vị phân phối điện hoặc Đơn vị bán lẻ điện lập kế hoạch kiểm định định kỳ các thiết bị đo đếm đang sử dụng để bán điện cho Khách hàng sử dụng điện trong phạm vi quản lý.
- Đơn vị phân phối điện hoặc Đơn vị bán lẻ điện chịu toàn bộ chi phí kiểm định ban đầu, kiểm định định kỳ, kiểm định sau sửa chữa thiết bị đo đếm để đảm bảo các thiết bị đo đếm hoạt động bình thường và đáp ứng các yêu cầu kỹ thuật theo quy định của pháp luật về đo lường và yêu cầu quy định tại Thông tư này.
Điều 140. Kiểm định định kỳ thiết bị đo đếm cấp điện áp hạ áp
-
Kiểm định định kỳ thiết bị đo đếm có thể được thực hiện tại chỗ hoặc kiểm định trong phòng thử nghiệm. Trường hợp thực hiện kiểm định trong phòng thử nghiệm, Đơn vị phân phối điện hoặc Đơn vị bán lẻ điện phải lắp đặt thiết bị đo đếm điện khác đạt tiêu chuẩn theo quy định của pháp luật về đo lường để thay thế thiết bị đo đếm đã tháo ra.
-
Đơn vị phân phối điện hoặc Đơn vị bán lẻ điện thay thế hoặc kiểm định định kỳ các thiết bị đo đếm theo trình tự như sau:
a) Phối hợp với Khách hàng sử dụng điện kiểm tra niêm phong kẹp chì và tình trạng hoạt động của Hệ thống đo đếm, chốt chỉ số công tơ đo đếm và phá bỏ niêm phong kẹp chì trước khi thực hiện kiểm định hoặc thay thế định kỳ;
b) Tổ chức kiểm định hoặc thay thế định kỳ theo quy định của pháp luật về đo lường;
c) Tái lập lại Hệ thống đo đếm cho khách hàng và thực hiện niêm phong kẹp chì Hệ thống đo đếm;
d) Lập biên bản làm việc có chữ ký của đại diện các bên tham gia.
Chương IX:
THU THẬP, XỬ LÝ SỐ LIỆU ĐO ĐẾM VÀ GIAO NHẬN ĐIỆN NĂNG
Điều 141. Nguyên tắc giao nhận điện năng và thu thập số liệu đo đếm
Các nguyên tắc chính trong giao nhận điện năng phục vụ thanh toán bao gồm:
- Điện năng giao nhận phục vụ thanh toán phải được xác định thông qua Hệ thống đo đếm theo phương thức giao nhận điện năng được bên bán và bên mua thống nhất.
- Điện năng giao nhận phục vụ thanh toán được thu thập bằng một trong hai phương pháp quy định tại Điều 147 Thông tư này.
- Vị trí đo đếm điện năng và Hệ thống đo đếm được xác định theo quy định tại Chương III Thông tư này.
Mục 1:
PHƯƠNG THỨC GIAO NHẬN ĐIỆN NĂNG
Điều 142. Nguyên tắc, căn cứ thiết lập phương thức giao nhận điện năng
-
Nguyên tắc thiết lập phương thức giao nhận điện năng
a) Phương thức giao nhận điện năng thể hiện mối quan hệ giữa các đơn vị trong giao nhận điện năng, phương thức giao nhận điện năng phải đảm bảo xác định đầy đủ, chính xác sản lượng điện năng giao nhận giữa bên bán và bên mua;
b) Phương thức giao nhận điện năng tại mỗi vị trí đo đếm phải chỉ rõ đơn vị giao nhận điện và chiều giao nhận điện năng, công thức xác định và tổng hợp điện năng qua một hoặc nhiều điểm đo liên quan làm căn cứ xác nhận điện năng giao nhận;
c) Trong quá trình thỏa thuận thiết kế kỹ thuật Hệ thống đo đếm phải đề cập và xét đến các nguyên tắc, yêu cầu và tính khả thi của phương thức giao nhận điện năng;
d) Được phép phối hợp nhiều Hệ thống đo đếm để xác định chính xác sản lượng điện năng giao nhận cho từng trường hợp cụ thể.
2. Căn cứ thiết lập phương thức giao nhận điện năng bao gồm:
a) Sơ đồ nhất thứ của trạm điện hoặc nhà máy điện;
b) Sơ đồ kết dây lưới điện khu vực;
c) Thỏa thuận thiết kế kỹ thuật Hệ thống đo đếm, vị trí đo đếm điện năng (vị trí đo đếm chính, vị trí đo đếm dự phòng hoặc các vị trí đo đếm có liên quan);
d) Thời điểm chính thức đưa vào vận hành hoặc hủy bỏ Hệ thống đo đếm.
Điều 143. Thiết lập phương thức giao nhận điện năng
-
Phương thức giao nhận điện năng được thiết lập mới hoặc điều chỉnh trong các trường hợp:
a) Thiết lập mới vị trí đo đếm;
b) Hủy bỏ vị trí đo đếm;
c) Thay đổi đơn vị giao nhận điện năng.
2. Thiết lập mới phương thức giao nhận điện năng
a) Trong phạm vi quản lý, Công ty Mua bán điện hoặc Đơn vị phân phối điện hoặc Đơn vị bán lẻ điện chủ trì thiết lập mới phương thức giao nhận điện năng cho vị trí đo đếm đã được thống nhất trong Thỏa thuận thiết kế kỹ thuật Hệ thống đo đếm và thông báo cho Đơn vị đầu tư hệ thống đo đếm và các Đơn vị giao nhận điện liên quan bằng văn bản;
b) Đơn vị đầu tư hệ thống đo đếm và các Đơn vị giao nhận điện liên quan có trách nhiệm thống nhất phương thức giao nhận điện năng mới bằng văn bản gửi cho đơn vị chủ trì thiết lập phương thức giao nhận điện năng (Công ty Mua bán điện hoặc Đơn vị phân phối điện hoặc Đơn vị bán lẻ điện).
3. Điều chỉnh phương thức giao nhận điện năng
a) Điều chỉnh phương thức giao nhận điện năng được thực hiện trong các trường hợp: Thay đổi kết dây của lưới điện hoặc thay đổi phạm vi quản lý vận hành và giao nhận điện năng giữa các đơn vị;
b) Đơn vị sở hữu hệ thống đo đếm hoặc Đơn vị quản lý vận hành hệ thống đo đếm có trách nhiệm thông báo bằng văn bản lý do và đề xuất điều chỉnh phương thức giao nhận điện năng (hủy bỏ vị trí đo đếm hoặc thay đổi đơn vị giao nhận điện năng), kèm theo các tài liệu có liên quan cho đơn vị chủ trì thiết lập phương thức giao nhận điện năng và các Đơn vị giao nhận điện liên quan;
c) Căn cứ văn bản thông báo và tài liệu gửi kèm theo, trong phạm vi quản lý, Công ty Mua bán điện hoặc Đơn vị phân phối điện hoặc Đơn vị bán lẻ điện chủ trì xem xét việc điều chỉnh phương thức giao nhận điện năng và gửi văn bản thông báo cho Đơn vị sở hữu hệ thống đo đếm hoặc Đơn vị quản lý vận hành hệ thống đo đếm và các Đơn vị giao nhận điện liên quan về việc điều chỉnh phương thức giao nhận điện năng kèm theo kế hoạch tổ chức thực hiện đã thống nhất.
4. Phương thức giao nhận điện năng đã được Công ty Mua bán điện hoặc Đơn vị phân phối điện hoặc Đơn vị bán lẻ điện thông báo là căn cứ để các bên thực hiện giao nhận và tổng hợp điện năng. Trường hợp có một Đơn vị giao nhận điện liên quan chưa thống nhất, thì trong thời gian chờ giải quyết tiếp tục áp dụng phương thức giao nhận điện năng do Công ty Mua bán điện hoặc Đơn vị phân phối điện hoặc Đơn vị bán lẻ điện đã thông báo.
Mục 2:
ĐƯA VÀO HOẶC HỦY BỎ VỊ TRÍ ĐO ĐẾM GIAO NHẬN ĐIỆN NĂNG
Điều 144. Nguyên tắc, căn cứ cơ sở đưa vị trí đo đếm vào giao nhận điện năng
Hệ thống đo đếm tại vị trí đo đếm chỉ được đưa vào làm căn cứ giao nhận điện năng khi đáp ứng các yêu cầu quy định tại Thông tư này, yêu cầu kỹ thuật theo quy định của pháp luật về đo lường, được kiểm định, nghiệm thu theo quy định và hoàn thành thủ tục đưa vị trí đo đếm vào giao nhận điện năng quy định tại Điều 145 Thông tư này.
Điều 145. Đưa vị trí đo đếm vào giao nhận điện năng
- Trường hợp giao nhận điện năng giữa nhà máy điện với lưới điện hoặc giữa lưới điện truyền tải với lưới điện phân phối hoặc giữa các Đơn vị phân phối điện với nhau hoặc giữa Khách hàng sử dụng điện đấu nối vào cấp điện áp từ 110 kV trở lên với lưới điện, căn cứ vào hồ sơ nghiệm thu Hệ thống đo đếm theo quy định tại Điều 119 Thông tư này, trong phạm vi quản lý, Công ty Mua bán điện hoặc Đơn vị phân phối điện hoặc Đơn vị bán lẻ điện thông báo cho các Đơn vị giao nhận điện liên quan về phương thức giao nhận điện năng, thời điểm và kỳ tổng hợp điện năng giao nhận đầu tiên của vị trí đo đếm, phụ lục chốt chỉ số công tơ đo đếm, phiếu tổng hợp điện năng giao nhận.
- Trường hợp giao nhận điện năng với Khách hàng sử dụng điện đấu nối vào cấp điện áp từ trung áp trở xuống, vị trí đo đếm chỉ được đưa vào giao nhận điện năng khi đã thực hiện xong các thủ tục quy định tại Điều 124 Thông tư này.
- Các Đơn vị giao nhận điện liên quan và Đơn vị quản lý số liệu đo đếm có trách nhiệm cập nhật vị trí đo đếm, thông số kỹ thuật của Hệ thống đo đếm và phương thức giao nhận điện năng.
Điều 146. Hủy bỏ vị trí đo đếm
-
Trường hợp giao nhận điện năng giữa nhà máy điện với lưới điện hoặc giữa lưới điện truyền tải với lưới điện phân phối hoặc giữa các Đơn vị phân phối điện với nhau hoặc giữa Khách hàng sử dụng điện đấu nối vào cấp điện áp từ 110 kV trở lên với lưới điện:
a) Khi có yêu cầu hủy bỏ một hoặc nhiều vị trí đo đếm phục vụ giao nhận điện năng, Đơn vị sở hữu hệ thống đo đếm hoặc Đơn vị quản lý vận hành hệ thống đo đếm có trách nhiệm thông báo bằng văn bản kế hoạch hủy bỏ vị trí đo đếm cho đơn vị chủ trì hủy bỏ vị trí đo đếm vào giao nhận điện năng (Công ty Mua bán điện hoặc Đơn vị phân phối điện hoặc Đơn vị bán lẻ điện) và các Đơn vị giao nhận điện liên quan ít nhất 10 ngày làm việc trước ngày thực hiện hủy bỏ vị trí đo đếm;
b) Trong thời hạn 05 ngày làm việc, trong phạm vi quản lý, Công ty Mua bán điện hoặc Đơn vị phân phối điện hoặc Đơn vị bán lẻ điện có trách nhiệm thông báo cho các đơn vị liên quan thống nhất về việc hủy bỏ vị trí đo đếm và kế hoạch thực hiện hoặc đề nghị Đơn vị sở hữu hệ thống đo đếm hoặc Đơn vị quản lý vận hành hệ thống đo đếm bổ sung hồ sơ tài liệu để có đủ căn cứ xác định việc hủy bỏ vị trí đo đếm;
c) Tùy theo từng trường hợp cụ thể và mục đích giao nhận điện năng, các đơn vị tham gia hủy bỏ vị trí đo đếm có thể bao gồm:
- Đơn vị sở hữu hệ thống đo đếm;
- Đơn vị quản lý vận hành hệ thống đo đếm;
- Công ty Mua bán điện hoặc Đơn vị phân phối điện hoặc Đơn vị bán lẻ điện;
- Đơn vị thử nghiệm, kiểm định;
- Đơn vị quản lý số liệu đo đếm;
- Khách hàng sử dụng điện.
d) Kết thúc hủy bỏ vị trí đo đếm, Đơn vị sở hữu hệ thống đo đếm hoặc Đơn vị quản lý vận hành hệ thống đo đếm có trách nhiệm gửi văn bản hủy bỏ vị trí đo đếm tới các Đơn vị giao nhận điện liên quan để cập nhật vào cơ sở dữ liệu.
2. Trường hợp giao nhận điện năng với Khách hàng sử dụng điện đấu nối vào cấp điện áp từ trung áp trở xuống, Đơn vị phân phối điện hoặc Đơn vị bán lẻ điện có trách nhiệm hủy bỏ vị trí đo đếm khi nhận được đề nghị của Khách hàng sử dụng điện.
3. Căn cứ các hồ sơ hủy bỏ vị trí đo đếm, các Đơn vị giao nhận điện liên quan và Đơn vị quản lý số liệu đo đếm thực hiện hủy bỏ vị trí đo đếm, phương thức giao nhận điện năng trong hệ thống quản lý giao nhận điện năng và danh sách vị trí đo đếm ranh giới trong phạm vi quản lý.
4. Tổng hợp điện năng khi hủy bỏ vị trí đo đếm: Điện năng giao nhận được tính đến chỉ số công tơ đo đếm đã được các bên liên quan ghi nhận trong biên bản chốt chỉ số.
Mục 3:
THU THẬP, XỬ LÝ VÀ LƯU TRỮ SỐ LIỆU ĐO ĐẾM
Điều 147. Phương pháp thu thập số liệu đo đếm
Tùy theo điều kiện cụ thể, hệ thống cơ sở hạ tầng, các Đơn vị giao nhận điện liên quan có thể áp dụng một trong các phương pháp thu thập số liệu đo đếm sau:
- Ghi tại chỗ (thu thập tại vị trí đo đếm) là phương pháp thu thập số liệu đo đếm bằng cách sử dụng một trong các phương tiện sau: Sổ ghi chỉ số, thiết bị ghi chỉ số cầm tay.
- Ghi từ xa (thu thập số liệu đo đếm từ xa) là phương pháp thực hiện thu thập số liệu đo đếm từ xa thông qua môi trường truyền dẫn hữu tuyến hoặc vô tuyến.
Điều 148. Yêu cầu đối với phương pháp ghi tại chỗ
- Ghi đủ chỉ số của tất cả công tơ đo đếm có trong danh sách điểm đo giao nhận giữa các đơn vị.
- Ghi đúng chu kỳ, đúng ngày, đúng thời điểm.
- Ghi chính xác, rõ ràng tất cả các chữ số hiển thị trên màn hình hoặc trong bộ số đếm của công tơ đo đếm.
- Chỉ số công tơ đo đếm và các thông số liên quan được đọc và xác nhận phải đáp ứng yêu cầu lập hồ sơ thanh toán.
- Thực hiện ghi chỉ số công tơ đo đếm, tổng hợp điện năng giao nhận tại vị trí đo đếm đối với Hệ thống đo đếm thuộc tài sản và phạm vi quản lý, vận hành hoặc thuộc phạm vi giao nhận điện của đơn vị.
Điều 149. Yêu cầu đối với phương pháp ghi từ xa
- Dữ liệu thu thập từ công tơ đo đếm bao gồm các số liệu và thông tin của công tơ đo đếm lưu trữ theo khoảng thời gian xác định đáp ứng yêu cầu lập hồ sơ thanh toán và công tác quản lý, vận hành.
- Ghi đủ chỉ số của tất cả công tơ đo đếm có trong danh sách điểm đo giao nhận giữa các đơn vị.
- Ghi đúng chu kỳ, đúng ngày, đúng thời điểm.
- Ghi chính xác tất cả các chữ số hiển thị trên màn hình hoặc trong bộ số đếm của công tơ đo đếm.
- Thực hiện ghi chỉ số công tơ đo đếm, tổng hợp điện năng giao nhận tại vị trí đo đếm đối với Hệ thống đo đếm thuộc tài sản và phạm vi quản lý, vận hành hoặc thuộc phạm vị giao nhận điện của đơn vị.
Điều 150. Đọc và truyền số liệu đo đếm
- Việc đọc và truyền số liệu đo đếm phục vụ giao nhận điện năng phải được tiến hành bằng một hoặc các phương thức sau:
a) Phương thức 1: Đơn vị quản lý vận hành hệ thống đo đếm thu thập số liệu đo đếm của các công tơ đo đếm thông qua Hệ thống thu thập số liệu đo đếm trong phạm vi quản lý. Sau đó, các số liệu đo đếm này được truyền về Đơn vị quản lý số liệu đo đếm;
b) Phương thức 2: Đơn vị quản lý số liệu đo đếm đồng bộ thời gian và thu thập số liệu đo đếm trực tiếp từ tất cả các công tơ đo đếm trong phạm vi quản lý thông qua Hệ thống thu thập số liệu đo đếm và Hệ thống quản lý số liệu đo đếm do đơn vị quản lý vận hành.
2. Hàng ngày, Đơn vị quản lý vận hành hệ thống đo đếm có trách nhiệm kiểm tra, theo dõi hệ thống đọc số liệu tại vị trí đo đếm để đảm bảo số liệu của công tơ đo đếm tại vị trí đo đếm được truyền đầy đủ và chính xác về Hệ thống thu thập số liệu đo đếm (nếu có) và về Đơn vị quản lý số liệu đo đếm thông qua Hệ thống quản lý số liệu đo đếm. Trường hợp sự cố hoặc do các nguyên nhân khác dẫn đến không đọc được hoặc số liệu không đầy đủ hoặc không chính xác, Đơn vị quản lý vận hành hệ thống đo đếm có trách nhiệm thông báo ngay cho Đơn vị quản lý số liệu đo đếm các thông tin và lý do thông qua thư điện tử hoặc điện thoại hoặc thông tin liên lạc.
3. Trường hợp thu thập số liệu đo đếm từ xa không thực hiện được thì phải chuyển sang thu thập tại vị trí đo đếm, đồng thời phải kiểm tra tình trạng hoạt động của công tơ đo đếm và Hệ thống thu thập số liệu đo đếm.
4. Hàng ngày, Đơn vị quản lý số liệu đo đếm có trách nhiệm kiểm tra tính đầy đủ, chính xác của số liệu đo đếm được thu thập từ tất cả công tơ đo đếm.
Điều 151. Xử lý số liệu đo đếm
- Đơn vị quản lý số liệu đo đếm có trách nhiệm xử lý số liệu đo đếm thu thập được đảm bảo chính xác và phù hợp với thực tế giao nhận điện năng tại các vị trí đo đếm; phối hợp với Đơn vị quản lý vận hành hệ thống đo đếm và các Đơn vị giao nhận điện liên quan trong quá trình xử lý số liệu đo đếm.
- Đơn vị quản lý vận hành hệ thống đo đếm và các Đơn vị giao nhận điện liên quan có trách nhiệm cung cấp cho Đơn vị quản lý số liệu đo đếm chi tiết các thông tin về kết quả xử lý sự cố hoặc kiểm định mà có ảnh hưởng đến số liệu đo đếm để phục vụ việc xử lý số liệu đo đếm thu thập được của Đơn vị quản lý số liệu đo đếm.
- Hàng tháng, Đơn vị quản lý số liệu đo đếm thực hiện đối chiếu giữa tổng sản lượng điện năng đo đếm thu thập theo chu kỳ xác định với sản lượng điện năng chốt hàng tháng.
- Đơn vị điều độ hệ thống điện quốc gia có trách nhiệm tổ chức xây dựng và ban hành các Quy trình về thu thập, xử lý và quản lý số liệu đo đếm phù hợp với từng mục đích giao nhận điện năng phục vụ thanh toán.
Điều 152. Kiểm toán Đơn vị quản lý số liệu đo đếm
-
Đơn vị quản lý số liệu đo đếm có trách nhiệm tổ chức kiểm toán các quy trình thực hiện, phần mềm và chương trình phục vụ thu thập, xử lý và lưu trữ số liệu đo đếm trong các trường hợp sau:
-
Kiểm toán định kỳ: Kiểm toán được thực hiện hàng năm;
-
Kiểm toán theo yêu cầu: Kiểm toán được thực hiện khi có yêu cầu của Đơn vị giao nhận điện liên quan. Chi phí kiểm toán theo yêu cầu do bên đề nghị chi trả.
-
Nội dung, trình tự thực hiện kiểm toán đối với Đơn vị quản lý số liệu đo đếm được thực hiện theo các quy định pháp luật.
Điều 153. Lưu trữ và quản lý số liệu đo đếm
-
Đơn vị quản lý số liệu đo đếm chịu trách nhiệm tổng hợp các số liệu đo đếm phục vụ giao nhận giữa các đơn vị sau khi đã hoàn thành quá trình xử lý và xác thực số liệu.
-
Đơn vị quản lý số liệu đo đếm có trách nhiệm thực hiện lưu trữ tối thiểu các dữ liệu sau đây:
-
Số liệu điện năng thu thập từ các công tơ đo đếm trước khi xử lý số liệu;
-
Số liệu điện năng của từng công tơ đo đếm sau khi đã xử lý số liệu;
-
Số liệu điện năng giao nhận tổng hợp theo ngày, tháng, năm của từng đơn vị.
-
Thời hạn lưu trữ các số liệu đo đếm quy định tại khoản 2 Điều này ít nhất là 05 năm.
Chương X
ĐÁNH GIÁ CHẤT LƯỢNG VẬN HÀNH
HỆ THỐNG TRUYỀN TẢI ĐIỆN
Điều 154. Các chỉ số thực hiện của Đơn vị điều độ hệ thống điện quốc gia
Định kỳ hàng tháng, hàng năm, Đơn vị điều độ hệ thống điện quốc gia có trách nhiệm báo cáo Bộ Công Thương và công bố trên Trang thông tin điện tử của hệ thống điện và thị trường điện các chỉ số thực hiện sau:
- Số lần tần số hệ thống điện quốc gia vượt ra ngoài dải tần số cho phép và thời gian khôi phục về chế độ vận hành bình thường trong các trường hợp sự cố theo quy định tại Điều 4Thông tư này.
- Chỉ số sẵn sàng của lưới điện, chỉ số độ lệch điện áp (Voltage Deviation Index), chỉ số độ lệch tần số (Frequency Deviation Index).
- Tổng chi phí hàng tháng cho các loại dịch vụ phụ trợ (nếu có).
- Công suất huy động và thời gian huy động thực tế của từng loại dịch vụ phụ trợ.
- Sai số dự báo nhu cầu phụ tải điện năm, tháng, tuần, ngày so với phụ tải điện thực tế.
Điều 155. Các chỉ số thực hiện của Đơn vị truyền tải điện
- Định kỳ hàng tháng, Đơn vị truyền tải điện có trách nhiệm báo cáo Bộ Công Thương và công bố trên Trang thông tin điện tử của đơn vị các chỉ số thực hiện sau:
a) Thống kê tình trạng quá tải của các thiết bị trên lưới điện truyền tải (mức độ quá tải, thời gian quá tải);
b) Thống kê tình trạng cắt điện trong lưới điện truyền tải bao gồm:
- Số lần ngừng, giảm cung cấp điện có kế hoạch và không có kế hoạch;
- Thời gian bắt đầu và thời gian kết thúc việc ngừng, giảm cung cấp điện.
c) Thống kê các thanh cái trong lưới điện truyền tải có điện áp không đạt tiêu chuẩn quy định tại Điều 6 Thông tư này, bao gồm:
- Thống kê tình trạng quá áp, thấp áp so với quy định tại Điều 6Thông tư này;
- Thời gian bắt đầu và thời gian kết thúc của mỗi lần vi phạm tiêu chuẩn điện áp;
- Điện áp cao nhất và thấp nhất khi có vi phạm tiêu chuẩn điện áp;
- Các sự kiện bất thường khi có vi phạm tiêu chuẩn điện áp.
d) Các nội dung về độ tin cậy của lưới điện truyền tải được quy định tại Điều 14Thông tư này;
đ) Tổn thất điện năng hàng tháng trên lưới điện truyền tải theo từng cấp điện áp;
e) Danh sách các sự cố dẫn tới việc vi phạm các tiêu chuẩn vận hành lưới điện truyền tải được quy định tại Chương II Thông tư này. Báo cáo giải trình nguyên nhân vi phạm và những đề xuất thay đổi để đạt được các tiêu chuẩn kỹ thuật vận hành.
2. Định kỳ hàng năm, Đơn vị truyền tải điện có trách nhiệm báo cáo Bộ Công Thương và công bố trên Trang thông tin điện tử của đơn vị các chỉ số thực hiện sau:
a) Tỷ lệ đầu tư xây dựng theo từng cấp điện áp so với kế hoạch phát triển lưới điện truyền tải hàng năm đã được duyệt;
b) Tổng số các thiết bị trên lưới điện truyền tải bị quá tải trong năm;
c) Tổng số lần ngừng, giảm cung cấp điện có kế hoạch và không có kế hoạch ở các đường dây truyền tải và máy biến áp;
d) Tổng số lần và tổng thời gian vi phạm tiêu chuẩn điện áp quy định tại Điều 6Thông tư này;
đ) Các nội dung về độ tin cậy của lưới điện truyền tải được quy định tại Điều 14Thông tư này;
e) Tổn thất điện năng trên lưới điện truyền tải và theo từng cấp điện áp;
g) Tổng số các sự cố bất thường dẫn tới việc vi phạm các tiêu chuẩn vận hành lưới điện truyền tải.
CHƯƠNG XI
TRÁCH NHIỆM CỦA CÁC ĐƠN VỊ
Điều 156. Trách nhiệm của Đơn vị điều độ hệ thống điện quốc gia
- Thực hiện Thỏa thuận rơ le bảo vệ và tự động với Khách hàng sử dụng lưới điện về yêu cầu kỹ thuật của hệ thống rơ le bảo vệ và tự động, các yêu cầu kỹ thuật của hệ thống giám sát ghi sự cố (FRs), đo góc pha (PMU), giám sát chất lượng điện năng (PQ) cho các trang thiết bị điện của khách hàng đấu nối vào lưới điện để đáp ứng các yêu cầu quy định tại Thông tư này và các quy định khác liên quan nhằm đảm bảo vận hành an toàn, ổn định, tin cậy hệ thống điện. Trình tự thực hiện theo Phụ lục ban hành kèm theo thông tư này.
- Thực hiện thỏa thuận, kết nối SCADA, hệ thống thông tin với các đơn vị theo quy định đảm bảo cung cấp dữ liệu, thông tin đầy đủ, tin cậy và liên tục phục vụ vận hành hệ thống điện và thị trường điện tại Đơn vị điều độ hệ thống điện quốc gia.
- Thiết lập và đảm bảo duy trì hoạt động ổn định, tin cậy và liên tục hệ thống thông tin, hệ thống thông tin liên lạc, truyền dữ liệu, hệ thống SCADA/EMS và điều khiển từ xa phục vụ vận hành, điều độ hệ thống điện.
- Kiểm tra, giám sát việc cài đặt, chỉnh định các thông số hệ thống bảo vệ, tự động hoá, điều khiển, hệ thống điều tốc, hệ thống kích từ, kết nối hệ thống AGC, kết nối hệ thống ghi sự cố và đo góc pha, kết nối hệ thống giám sát chất lượng điện năng của Đơn vị truyền tải điện, Đơn vị phân phối điện và Khách hàng sử dụng lưới điện đáp ứng các yêu cầu quy định tại Thông tư này và yêu cầu của Cấp điều độ có quyền điều khiển để đảm bảo vận hành ổn định, tin cậy hệ thống điện.
- Yêu cầu thực hiện kiểm tra và thử nghiệm bổ sung các thiết bị trong phạm vi quản lý của Đơn vị truyền tải điện, Đơn vị phân phối điện hoặc Khách hàng sử dụng lưới điện.
- Tính toán đề xuất thiết lập các mạch liên động, cắt tải sự cố, sa thải đặc biệt để đảm bảo vận hành an toàn, ổn định hệ thống điện và trình Bộ Công Thương phê duyệt.
- Phối hợp với Đơn vị truyền tải điện, Đơn vị phân phối điện trong quá trình thiết lập các sơ đồ bảo vệ lưới điện và duy trì đúng đặc tính vận hành của các thiết bị bảo vệ phù hợp với sơ đồ bảo vệ.
- Chia sẻ và cung cấp các thông tin cần thiết cho Đơn vị truyền tải điện, Đơn vị phân phối điện và Khách hàng sử dụng lưới điện phục vụ công tác phối hợp vận hành hệ thống điện.
- Phối hợp với Đơn vị quản lý số liệu đo đếm để quản lý, sử dụng bộ cơ sở dữ liệu đo đếm phục vụ vận hành hệ thống điện và thị trường điện.
- Phối hợp với Công ty Mua bán điện, Đơn vị truyền tải điện và Đơn vị phân phối điện trong việc thỏa thuận, thống nhất về thiết kế kỹ thuật Hệ thống đo đếm và Hệ thống thu thập số liệu đo đếm phục vụ giao nhận và thanh toán điện năng trong thị trường điện.
- Quản lý, sử dụng và công bố các số liệu đo đếm trên trang thông tin điện tử chính thức của thị trường điện phục vụ thanh toán và điều hành thị trường điện.
- Thực hiện các trách nhiệm khác theo quy định của pháp luật.
Điều 157. Trách nhiệm của Đơn vị truyền tải điện
- Quản lý, vận hành lưới điện truyền tải thuộc phạm vi quản lý đảm bảo đáp ứng các yêu cầu vận hành và yêu cầu kỹ thuật theo quy định tại Thông tư này, tuân thủ quy định tại Quy định điều độ, vận hành, thao tác, xử lý sự cố, khởi động đen và khôi phục hệ thống điện quốc gia trong hệ thống điện quốc gia do Bộ trưởng Bộ Công Thương ban hành và các quy định khác có liên quan.
- Cung cấp cho Cấp điều độ có quyền điều khiển các thông số kỹ thuật của thiết bị theo mẫu và thời gian do Cấp điều độ có quyền điều khiển quy định. Trừ trường hợp bảo dưỡng, sửa chữa có kế hoạch hoặc sự cố, Đơn vị truyền tải điện phải đảm bảo toàn bộ thiết bị của mình ở trạng thái sẵn sàng vận hành theo lệnh điều độ của Cấp điều độ có quyền điều khiển. Đơn vị truyền tải điện phải cung cấp cho Cấp điều độ có quyền điều khiển mọi thông tin thay đổi về mức độ sẵn sàng của thiết bị và lý do thay đổi.
- Thiết lập các hệ thống bảo vệ, tự động hoá và điều khiển đáp ứng các yêu cầu theo quy chuẩn ngành được áp dụng, yêu cầu quy định tại Thông tư này và yêu cầu của Cấp điều độ có quyền điều khiển để đảm bảo vận hành ổn định, tin cậy hệ thống truyền tải điện.
- Thiết lập các sơ đồ bảo vệ lưới điện truyền tải và duy trì đúng đặc tính vận hành của các thiết bị bảo vệ phù hợp với sơ đồ bảo vệ.
- Thực hiện trang bị, lắp đặt các mạch liên động, cắt tải sự cố, sa thải đặc biệt theo yêu cầu của Đơn vị điều độ hệ thống điện quốc gia để đảm bảo vận hành an toàn, ổn định hệ thống truyền tải điện.
- Duy trì vận hành lưới điện truyền tải trong tình trạng an toàn và tin cậy, khôi phục lại lưới điện truyền tải sau sự cố.
- Tuân thủ các tiêu chuẩn, quy chuẩn kỹ thuật về vận hành lưới điện truyền tải; tuân thủ các quy định về an toàn điện, bảo vệ hành lang an toàn lưới điện, công trình điện theo quy định của pháp luật.
- Đầu tư, lắp đặt, bảo trì, quản lý và vận hành đảm bảo hệ thống DCS, thiết bị đầu cuối RTU/Gateway, hệ thống thông tin trong phạm vi quản lý và đường truyền thông tin, dữ liệu để đảm bảo kết nối, truyền thông tin, dữ liệu tin cậy và liên tục về hệ thống SCADA, hệ thống thông tin, hệ thống điều khiển của Cấp điều độ có quyền điều khiển. Không tự ý tách thiết bị liên quan ra khỏi vận hành dẫn tới gây gián đoạn tín hiệu SCADA, tín hiệu thông tin và điều khiển khi chưa được sự đồng ý của Đơn vị điều độ hệ thống điện quốc gia, Cấp điều độ có quyền điều khiển.
- Phối hợp với Cấp điều độ có quyền điều khiển trong quá trình lập phương thức vận hành, bảo dưỡng, sửa chữa lưới điện truyền tải, thiết lập sơ đồ bảo vệ, hệ thống thông tin liên lạc, hệ thống thông tin, truyền dữ liệu SCADA và tín hiệu điều khiển phục vụ vận hành hệ thống điện quốc gia.
- Cung cấp các thông tin cần thiết cho Cấp điều độ có quyền điều khiển và Khách hàng sử dụng lưới điện truyền tải phục vụ công tác phối hợp vận hành hệ thống truyền tải điện.
- Phối hợp với Công ty Mua bán điện và các Đơn vị giao nhận điện liên quan trong việc thỏa thuận, thống nhất về thiết kế kỹ thuật Hệ thống đo đếm và Hệ thống thu thập số liệu đo đếm phục vụ giao nhận điện giữa nhà máy điện với lưới điện truyền tải hoặc giữa lưới điện truyền tải với lưới điện phân phối hoặc giữa Khách hàng sử dụng điện đấu nối vào lưới điện truyền tải với lưới điện truyền tải hoặc mua bán điện với nước ngoài.
- Đầu tư, lắp đặt Hệ thống đo đếm và Hệ thống thu thập số liệu đo đếm phục vụ giao nhận điện giữa lưới điện truyền tải với Đơn vị phân phối điện hoặc giữa lưới điện truyền tải với Đơn vị bán lẻ điện hoặc giữa lưới điện truyền tải với Khách hàng sử dụng điện nhận điện trực tiếp từ lưới điện truyền tải, trừ trường hợp các bên có thoả thuận khác bảo đảm quyền lợi giữa các bên nhưng không trái với quy định của pháp luật. Đảm bảo Hệ thống đo đếm và Hệ thống thu thập số liệu đo đếm đáp ứng các yêu cầu quy định tại Thông tư này, phù hợp với thiết kế đã được thỏa thuận và quy định của pháp luật về đo lường.
- Quản lý, vận hành Hệ thống đo đếm và Hệ thống thu thập số liệu đo đếm trong phạm vi quản lý đảm bảo số liệu đo đếm truyền về Đơn vị quản lý số liệu đo đếm chính xác, an toàn và tin cậy phục vụ giao nhận điện năng.
- Chủ trì tổ chức nghiệm thu, kiểm định, xử lý sự cố, thay thế, nâng cấp cải tạo, hủy bỏ Hệ thống đo đếm, Hệ thống thu thập số liệu đo đếm trong phạm vi quản lý theo quy định tại Thông tư này và quy định của pháp luật về đo lường.
- Cung cấp dịch vụ quản lý vận hành, bảo mật, xác nhận số liệu đo đếm và bảo dưỡng thiết bị thuộc Hệ thống đo đếm, Hệ thống thu thập số liệu đo đếm của Khách hàng sử dụng lưới điện truyền tải trong trường hợp vị trí đo đếm trong trạm điện thuộc phạm vi quản lý.
- Thực hiện các trách nhiệm khác theo quy định của pháp luật.
Điều 158. Trách nhiệm của Đơn vị phát điện
-
Quản lý, vận hành nhà máy điện và lưới điện thuộc phạm vi quản lý đảm bảo đáp ứng các yêu cầu vận hành và yêu cầu kỹ thuật theo quy định tại Thông tư này và các quy định khác có liên quan.
-
Duy trì hoạt động tin cậy và ổn định của hệ thống thông tin liên lạc, SCADA/EMS, đo đếm điện năng, hệ thống điều tốc, hệ thống kích từ, kết nối hệ thống AGC và các yêu cầu kỹ thuật khác liên quan đến thiết bị tại điểm đấu nối theo quy định tại Thông tư này để đảm bảo cung cấp đầy đủ công suất theo yêu cầu của Cấp điều độ có quyền điều khiển phù hợp với hợp đồng mua bán điện và Thỏa thuận đấu nối đã ký. Không tự ý thay đổi các thông số chỉnh định của các hệ thống điều tốc, hệ thống kích từ, kết nối hệ thống AGC và các yêu cầu kỹ thuật khác liên quan khi chưa được sự đồng ý của Cấp điều độ có quyền điều khiển. Tiến hành các thử nghiệm và hiệu chỉnh cần thiết khi có yêu cầu từ Cấp điều độ có quyền điều khiển phục vụ công tác tính toán ổn định, vận hành hệ thống điện.
-
Thực hiện các thử nghiệm để đánh giá trong quá trình vận hành của hệ thống thiết bị theo quy định tại Điều 49 Thông tư này.
-
Thiết lập các hệ thống bảo vệ, tự động hoá và điều khiển đáp ứng các yêu cầu theo quy chuẩn ngành được áp dụng, yêu cầu quy định tại Thông tư này và yêu cầu của Cấp điều độ có quyền điều khiển để đảm bảo vận hành ổn định hệ thống điện quốc gia.
-
Thực hiện trang bị, lắp đặt các mạch liên động, cắt tải sự cố, sa thải đặc biệt theo yêu cầu của Cấp điều độ có quyền điều khiển để đảm bảo vận hành an toàn, ổn định hệ thống truyền tải điện.
-
Đầu tư, lắp đặt, bảo trì, quản lý và vận hành đảm bảo hệ thống DCS, thiết bị đầu cuối RTU/Gateway, hệ thống thông tin trong phạm vi quản lý và đường truyền thông tin, dữ liệu để đảm bảo kết nối, truyền thông tin, dữ liệu tin cậy và liên tục về hệ thống SCADA, hệ thống thông tin, hệ thống điều khiển của Cấp điều độ có quyền điều khiển. Không tự ý tách thiết bị liên quan ra khỏi vận hành dẫn tới gây gián đoạn tín hiệu SCADA, tín hiệu thông tin và điều khiển khi chưa được sự đồng ý của Cấp điều độ có quyền điều khiển.
-
Lập Hồ sơ đề nghị và thực hiện thỏa thuận thiết kế kỹ thuật Hệ thống đo đếm và Hệ thống thu thập số liệu đo đếm phục vụ giao nhận điện năng giữa nhà máy điện với lưới điện.
-
Đầu tư, lắp đặt Hệ thống đo đếm và Hệ thống thu thập số liệu đo đếm trong phạm vi quản lý đảm bảo đáp ứng các quy định tại Thông tư này, phù hợp với thiết kế đã được thỏa thuận thống nhất và quy định của pháp luật về đo lường.
-
Quản lý, vận hành Hệ thống đo đếm, Hệ thống thu thập số liệu đo đếm và đường truyền thông tin đảm bảo số liệu đo đếm truyền về Đơn vị quản lý số liệu đo đếm chính xác, an toàn và tin cậy phục vụ giao nhận điện năng giữa nhà máy điện với lưới điện.
-
Chủ trì tổ chức nghiệm thu, kiểm định, xử lý sự cố, thay thế, nâng cấp cải tạo, hủy bỏ Hệ thống đo đếm, Hệ thống thu thập số liệu đo đếm trong phạm vi quản lý theo quy định tại Thông tư này và quy định của pháp luật về đo lường.
-
Phối hợp với các Đơn vị giao nhận điện liên quan thu thập số liệu công tơ đo đếm, lập biên bản xác nhận điện năng giao nhận của nhà máy điện phục vụ thanh toán theo quy định tại Thông tư này.
-
Phối hợp với Đơn vị quản lý số liệu đo đếm, Công ty Mua bán điện và Đơn vị quản lý lưới điện trong việc quản lý, bảo mật, cung cấp và xác nhận số liệu đo đếm của nhà máy điện.
-
Phối hợp với các đơn vị liên quan tính toán sản lượng điện năng truy thu, thoái hoàn tại các điểm giao nhận điện trong các trường hợp sự cố hoặc bất thường của Hệ thống đo đếm.
Điều 159. Trách nhiệm của Đơn vị phân phối điện, Đơn vị bán lẻ điện
- Quản lý, vận hành lưới điện phân phối thuộc phạm vi quản lý đảm bảo đáp ứng các yêu cầu vận hành và yêu cầu kỹ thuật theo quy định tại Thông tư này và các quy định khác có liên quan.
- Thực hiện thỏa thuận, kết nối SCADA, hệ thống thông tin với các đơn vị theo quy định đảm bảo cung cấp dữ liệu, thông tin đầy đủ, tin cậy và liên tục phục vụ vận hành hệ thống điện tại Cấp điều độ có quyền điều khiển.
- Thiết lập và đảm bảo duy trì hoạt động ổn định, tin cậy và liên tục hệ thống thông tin, hệ thống thông tin liên lạc, truyền dữ liệu, hệ thống SCADA/DMS và điều khiển từ xa phục vụ vận hành, điều độ hệ thống điện.
- Thiết lập các hệ thống bảo vệ, tự động hoá và điều khiển đáp ứng các yêu cầu theo quy chuẩn ngành được áp dụng, yêu cầu quy định tại Thông tư này và yêu cầu của Cấp điều độ có quyền điều khiển để đảm bảo vận hành ổn định, tin cậy hệ thống điện.
- Thực hiện trang bị, lắp đặt các mạch liên động, cắt tải sự cố, sa thải đặc biệt theo yêu cầu của Cấp điều độ có quyền điều khiển để đảm bảo vận hành an toàn, ổn định hệ thống điện.
- Vận hành các thiết bị bù trong lưới điện để đáp ứng nhu cầu công suất phản kháng mà đơn vị có nghĩa vụ cung cấp cho hệ thống điện.
- Duy trì hoạt động của hệ thống bảo vệ, khả năng sẵn sàng làm việc của hệ thống tự động cắt tải sự cố theo yêu cầu của Cấp điều độ có quyền điều khiển.
- Đầu tư, lắp đặt, bảo trì, quản lý và vận hành đảm bảo hệ thống DCS, thiết bị đầu cuối RTU/Gateway, hệ thống thông tin trong phạm vi quản lý và đường truyền thông tin, dữ liệu để đảm bảo kết nối, truyền thông tin, dữ liệu tin cậy và liên tục về hệ thống SCADA, hệ thống thông tin, hệ thống điều khiển của Cấp điều độ có quyền điều khiển. Không tự ý tách thiết bị liên quan ra khỏi vận hành dẫn tới gây gián đoạn tín hiệu SCADA, tín hiệu thông tin và điều khiển khi chưa được sự đồng ý của Cấp điều độ có quyền điều khiển.
- Phối hợp với Công ty Mua bán điện, Đơn vị truyền tải điện hoặc Đơn vị phát điện trong việc thỏa thuận, thống nhất về thiết kế kỹ thuật Hệ thống đo đếm và Hệ thống thu thập số liệu đo đếm phục vụ giao nhận điện năng giữa lưới điện truyền tải với lưới điện phân phối hoặc giữa nhà máy điện lớn đấu nối vào lưới điện phân phối với lưới điện phân phối hoặc mua bán điện với nước ngoài.
- Chủ trì thỏa thuận, thống nhất về thiết kế kỹ thuật Hệ thống đo đếm và Hệ thống thu thập số liệu đo đếm phục vụ giao nhận điện năng giữa Khách hàng sử dụng lưới điện phân phối với lưới điện phân phối, trừ trường hợp quy định tại khoản 1 Điều 160 Thông tư này. Đối với giao nhận điện năng giữa hai Đơn vị phân phối điện, trách nhiệm đầu tư Hệ thống đo đếm tại điểm đấu nối được thực hiện theo thỏa thuận giữa các Đơn vị phân phối điện.
- Đầu tư, lắp đặt Hệ thống đo đếm và Hệ thống thu thập số liệu đo đếm phục vụ giao nhận điện năng giữa lưới điện phân phối với Khách hàng sử dụng điện hoặc giữa lưới điện phân phối với Đơn vị bán lẻ điện, trừ trường hợp các bên có thoả thuận khác bảo đảm quyền lợi giữa các bên nhưng không trái với quy định của pháp luật. Đảm bảo Hệ thống đo đếm và Hệ thống thu thập số liệu đo đếm đáp ứng quy định tại Thông tư này, phù hợp với thiết kế đã được thỏa thuận và quy định của pháp luật về đo lường.
- Quản lý, vận hành Hệ thống đo đếm và Hệ thống thu thập số liệu đo đếm trong phạm vi quản lý đảm bảo số liệu đo đếm truyền về Đơn vị quản lý số liệu đo đếm chính xác, an toàn và tin cậy phục vụ giao nhận điện năng.
- Chủ trì tổ chức nghiệm thu, kiểm định, xử lý sự cố, thay thế, nâng cấp, cải tạo, hủy bỏ Hệ thống đo đếm, Hệ thống thu thập số liệu đo đếm trong phạm vi quản lý theo quy định tại Thông tư này và quy định của pháp luật về đo lường.
- Cung cấp dịch vụ quản lý vận hành, bảo mật, cung cấp, xác nhận số liệu đo đếm và bảo dưỡng thiết bị thuộc Hệ thống đo đếm, Hệ thống thu thập số liệu đo đếm của Khách hàng sử dụng lưới điện trong trường hợp vị trí đo đếm trong trạm điện thuộc phạm vi quản lý.
- Chủ trì, phối hợp với các Đơn vị giao nhận điện liên quan thỏa thuận phương thức giao nhận điện năng, thu thập số liệu đo đếm, lập biên bản xác nhận điện năng giao nhận phục vụ thanh toán điện năng trong phạm vi quản lý.
- Chủ trì thống nhất phương án và kết quả tính toán sản lượng điện năng truy thu, thoái hoàn trong trường hợp sự cố hoặc bất thường của Hệ thống đo đếm trong phạm vi quản lý.
- Đầu tư, lắp đặt, bảo trì, quản lý và vận hành hệ thống rơ le bảo vệ trong phạm vi quản lý đảm bảo làm việc ổn định, tin cậy và chọn lọc.
Điều 160. Trách nhiệm của Công ty Mua bán điện
- Chủ trì thoả thuận thiết kế kỹ thuật Hệ thống đo đếm và Hệ thống thu thập số liệu đo đếm phục vụ giao nhận điện năng giữa Đơn vị phát điện sở hữu nhà máy điện lớn, nhà máy điện sử dụng nguồn năng lượng tái tạo với lưới điện hoặc giữa lưới điện truyền tải với lưới điện phân phối hoặc giữa Khách hàng sử dụng điện đấu nối vào lưới điện truyền tải với lưới điện truyền tải hoặc mua bán điện với nước ngoài qua cấp điện áp từ 110 kV trở lên.
- Chủ trì, phối hợp với các bên liên quan thỏa thuận thống nhất phương thức giao nhận, xác nhận chỉ số công tơ đo đếm, các số liệu đo đếm điện năng trong phạm vi quản lý phục vụ giao nhận và thanh toán điện năng.
- Phối hợp với các đơn vị liên quan trong việc thử nghiệm, nghiệm thu, kiểm định, quản lý vận hành, bảo mật, xử lý sự cố, thay thế, hủy bỏ Hệ thống đo đếm và Hệ thống thu thập số liệu đo đếm.
- Phối hợp cung cấp các thông tin về số liệu đo đếm điện năng, quản lý Hệ thống đo đếm và các thông tin liên quan cho Đơn vị quản lý số liệu đo đếm để cập nhật vào cơ sở dữ liệu đo đếm.
- Kiểm tra, giám sát quá trình thực hiện xác nhận chỉ số công tơ đo đếm và các số liệu phục vụ thanh toán trong phạm vi quản lý; được phép khai thác số liệu đo đếm của Đơn vị giao nhận điện liên quan phục vụ quá trình kiểm tra, giám sát.
- Chủ trì, phối hợp với các đơn vị liên quan quyết toán sản lượng điện năng giao nhận trong phạm vi quản lý.
- Chủ trì thống nhất phương án và kết quả tính toán sản lượng điện năng truy thu, thoái hoàn trong trường hợp sự cố hoặc bất thường của Hệ thống đo đếm trong phạm vi quản lý.
Điều 161. Trách nhiệm của Khách hàng sử dụng điện, lưới điện
-
Trường hợp đấu nối vào cấp điện áp từ 110 kV trở lên, Khách hàng sử dụng điện có trách nhiệm phối hợp với bên bán điện trong việc thống nhất về thiết kế kỹ thuật Hệ thống đo đếm và Hệ thống thu thập số liệu đo đếm phục vụ giao nhận điện năng giữa Khách hàng sử dụng điện với lưới điện truyền tải hoặc lưới điện phân phối.
-
Trường hợp Khách hàng sử dụng điện đầu tư Hệ thống đo đếm và Hệ thống thu thập số liệu đo đếm theo thỏa thuận với bên bán điện, Khách hàng sử dụng điện có trách nhiệm lập hồ sơ thỏa thuận thiết kế kỹ thuật, chủ trì tổ chức nghiệm thu, kiểm định, quản lý vận hành, xử lý sự cố, thay thế, nâng cấp, cải tạo Hệ thống đo đếm, Hệ thống thu thập số liệu đo đếm (nếu có) trong phạm vi quản lý theo quy định tại Thông tư này và quy định của pháp luật về đo lường.
-
Quản lý, vận hành thiết bị điện, lưới điện thuộc phạm vi quản lý đảm bảo đáp ứng các yêu cầu vận hành và yêu cầu kỹ thuật theo quy định tại Thông tư này và các quy định khác có liên quan.
-
Thực hiện đúng biểu đồ phụ tải và đảm bảo hệ số công suất quy định trong hợp đồng mua bán điện đã ký.
-
Đầu tư, lắp đặt, bảo trì, quản lý và vận hành hệ thống rơ le bảo vệ, tự động hoá và điều khiển trong phạm vi quản lý của mình để đảm bảo làm việc ổn định, tin cậy chống sự cố lan truyền vào hệ thống điện quốc gia. Không tự ý thay đổi các thông số chỉnh định của các hệ thống rơ le bảo vệ, tự động hoá, điều khiển và các yêu cầu kỹ thuật khác liên quan trong phạm vi quản lý khi chưa được sự đồng ý của Cấp điều độ có quyền điều khiển. Tiến hành các thử nghiệm hiệu chỉnh cần thiết khi có yêu cầu từ Cấp điều độ có quyền điều khiển.
-
Thực hiện trang bị, lắp đặt các mạch liên động, cắt tải sự cố, sa thải đặc biệt theo yêu cầu của Cấp điều độ có quyền điều khiển để đảm bảo vận hành an toàn, ổn định hệ thống điện.
-
Lập và cung cấp số liệu dự báo nhu cầu phụ tải điện cho Cấp điều độ có quyền điều khiển theo quy định tại Chương IIIThông tư này.
-
Đầu tư, lắp đặt, bảo trì, quản lý và vận hành đảm bảo hệ thống DCS, thiết bị đầu cuối RTU/Gateway, hệ thống thông tin trong phạm vi quản lý và đường truyền thông tin, dữ liệu để đảm bảo kết nối, truyền thông tin, dữ liệu tin cậy và liên tục về hệ thống SCADA, hệ thống thông tin, hệ thống điều khiển của Cấp điều độ có quyền điều khiển. Không tự ý tách thiết bị liên quan ra khỏi vận hành dẫn tới gây gián đoạn tín hiệu SCADA, tín hiệu thông tin và điều khiển khi chưa được sự đồng ý của Cấp điều độ có quyền điều khiển.
-
Cung cấp các thông tin cần thiết cho Cấp điều độ có quyền điều khiển và Đơn vị truyền tải điện, Đơn vị phân phối điện khi có yêu cầu phục vụ vận hành an toàn, tin cậy hệ thống điện quốc gia.
Điều 162. Trách nhiệm của Đơn vị quản lý số liệu đo đếm
- Đầu tư, quản lý vận hành các thiết bị, chương trình, phần mềm thuộc Hệ thống thu thập số liệu đo đếm và Hệ thống quản lý số liệu đo đếm trong phạm vi quản lý.
- Phối hợp với Đơn vị đầu tư hệ thống đo đếm, Đơn vị giao nhận điện liên quan thỏa thuận thiết kế kỹ thuật và nghiệm thu Hệ thống đo đếm và Hệ thống thu thập số liệu đo đếm. Thực hiện cấp phát mã điểm đo cho các điểm đo thuộc trách nhiệm phải thu thập của Đơn vị quản lý số liệu đo đếm.
- Thu thập số liệu đo đếm trong phạm vi quản lý và cung cấp số liệu đo đếm thu thập được cho các Đơn vị giao nhận điện liên quan theo nguyên tắc đảm bảo quyền sử dụng số liệu, an toàn, bảo mật và thuận lợi trong việc khai thác, sử dụng số liệu đo đếm. Chịu trách nhiệm về tính đầy đủ và chính xác của số liệu đo đếm đã thu thập so với số liệu ghi nhận tại công tơ đo đếm.
- Thực hiện các quy định của pháp luật về kiểm toán, kiểm tra đối với các quy trình, phần mềm, chương trình thu thập, xử lý và lưu trữ số liệu đo đếm trong phạm vi quản lý đảm bảo sự chính xác của số liệu đo đếm và đáp ứng các quy định tại Thông tư này.
- Thực hiện các biện pháp quản lý, bảo mật mật khẩu công tơ đo đếm và chịu trách nhiệm trước pháp luật trong việc quản lý, bảo mật các mật khẩu công tơ đo đếm tiếp nhận từ Đơn vị quản lý vận hành hệ thống đo đếm.
- Tham gia truy xuất số liệu phục vụ công tác tính toán sản lượng điện năng truy thu, thoái hoàn tại các điểm giao nhận điện trong trường hợp sự cố hoặc bất thường của Hệ thống đo đếm.
- Lưu trữ các số liệu đo đếm trong thời gian ít nhất 05 năm.
Chương XII
TỔ CHỨC THỰC HIỆN
Điều 163. Tổ chức thực hiện
-
Bộ Công Thương có trách nhiệm phổ biến, hướng dẫn và kiểm tra việc thực hiện Thông tư này.
-
Đơn vị truyền tải điện và Khách hàng sử dụng lưới điện truyền tải có trách nhiệm xây dựng kế hoạch để đầu tư, nâng cấp và cải tạo lưới điện, thiết bị điện trong phạm vi quản lý đảm bảo đáp ứng các yêu cầu kỹ thuật và yêu cầu trong vận hành quy định tại Thông tư này.
-
Đơn vị điều độ hệ thống điện quốc gia có trách nhiệm xây dựng và công bố biểu mẫu cung cấp thông tin dự báo, phương pháp đánh giá kết quả dự báo công suất và điện năng phát của các nguồn năng lượng tái tạo, mẫu báo cáo đánh giá sai số dự báo, độ chính xác với từng khoảng thời gian dự báo công suất và điện năng phát của các nhà máy điện năng lượng tái tạo được quy định.
Điều 164. Hiệu lực thi hành
- Thông tư này có hiệu lực kể từ ngày 01 tháng 02 năm 2025. Thông tư số 25/2016/TT-BCT ngày 30 tháng 11 năm 2016 của Bộ trưởng Bộ Công Thương quy định hệ thống truyền tải điện, Thông tư số 30/2019/TT-BCT ngày 18 tháng 11 năm 2019 của Bộ trưởng Bộ Công Thương sửa đổi, bổ sung một số điều của Thông tư số 25/2016/TT-BCT ngày 30 tháng 11 năm 2016 của Bộ trưởng Bộ Công Thương quy định hệ thống truyền tải điện, Thông tư số 39/2015/TT-BCT ngày 18 tháng 11 năm 2015 của Bộ trưởng Bộ Công Thương quy định hệ thống phân phối điện, Thông tư số 39/2022/TT-BCT ngày 30 tháng 12 năm 2022 của Bộ trưởng Bộ Công Thương sửa đổi, bổ sung một số điều của Thông tư số 25/2016/TT-BCT ngày 30 tháng 11 năm 2016 của Bộ trưởng Bộ Công Thương quy định hệ thống truyền tải điện, Thông tư số 39/2015/TT-BCT ngày 18 tháng 11 năm 2015 của Bộ trưởng Bộ Công Thương quy định hệ thống phân phối điện, Thông tư 42/2015/TT-BCT ngày 01/12/2015 Quy định đo đếm điện năng trong hệ thống điện hết hiệu lực từ ngày Thông tư này có hiệu lực.
- Trường hợp trang thiết bị điện đã được đưa vào vận hành hoặc có hợp đồng mua sắm, lắp đặt thiết bị được ký trước ngày Thông tư này có hiệu lực mà có yêu cầu, thông số kỹ thuật khác so với quy định tại Thông tư này, các đơn vị thực hiện theo quy định có liên quan trước thời điểm Thông tư này có hiệu lực.
- Trong quá trình thực hiện Thông tư này, nếu có vấn đề vướng mắc, yêu cầu các đơn vị có liên quan phản ánh trực tiếp về Bộ Công Thương để xem xét, giải quyết theo thẩm quyền hoặc báo cáo Bộ Công Thương để giải quyết./.
| KT. BỘ TRƯỞNG Thứ trưởng | |
|---|---|
| (Đã ký) | |
| Trương Thanh Hoài |
flowchart LR
A[Văn bản hiện tại
Thông tư 05/2025/TT-BCT Quy định hệ thống truyền tải điện, phân phối điện và đo đếm điện năng]-->VBHD[Văn bản hướng dẫn ]
A-->VBSDBS[VB sửa đổi bổ sung ]
A-->VBDC[Văn bản đính chính ]
A-->VBTT[Văn bản thay thế ]
A-->VBHN[Văn bản hợp nhất ]
A-->VBLQ[Văn bản liên quan ]
VBDHD[Văn bản được hướng dẫn ]-->A
VBDSDBS[VB được sửa đổi bổ sung ]-->A
VBDDC[Văn bản được đính chính ]-->A
VBDTT[Văn bản được thay thế ]-->A
VBDCC[Văn bản được căn cứ
Nghị định 96/2022/NĐ-CP cơ cấu tổ chức của Bộ Công Thương
Nghị định 105/2024/NĐ-CPNghị định sửa đổi, bổ sung một số điều của Nghị định số 96/2022/NĐ-CP ngày 29 tháng 11 năm 2022 của Chính phủ quy định chức năng, nhiệm vụ, quyền hạn và cơ cấu tổ chức của Bộ Công Thương và Nghị định số 26/2018/NĐ-CP ngày 28 tháng 02 năm 2018 của Chính phủ về Điều lệ tổ chức và hoạt động của Tập đoàn Điện lực Việt Nam
Luật Luật Điện lực 2024
]-->A
VBDTC[Văn bản được dẫn chiếu ]-->A
VBDHN[Văn bản được hợp nhất ]-->A
click VBDHD callback "đây là những văn bản ban hành trước, có hiệu lực pháp lý cao hơn [Thông tư 05/2025/TT-BCT Quy định hệ thống truyền tải điện, phân phối điện và đo đếm điện năng] & được hướng dẫn bởi [Thông tư 05/2025/TT-BCT Quy định hệ thống truyền tải điện, phân phối điện và đo đếm điện năng]"
click VBDSDBS callback "đây là những văn bản ban hành trước, được sửa đổi bổ sung bởi [Thông tư 05/2025/TT-BCT Quy định hệ thống truyền tải điện, phân phối điện và đo đếm điện năng]"
click VBDDC callback "đây là những văn bản ban hành trước, được đính chính các sai sót (căn cứ ban hành, thể thức, kỹ thuật trình bày...) bởi [Thông tư 05/2025/TT-BCT Quy định hệ thống truyền tải điện, phân phối điện và đo đếm điện năng]"
click VBDTT callback "đây là những văn bản ban hành trước, được thay thế bởi [Thông tư 05/2025/TT-BCT Quy định hệ thống truyền tải điện, phân phối điện và đo đếm điện năng]"
click VBDCC callback "đây là những văn bản ban hành trước, có hiệu lực pháp lý cao hơn, được sử dụng làm căn cứ để ban hành, [Thông tư 05/2025/TT-BCT Quy định hệ thống truyền tải điện, phân phối điện và đo đếm điện năng]"
click VBDTC callback "đây là những văn bản ban hành trước, trong nội dung của [Thông tư 05/2025/TT-BCT Quy định hệ thống truyền tải điện, phân phối điện và đo đếm điện năng] có quy định dẫn chiếu đến điều khoản hoặc nhắc đến những văn bản này"
click VBDHN callback "những văn bản này được hợp nhất bởi [Thông tư 05/2025/TT-BCT Quy định hệ thống truyền tải điện, phân phối điện và đo đếm điện năng]"
click VBHD callback "đây là những văn bản ban hành sau, có hiệu lực pháp lý thấp hơn, để hướng dẫn hoặc quy định chi tiết nội dung của [Thông tư 05/2025/TT-BCT Quy định hệ thống truyền tải điện, phân phối điện và đo đếm điện năng]"
click VBSDBS callback "đây là những văn bản ban hành sau, sửa đổi bổ sung một số nội dung của [Thông tư 05/2025/TT-BCT Quy định hệ thống truyền tải điện, phân phối điện và đo đếm điện năng]"
click VBDC callback "đây là những văn bản ban hành sau, nhằm đính chính các sai sót (căn cứ ban hành, thể thức, kỹ thuật trình bày...) của [Thông tư 05/2025/TT-BCT Quy định hệ thống truyền tải điện, phân phối điện và đo đếm điện năng]"
click VBTT callback "đây là những văn bản ban hành sau, nhằm thay thế, bãi bỏ toàn bộ nội dung của [Thông tư 05/2025/TT-BCT Quy định hệ thống truyền tải điện, phân phối điện và đo đếm điện năng]"
click VBHN callback "đây là những văn bản ban hành sau, hợp nhất nội dung của [Thông tư 05/2025/TT-BCT Quy định hệ thống truyền tải điện, phân phối điện và đo đếm điện năng] và những văn bản sửa đổi bổ sung của [Thông tư 05/2025/TT-BCT Quy định hệ thống truyền tải điện, phân phối điện và đo đếm điện năng]"
click VBLQ callback "đây là những văn bản liên quan đến nội dung của [Thông tư 05/2025/TT-BCT Quy định hệ thống truyền tải điện, phân phối điện và đo đếm điện năng]"
| Ngày | Trạng thái | Văn bản nguồn | Phần hết hiệu lực |
|---|---|---|---|
| 01/02/2025 | Văn bản được ban hành | Thông tư 05/2025/TT-BCT Quy định hệ thống truyền tải điện, phân phối điện và đo đếm điện năng |
Danh sách Tải về
| Định dạng | Tập tin | Link download |
|---|---|---|
|
|
05.2025.TT-BCTThong tu quy dinh he thong truyen tai dien phan phoi dien va do dem dien nang.docx | |
|
|
VanBanGoc_05.2025.TT-BCTThong tu quy dinh he thong truyen tai dien phan ph.pdf |